欧拉公式,复数域的成人礼

2018 年 12 月 21 日 中科院物理所

复数域其实就是二维的数域,提供了更高维度的、更抽象的视角。本文来看看,我们是怎么从实数域扩展到复数域的。


大家可能觉得这个扩展并不复杂,也就是  、  两个任意实数,外加虚数  ,把它们结合在一起,就完成了:



但数域的扩张从来没有这么简单,就好像夫妻生下小孩只是个开始,困难的是之后的抚养、教育:



复数域的扩张充满崎岖。正如欧拉的老师对他的赞扬:


我介绍数学分析的时候,它还是个孩子,而你正在将它带大成人。
----约翰·伯努利


这句话虽然是说微积分(数学分析)的,但用在复数域上也不违和。欧拉的欧拉公式正是“复数域”的成人礼:



1 数域扩张的历史

来看看之前的数域是怎么扩张的吧。每次想到数域的扩张,我都有种大爆炸的画面感,宇宙从一个奇点爆炸中产生:



1.1 自然数到整数

数学刚开始也是一片空白:



0的出现就是数学的奇点:





根据皮亚诺定理[2]“爆炸”出了自然数域[3]



很显然上面的图像是不对称的,哪怕出于美学考虑,人们都有冲动把左边补齐,增加负数,这样就得到了整数域:



添加负数之后,有一个问题就出现了:



我们知道  是对  的缩写,并且容易推出如下计算规则:



我们添加负数之后,希望这个规则依然适用,即:



更一般的有:



并且还惊喜地发掘出负数次方的意义,如果说正数次方是对乘法的缩写,那么负数次方(正数的相反数)是对除法(乘法的逆运算)的缩写:



1.2 整数到实数

很显然整数之间还有很多空隙,我们可以用有理数(rational number,翻译为“可比数”更合理):



来填满这些空隙(示意图):



还有空隙,最终用无理数(irrational number,“不可比数”)来填满这些缝隙,得到实数轴:



自然会有这么一个问题:



 是无理数,上面这个问题需要用极限来回答,这里不再赘述,只是可以看出实数域的扩张也是很艰难的。


2 复数基础

往下面讲之前,稍微复习下复数的一些基础知识。


2.1 复数的运算规则

复数的运算规则并非凭空捏造的。形如:



的三次方程,卡尔丹诺在《大术》这本书中给出了通解:



如果  、  ,可以得到方程:



从图像上看,  与  有三个交点的:



套用通解会得到:



这里就出现复数了。拉斐尔·邦贝利(1526-1572),文艺复兴时期欧洲著名的工程师,给出了一个思维飞跃,指出如果复数遵循如下的计算规则:



那么就可以根据之前的通解得到三个实数解。


2.2 复数加法、减法的几何意义

为了之后的讲解,先引入几个符号,对于一般的向量  有:



复数的几何表示和二维向量有点类似,只是横坐标是实轴(  ),纵坐标是虚轴(  ),下图还把刚才的符号给标了出来:



加法的几何意义和向量也一样:



但向量没有乘法(点积、叉积和实数乘法不一样),这就是复数和向量的区别。复数是对实数的扩展,所以要尽量兼容实数,必须要有加减乘除、乘方开方、对数等运算。


根据刚才的乘法规则,计算可得:



画出来发现,两者是正交的:



还可以从另外一个角度来理解这一点,  在复平面上是这样的:



那么,  乘以虚数  ,就是:



对于一般的向量  ,也符合这个规律:



好了,知道这些差不多了,开始正题。



3 复数域的扩张

好了,轮到复数域了,复数定义为:



那么,来回答数域扩张都会问到的问题吧:



这个问题可以用欧拉公式:



来回答,取  ,可得:



画出来就是复平面上模长为1,幅角也为1的点:



更一般的,欧拉公式说明,  是单位圆上幅角为  的点:



但是,欧拉公式 凭什么 长这个样子!


3.1  的定义

欧拉公式肯定不是凭空捏造的,先来看看实数域中有什么可以帮助我们的。


实数域中的  函数,起码有三种定义方式:

  • 极限的方式:



  • 泰勒公式的方式:



  • 导数的方式:




从这三种定义出发都可以得到欧拉公式。


3.1.1 极限的方式

因为:



我们可以大胆地令 



那么之前的  就等于:



我们来看看这个式子在几何上有什么意义。因为  对应的是单位圆上幅角为1的点,所以先给个参照物,虚线是单位圆,实线对应的幅角为1:



然后取  ,可以得到:



根据复数的乘法规则,可以看出:



  :



  ,已经很接近单位圆上幅角为1的点了:



对于更一般的  也是同样的:



  时,就很接近单位圆上幅角为 的点了:



可以证明当  时,  为单位圆上幅角为  的点,也就是得到了欧拉公式:



可能你还会问,直接替换  为  ,合理吗:



这里是理解欧拉公式的 关键 ,我们要意识到一点,欧拉公式是一种人为的选择,完全可以不这么去定义  。但是,做了别的选择,会面临一个问题:会不会在现有的庞大复杂的数学体系中产生矛盾?


打个比方吧,在实数中“除以  ”是不合理的,假如你想让它变得合理,那么分分钟会导出矛盾:



欧拉公式并不会引发冲突,并且随着学习的深入,你会发现数学家已经证明了它是一种足够好的选择,这里就不赘述了。


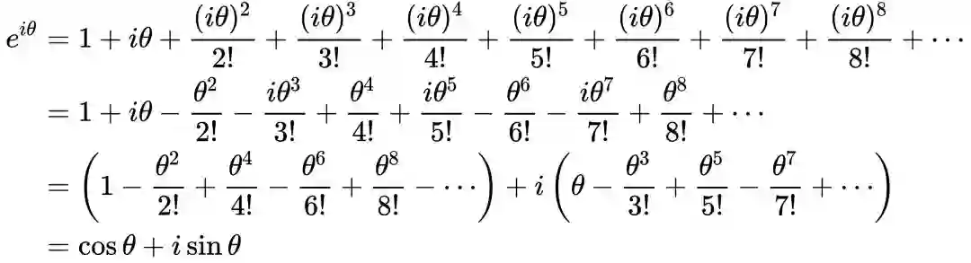
3.1.2 泰勒公式的方式

实数域下,有这些泰勒公式:



也是直接替换  ,令  有:



这也有漂亮的几何意义,看看  的前三项:



这是三个复数相加,加出来就是:



再增加第四项 



随着  ,仿佛一个螺旋不断地接近单位圆上幅角为1 的点。对于更一般的  也是类似的螺旋:



3.1.3 导数的方式

实数域有:



直接套用:



假设  是时间,那么  是运动在复平面上的点的位移函数,  时位置为  


  的运动速度,也就是导数  。这个速度很显然是一个向量,有方向,也有速度。它的方向垂直于  (根据乘法规则,乘以  表示旋转  ):



并且不论  等于多少,运动方向都垂直于位移,所以只能在单位圆上运动(圆的切线始终垂直于半径):



而速度的大小就是速度的模长  。之前说了,对于两个复数  ,它们的模长为  ,那么:



 肯定等于1了, 在单位圆上运动,所以其模长也为1,所以速度的大小为:



速度大小为1意味着  时刻走了  长度的路程。而  在单位圆上运动,那么  时刻运动了  弧长,因为是单位圆,所以对应的幅角为  



4 总结


有了欧拉公式之后,任何复数都可以表示为:



其中:



个人觉得  只是复数的初始形态,而  才是复数的完成形态,因为它更具有启发性。比如计算乘法的时候:



那么有:



几何意义更加明显。并且扩展了乘方和对数运算:



到此为止,基本上所有的初等运算都全了。更多高等的运算比如三角函数、积分、导数,也需要借助欧拉公式在复数上进行推广。


欧拉公式中,如果取  ,就得到了欧拉恒等式:



这个公式也被誉为了上帝公式,包含了数学中最基本的  、  、  、   、  ,仿佛一句诗,道尽了数学的美好。


来源:马同学高等数学
编辑:井上菌

近期热门文章Top10

↓ 点击标题即可查看 ↓

1. 日本数学鬼才的幻象魔术,千万人已看瞎

2. 这场意外里,安卓手机毫发无伤,苹果设备居然近乎全灭

3. 学物理的,随时随地都能把天聊死

4. 微博一个假测试,让全网网民都压力过大了?

5. 你现在还不知道的地铁上广告的原理,居然和两百年前的发明有关系

6. “我对普通的人类没有兴趣,你们只要能求出超排列的准确公式,就尽管来找我吧!以上”

7. 到底几点睡觉才算是熬夜?

8. 一幅图读懂量子力学(下)

9. 数学和物理太难?这些动图让你秒懂抽象概念

10. 癌细胞既然可以无限增殖,岂不是可以用来做口粮?| No.129

点此查看以往全部热门文章


登录查看更多
0

相关内容

数学是关于数量、结构、变化等主题的探索。
最新《动态网络嵌入》综述论文,25页pdf
专知会员服务
138+阅读 · 2020年6月17日
最新《自动微分手册》77页pdf
专知会员服务
104+阅读 · 2020年6月6日
自回归模型:PixelCNN
专知会员服务
29+阅读 · 2020年3月21日
机器学习速查手册,135页pdf
专知会员服务
345+阅读 · 2020年3月15日
小孩都看得懂的主成分分析
平均机器
5+阅读 · 2019年9月22日
从 one-hot 到 BERT,带你一步步理解 BERT
数说工作室
21+阅读 · 2019年6月25日
t-SNE:最好的降维方法之一
人工智能前沿讲习班
26+阅读 · 2019年2月24日
单位圆与三角函数
遇见数学
14+阅读 · 2019年1月22日
再谈变分自编码器VAE:从贝叶斯观点出发
PaperWeekly
13+阅读 · 2018年4月2日
一杯咖啡背后的拓扑 | 顾险峰
中国物理学会期刊网
7+阅读 · 2018年2月2日
酒鬼漫步的数学——随机过程 | 张天蓉专栏
知识分子
10+阅读 · 2017年8月13日
从点到线:逻辑回归到条件随机场
夕小瑶的卖萌屋
15+阅读 · 2017年7月22日
回归预测&时间序列预测
GBASE数据工程部数据团队
44+阅读 · 2017年5月17日
Neural Speech Synthesis with Transformer Network
Arxiv
5+阅读 · 2019年1月30日
Arxiv
3+阅读 · 2018年11月13日
Labeling Panoramas with Spherical Hourglass Networks
Arxiv
7+阅读 · 2018年8月28日
Arxiv
29+阅读 · 2017年12月6日
VIP会员
最新内容
人工智能在战场行动中的演进及伊朗案例
专知会员服务
2+阅读 · 今天13:08
美AI公司Anthropic推出网络安全模型“Mythos”
专知会员服务
2+阅读 · 今天12:58
【博士论文】面向城市环境的可解释计算机视觉
专知会员服务
0+阅读 · 今天12:57
大语言模型的自改进机制:技术综述与未来展望
专知会员服务
0+阅读 · 今天12:50
《第四代军事特种作战部队选拔与评估》
专知会员服务
1+阅读 · 今天6:23
相关资讯
小孩都看得懂的主成分分析
平均机器
5+阅读 · 2019年9月22日
从 one-hot 到 BERT,带你一步步理解 BERT
数说工作室
21+阅读 · 2019年6月25日
t-SNE:最好的降维方法之一
人工智能前沿讲习班
26+阅读 · 2019年2月24日
单位圆与三角函数
遇见数学
14+阅读 · 2019年1月22日
再谈变分自编码器VAE:从贝叶斯观点出发
PaperWeekly
13+阅读 · 2018年4月2日
一杯咖啡背后的拓扑 | 顾险峰
中国物理学会期刊网
7+阅读 · 2018年2月2日
酒鬼漫步的数学——随机过程 | 张天蓉专栏
知识分子
10+阅读 · 2017年8月13日
从点到线:逻辑回归到条件随机场
夕小瑶的卖萌屋
15+阅读 · 2017年7月22日
回归预测&时间序列预测
GBASE数据工程部数据团队
44+阅读 · 2017年5月17日
Top
微信扫码咨询专知VIP会员