【深度学习基础】1.监督学习和最优化

2017 年 6 月 7 日 微信AI



如今深度学习如火如荼,各种工具和平台都已经非常完善。各大训练平台比如 TensorFlow 让我们可以更多的聚焦在网络定义部分,而不需要纠结求导和 Layer 的内部组成。本系列我们来回顾一下深度学习的各个基础环节,包括线性回归,BP 算法的推导,卷积核和 Pooling,循环神经网络,LSTM 的  Memory Block 组成等,全文五篇,前三篇是斯坦福深度学习 wiki 整理,第四第五两篇是 Alex Graves 的论文读书笔记,图片来自网络和论文,有版权问题请联系我们。



线性回归


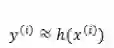
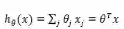
假如一个 target label 是与各种要素Xi呈线性关系的,我们可以用线性回归来拟合,,认为

为了达到数据拟合的目的,可以用最小二乘的方法来训练调整参数  ,也就是找到一组参数 ,使得最小化。


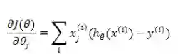
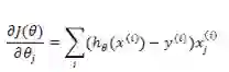
 此问题的一类求解方法是通过梯度下降,每次对 进行求导,并不断沿梯度下降的方向更新,使得 不断减小并趋向于 0 。我们对公式中的每个 分别求偏导数,可以得到:   。


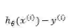
这个公式在编程的时候如何实现呢?首先我们把每一个 和 对应的数据叫做一个 instance ,一般是机器学习训练数据里面的一行。通过当前的向量,先求得  ,他一般是一个浮点数,直接与  相减得到偏导公式的后一部分,我们叫它为残差。然后直接对该 instance 中的每个位置的 (如果有值的话)乘上这个残差,得到对应元素位置的 的偏导数。


这样得到的偏导数也是一个向量,里面的元素与向量一一对应。我们选定一个叫学习率的参数 ,将这个偏导数向量更新到向量上,就完成了一次迭代: 。


重复上述过程,直到足够小,我们就得到了需要的参数。这样当我们拿到一组新的 ,但是不知道他对应的 是多少时,可以通过  计算得到一个近似的 ,也就是我们所说的预测过程。


逻辑回归


上面讲的线性回归可以用来预测连续值,但是很多时候我们希望做的是一个分类问题,也就是预测一个 instance 属于某个分类(比如:是/否,A/B/C等)的概率。逻辑回归就是完成此类任务的一个比较简单的方案。


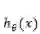
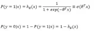
在之前的线性回归的基础上,如果要预测的 y 是一个离散值(简单起见,后面以来举例,多个离散值同样可以简化为若干个二值问题),我们增加一个叫 sigmoid 或者 logistic 的操作,把上面的连续值域映射到 [0, 1] ,我们认为他代表该 instance 对应这个 y 取值的概率:



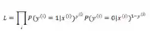
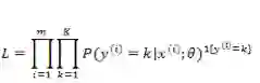
与上面的线性回归类似,现在我们的目标是找到一组参数,使得每个 instance 预测出来的概率最大化,即 y=1 的时候  尽可能大,而 y=0 的时候 尽可能大。回想我们学过的概率论,对于这样的一组二项分布数据  我们的目标是似然概率最大化:



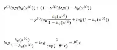
求 L 最大化的问题,同样可以通过求 -L 最小化来实现,与线性回归参数求解一样,同样通过梯度下降法来更新向量。在直接进行求导之前,先对 -L 取 log ,将连乘变为累加,方便求导:



一旦我们求得了一组合适的参数,就可以对新的不含 label ( y 值) 的 instance 进行预测,比如 ,我们可以认为要预测的 y 取值为 1 。


现在来看看通过梯度下降如何求借。通用需要对进行每一项求偏导,推导过程需要先对公式进行简化和合并:



所以对前一部分求偏导  ,对后一部分也求偏导


,代入上面的  可以得到:


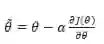
更新方式与线性回归类似:

程序实现上,同样先是拿到  后计算,然后与进行按位乘操作,得到 的每个元素位,然后对进行按位的更新。


编程过程中的向量化

在程序开发的过程中,我们不可能对每个 instance 的每个位用 for 循环来操作,一般将和 x 当做一整个向量,用 blas 这样的科学计算库来进行加速。


对于多条 instance 的 x 可以当做一个矩阵,和 y 分别是两个一维向量,这样可以进一步使用 blas 的矩阵计算进行加速。


由于逻辑回归通常是对超高维的和 x 进行计算,在进行预测的时候 x 是非常稀疏的,只有少数元素不为 0 ,此时对于单条记录计算  反而是通过一个  index->weight  的 hashmap 查找对应位置的来计算更方便。


梯度计算的调试检查

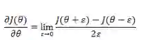
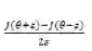
在进行开发的时候,有时候不确定我们的推导或者公式编码是否正确,这时候需要从数据上推断结果是否正确。有一个简单的办法是通过近似的导数来检查。



因此实际进行调试的时候,我们可以通过   算一个近似值,来跟我们编码后的梯度求导进行对比。一般取 时,求导公式得到的结果与上面的近似值会有至少 4 位有效数字是一致的。


上面是对一维变量进行求导。如果是逻辑回归这样的参数,通常是一个向量,我们如何检查呢?有一个办法是对每一维独立检查,比如有 N 维,我们从 0 到 N-1 ,分别只对这一维单独加减 EPSILON ,其他元素保持不变。然后应用上面的方法,来独立检查这一维的求导结果是否正确。


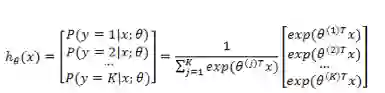
Softmax regression

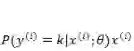
上面介绍的逻辑回归是一个二值化问题,y 的取值只有 0 和 1 ,如果我们的预测任务  ,那么我们需要 softmax regression 来进行建模和预测。简单一些理解,可以认为 softmax regression 是 K 个 logistic regression 的归一化:


需要注意的是, 本身就是一个向量,类似逻辑回归里面的 ,因为 x 作为输入对于所有的 K 个分类都是一样的,所以每个分类都有一个属于自己的  向量,所有的 K 个  一起叫做 softmax regression 的模型,该模型的概率表达是:

   


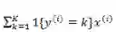
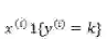
还是按照前面的套路,我们需要定义一个代价函数来定义模型对数据拟合的代价,并且通过最优化方法使得代价最小化。首先定义指示函数:

   


通过对所有 instance 拟合的概率最大化,有:

   


同样取负数把优化目标变为最小化,然后取 log ,得到代价函数:

  

 

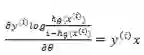
下面的求导,为了推导方便,我们直接对  进行求导,实际操作的时候是对向量元素的操作。先单独对求和部分里面的     进行求导:


          

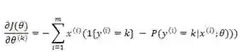
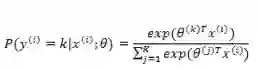
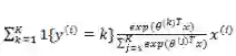
上式是对所有的 k 无差别化的求偏导,结合前面的系数   进行展开, 展开后只剩下   ,后面部分实际上就是   ,因此:


  

在编程实现的时候,  是一个向量,因此仍然需要按位操作求导和更新。同时,我们发现每一个 instance 实际上都要对 1,2,…,K 的所有进行梯度计算和更新,当 的时候 ,  前面多了一项  ,而对于其他的   仍然是能计算梯度值的,因为实际中即使当  时模型仍然是有概率值的,并不是 0 。


逻辑回归可以看做是 softmax  regression 在 K=2 的时候的特殊情况,那么什么时候使用逻辑回归,什么时候使用 softmax regression 呢?举一个例子,对一篇讲金融和互联网结合的文章进行分类,如果你只允许每篇文章有一个分类值,选互联网就不能是金融,那么就用 softmax regression ,所有 K 个值是归一化的,每次只能输出一个概率最大值作为结果。如果允许给文章打上 <金融,互联网> 两个标签,则可以训练两个逻辑回归分类器,对金融和互联网的概率分别预测。


与逻辑回归的差别:上面我们提到 LR 和 softmax 都可以对 K=2 的任务进行回归预测,而且两种 label 的概率之和都是 1 ,看起来模型训练的时候,二分类问题用两种算法应该是没有区别的?其实不然,从上面的 softmax 求导过程可以发现   对预测结果等于 1 和等于 0 的两部分分别计算误差,更新梯度;而 LR 只利用一个误差来更新梯度。因此同样是二分类问题,softmax 的收敛速度比 LR 更快一些。


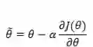
梯度下降法

梯度下降法


此处可以延展开很多内容,比如随机梯度下降,牛顿法,L-BFGS 等。建议自己系统性的学习了解一下。




微信ID:WeChatAI
长按左侧二维码关注



登录查看更多
0

相关内容

线性回归是利用数理统计中回归分析,来确定两种或两种以上变量间相互依赖的定量关系的一种统计分析方法,运用十分广泛。其表达形式为y = w'x+e,e为误差服从均值为0的正态分布。

知识荟萃

精品入门和进阶教程、论文和代码整理等

更多

查看相关VIP内容、论文、资讯等
专知会员服务
29+阅读 · 2020年10月24日
【ST2020硬核课】深度学习即统计学习,50页ppt
专知会员服务
67+阅读 · 2020年8月17日
斯坦福EE364a《凸优化》课件,301页ppt
专知会员服务
100+阅读 · 2020年7月14日
赶紧收藏!西瓜书《机器学习》完整笔记来了
大数据技术
30+阅读 · 2019年8月24日
从最优化的角度看待 Softmax 损失函数
极市平台
31+阅读 · 2019年2月21日
详解常见的损失函数
七月在线实验室
20+阅读 · 2018年7月12日
干货 | 深度学习之CNN反向传播算法详解
机器学习算法与Python学习
17+阅读 · 2017年11月21日
最全的DNN概述论文:详解前馈、卷积和循环神经网络技术
【深度学习基础】4. Recurrent Neural Networks
微信AI
16+阅读 · 2017年7月19日
国家自然科学基金
0+阅读 · 2012年12月31日
国家自然科学基金
0+阅读 · 2012年12月31日
国家自然科学基金
0+阅读 · 2012年12月31日
国家自然科学基金
0+阅读 · 2011年12月31日
国家自然科学基金
3+阅读 · 2011年12月31日
国家自然科学基金
0+阅读 · 2011年12月31日
国家自然科学基金
0+阅读 · 2009年12月31日
国家自然科学基金
8+阅读 · 2009年12月31日
国家自然科学基金
0+阅读 · 2008年12月31日
Arxiv
0+阅读 · 2022年4月18日
Arxiv
0+阅读 · 2022年4月16日
Arxiv
31+阅读 · 2020年9月21日
Learning Embedding Adaptation for Few-Shot Learning
Arxiv
17+阅读 · 2018年12月10日
Arxiv
22+阅读 · 2018年8月30日
VIP会员
最新内容
战略前沿人工智能的再思考(中文)
专知会员服务
3+阅读 · 5月29日
《量化地基防空系统间接效应的博弈论方法》
专知会员服务
3+阅读 · 5月29日
“史诗怒火行动”中美军损失的作战飞机
专知会员服务
2+阅读 · 5月29日
ICML 2026 | 理解上下文持续学习中的泛化与遗忘
专知会员服务
5+阅读 · 5月28日
Agent Harness综述:大模型智能体执行器工程全景
专知会员服务
13+阅读 · 5月28日
《基于理论的威慑效能评估》
专知会员服务
8+阅读 · 5月28日
相关VIP内容
相关资讯
赶紧收藏!西瓜书《机器学习》完整笔记来了
大数据技术
30+阅读 · 2019年8月24日
从最优化的角度看待 Softmax 损失函数
极市平台
31+阅读 · 2019年2月21日
详解常见的损失函数
七月在线实验室
20+阅读 · 2018年7月12日
干货 | 深度学习之CNN反向传播算法详解
机器学习算法与Python学习
17+阅读 · 2017年11月21日
最全的DNN概述论文:详解前馈、卷积和循环神经网络技术
【深度学习基础】4. Recurrent Neural Networks
微信AI
16+阅读 · 2017年7月19日
相关基金
国家自然科学基金
0+阅读 · 2012年12月31日
国家自然科学基金
0+阅读 · 2012年12月31日
国家自然科学基金
0+阅读 · 2012年12月31日
国家自然科学基金
0+阅读 · 2011年12月31日
国家自然科学基金
3+阅读 · 2011年12月31日
国家自然科学基金
0+阅读 · 2011年12月31日
国家自然科学基金
0+阅读 · 2009年12月31日
国家自然科学基金
8+阅读 · 2009年12月31日
国家自然科学基金
0+阅读 · 2008年12月31日
相关论文
Top
微信扫码咨询专知VIP会员