从最优化的角度看待 Softmax 损失函数

2019 年 2 月 21 日 极市平台

加入极市专业CV交流群,与6000+来自腾讯,华为,百度,北大,清华,中科院等名企名校视觉开发者互动交流!更有机会与李开复老师等大牛群内互动!

同时提供每月大咖直播分享、真实项目需求对接、干货资讯汇总,行业技术交流点击文末“阅读原文”立刻申请入群~


者 | 王峰

来源 | https://zhuanlan.zhihu.com/p/45014864

本文经作者授权转载,二次转载请联系原作者。


Softmax交叉熵损失函数应该是目前最常用的分类损失函数了,在大部分文章中,Softmax交叉熵损失函数都是从概率角度来解释的,本周二极市就推送了一篇Softmax相关文章:一文道尽softmax loss及其变种


本文将尝试从最优化的角度来推导出Softmax交叉熵损失函数,希望能够启发出更多的研究思路。


一般而言,最优化的问题通常需要构造一个目标函数,然后寻找能够使目标函数取得最大/最小值的方法。目标函数往往难以优化,所以有了各种relax、smooth的方法,例如使用L1范数取代L0范数、使用sigmoid取代阶跃函数等等。


那么我们就要思考一个问题:使用神经网络进行多分类(假设为 C 类)时的目标函数是什么?神经网络的作用是学习一个非线性函数 f(x) ,将输入转换成我们希望的输出。这里我们不考虑网络结构,只考虑分类器(也就是损失函数)的话,最简单的方法莫过于直接输出一维的类别序号 。而这个方法的缺点显而易见:我们事先并不知道这些类别之间的关系,而这样做默认了相近的整数的类是相似的,为什么第2类的左右分别是第1类和第3类,也许第2类跟第5类更为接近呢?


为了解决这个问题,可以将各个类别的输出独立开来,不再只输出1个数而是输出 C个分数(某些文章中叫作logit[1],但我感觉这个词用得没什么道理,参见评论),每个类别占据一个维度,这样就没有谁与谁更近的问题了。那么如果让一个样本的真值标签(ground-truth label)所对应的分数比其他分数更大,就可以通过比较 C个分数的大小来判断样本的类别了。这里沿用我的论文[2]使用的名词,称真值标签对应的类别分数为目标分数(target score),其他的叫非目标分数(non-target score)。


这样我们就得到了一个优化目标:

输出C个分数,使目标分数比非目标分数更大。


换成数学描述,设 为真值标签的序号,那优化目标即为:


得到了目标函数之后,就要考虑优化问题了。我们可以给一个负的梯度,给其他所有一个正的梯度,经过梯度下降法,即可使 升高而 下降。为了控制整个神经网络的幅度,不可以让 无限地上升或下降,所以我们利用max函数,让在  刚刚超过时就停止上升:


然而这样做往往会使模型的泛化性能比较差,我们在训练集上才刚刚让 超过 ,那测试集很可能就不会超过。借鉴svm里间隔的概念,我们添加一个参数,让  大过一定的数值才停止:


这样我们就推导出了hinge loss...唔,好像跑题了,我们本来不是要说Softmax的么...不过既然跑题了就多说点,为什么hinge loss在SVM时代大放异彩,但在神经网络时代就不好用了呢?主要就是因为svm时代我们用的是二分类,通过使用一些小技巧比如1 vs 1、1 vs n等方式来做多分类问题。而如论文[3]这样直接把hinge loss应用在多分类上的话,当类别数 特别大时,会有大量的非目标分数得到优化,这样每次优化时的梯度幅度不等且非常巨大,极易梯度爆炸。


其实要解决这个梯度爆炸的问题也不难,我们把优化目标换一种说法:

输出C个分数,使目标分数比最大的非目标分数更大。


跟之前相比,多了一个限制词“最大的”,但其实我们的目标并没有改变,“目标分数比最大的非目标分数更大”实际上等价于“目标分数比所有非目标分数更大”。这样我们的损失函数就变成了:


在优化这个损失函数时,每次最多只会有一个+1的梯度和一个-1的梯度进入网络,梯度幅度得到了限制。但这样修改每次优化的分数过少,会使得网络收敛极其缓慢,这时就又要祭出smooth大法了。那么max函数的smooth版是什么?有同学会脱口而出:softmax!恭喜你答错了...


这里出现了一个经典的歧义,softmax实际上并不是max函数的smooth版,而是one-hot向量(最大值为1,其他为0)的smooth版。其实从输出上来看也很明显,softmax的输出是个向量,而max函数的输出是一个数值,不可能直接用softmax来取代max。max函数真正的smooth版本是LogSumExp函数(LogSumExp:https://en.wikipedia.org/wiki/LogSumExp),对此感兴趣的读者还可以看看这个博客:寻求一个光滑的最大值函数(https://kexue.fm/archives/3290)


使用LogSumExp函数取代max函数:


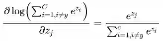
LogSumExp函数的导数恰好为softmax函数:


经过这一变换,给予非目标分数的1的梯度将会通过LogSumExp函数传播给所有的非目标分数,各个非目标分数得到的梯度是通过softmax函数进行分配的,较大的非目标分数会得到更大的梯度使其更快地下降。这些非目标分数的梯度总和为1,目标分数得到的梯度为-1,总和为0,绝对值和为2,这样我们就有效地限制住了梯度的总幅度。


LogSumExp函数值是大于等于max函数值的,而且等于取到的条件也是非常苛刻的(具体情况还是得看我的博士论文,这里公式已经很多了,再写就没法看了),所以使用LogSumExp函数相当于变相地加了一定的 m。但这往往还是不够的,我们可以选择跟hinge loss一样添加一个 ,那样效果应该也会不错,不过softmax交叉熵损失走的是另一条路:继续smooth。


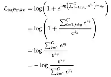
注意到ReLU函数 也有一个smooth版,即softplus函数 。使用softplus函数之后,即使  超过了LogSumExp函数,仍会得到一点点梯度让  继续上升,这样其实也是变相地又增加了一点  ,使得泛化性能有了一定的保障。替换之后就可以得到:


这个就是大家所熟知的softmax交叉熵损失函数了。在经过两步smooth化之后,我们将一个难以收敛的函数逐步改造成了softmax交叉熵损失函数,解决了原始的目标函数难以优化的问题。从这个推导过程中我们可以看出smooth化不仅可以让优化更畅通,而且还变相地在类间引入了一定的间隔,从而提升了泛化性能。


至于如何利用这个推导来对损失函数进行修改和一些进一步的分析,未完待续...


[1] Pereyra G, Tucker G, Chorowski J, et al. Regularizing neural networks by penalizing confident output distributions[J]. arXiv preprint arXiv:1701.06548, 2017.

[2] Wang F, Cheng J, Liu W, et al. Additive margin softmax for face verification[J]. IEEE Signal Processing Letters, 2018, 25(7): 926-930.

[3] Tang Y. Deep learning using linear support vector machines[J]. arXiv preprint arXiv:1306.0239, 2013.





*延伸阅读

一文道尽softmax loss及其变种

分享神经网络中设计loss function的一些技巧

CVPR 2018 | Repulsion loss:专注于遮挡情况下的行人检测


每月大咖直播分享、真实项目需求对接、干货资讯汇总,行业技术交流点击左下角“阅读原文”立刻申请入群~


觉得有用麻烦给个好看啦~  

登录查看更多
31

相关内容

【2020新书】监督机器学习,156页pdf,剑桥大学出版社
专知会员服务
154+阅读 · 2020年6月27日
【斯坦福】凸优化圣经- Convex Optimization (附730pdf下载)
专知会员服务
231+阅读 · 2020年6月5日
【CVPR 2020-商汤】8比特数值也能训练卷积神经网络模型
专知会员服务
26+阅读 · 2020年5月7日
零样本图像分类综述 : 十年进展
专知会员服务
128+阅读 · 2019年11月16日
Diganta Misra等人提出新激活函数Mish,在一些任务上超越RuLU
专知会员服务
15+阅读 · 2019年10月15日
一文搞懂反向传播
机器学习与推荐算法
18+阅读 · 2020年3月12日
机器学习计算距离和相似度的方法
极市平台
10+阅读 · 2019年9月20日
再谈人脸识别损失函数综述
人工智能前沿讲习班
14+阅读 · 2019年5月7日
被忽略的Focal Loss变种
极市平台
29+阅读 · 2019年4月19日
从信息论的角度来理解损失函数
深度学习每日摘要
17+阅读 · 2019年4月7日
人脸识别损失函数综述(附开源实现)
极市平台
29+阅读 · 2019年3月12日
换个角度看GAN:另一种损失函数
机器学习算法与Python学习
7+阅读 · 2019年1月1日
详解常见的损失函数
七月在线实验室
20+阅读 · 2018年7月12日
干货 | 深度学习之损失函数与激活函数的选择
机器学习算法与Python学习
15+阅读 · 2017年9月18日
From Softmax to Sparsemax-ICML16(1)
KingsGarden
74+阅读 · 2016年11月26日
Few-shot Adaptive Faster R-CNN
Arxiv
3+阅读 · 2019年3月22日
Arxiv
4+阅读 · 2018年3月19日
Arxiv
5+阅读 · 2016年10月24日
VIP会员
最新内容
最新“指挥控制”领域出版物合集(简介)
专知会员服务
1+阅读 · 今天15:19
面向军事作战需求开发的人工智能(RAIMOND)
专知会员服务
3+阅读 · 今天15:13
软件定义多域战术网络:基础与未来方向(综述)
水下战战术决策中的气象与海洋预报(50页报告)
远程空中优势:新一代超视距导弹的兴起
专知会员服务
1+阅读 · 今天14:45
大语言模型溯因推理的统一分类学与综述
专知会员服务
0+阅读 · 今天12:07
相关资讯
一文搞懂反向传播
机器学习与推荐算法
18+阅读 · 2020年3月12日
机器学习计算距离和相似度的方法
极市平台
10+阅读 · 2019年9月20日
再谈人脸识别损失函数综述
人工智能前沿讲习班
14+阅读 · 2019年5月7日
被忽略的Focal Loss变种
极市平台
29+阅读 · 2019年4月19日
从信息论的角度来理解损失函数
深度学习每日摘要
17+阅读 · 2019年4月7日
人脸识别损失函数综述(附开源实现)
极市平台
29+阅读 · 2019年3月12日
换个角度看GAN:另一种损失函数
机器学习算法与Python学习
7+阅读 · 2019年1月1日
详解常见的损失函数
七月在线实验室
20+阅读 · 2018年7月12日
干货 | 深度学习之损失函数与激活函数的选择
机器学习算法与Python学习
15+阅读 · 2017年9月18日
From Softmax to Sparsemax-ICML16(1)
KingsGarden
74+阅读 · 2016年11月26日
Top
微信扫码咨询专知VIP会员