多因素问题分析时,如何确立各因素权重?

2020 年 3 月 4 日 人人都是产品经理

关注并将「人人都是产品经理」设为星标

每天早 07 : 45 按时送达


工作生活,我们经常遇到需要多因素多指标来衡量的问题。那么,如何确定每个因素对目标的权重,以保证最终结果最合理呢?


作者:赵小洛

微信公众号:赵小洛洛洛

题图来自Unsplash, 基于CC0协议

全文共 2494 字,阅读需要 5 分钟


—————— BEGIN ——————

在工作生活中,我们经常会遇到一些需要确定各部分权重来得出最终结果的问题——

例如:商品的排序,可能需要考虑成交量、好评率、收藏量、转化率等因素;

例如:个人信用分,可能需要考虑身份特征、消费能力、人脉关系、行为偏好、信用历史等因素,而其中每个因素,又可能需要多种指标来衡量。

——这就引入了权重的概念。

那么,如何确定每个因素对目标的权重,以保证最终结果最合理呢?

一、什么是权重

权重是指:某因素在整体评价中的相对重要程度。权重越高,则该因素越重要。

权重有两个特点:

1)每个因素的权重在0-1之间

2)所有因素的权重之和为1

二、权重的确定思路与方法

1. 主观赋权方法

主要由专家经验得到权数,然后对指标进行综合评价。是一种结合性方法,易操作,存在一定主观性。

常用方法:层次分析法AHP、权值因子判断表法、德尔菲法、模糊分析法、二项系数法、环比评分法、最小平方法、序关系分析法等。

2. 客观赋权法

依据历史数据研究指标之间的相关关系,或指标与评估结果的影响关系,来综合评价。这是定量研究,无须考虑决策者主观意愿和业务经验,计算方法较为复杂。

常用方法:主成分分析、因子分析、熵值法、变异系数法、均方差法、回归分析法等

三、常用权重计算方法

1. 层次分析法(AHP)

层次分析法简称AHP,是指:将与整体决策有关的元素分解成目标、准则、方案等层次,然后进行定性和定量分析的方法。

根据总的目标,可以将问题分解为不同的因素,形成一个多层次的分析结构模型,从而最终使问题归结为最低层相对于最高层的相对重要权值的确定,或相对优劣次序的排定。

层次分析法可应用于权重确立的多种场景,例如:

1)利用层次分析法对内容社区的原创作者进行创作者打分评级,然后针对不同评级的创作者制定不同策略,以刺激更多原创优质内容的生产;

2)利用层次分析法对各流量来源的渠道进行渠道的打分评级,更加有效客观全面的评价一个渠道的综合价值;

层次分析法具有系统性、实用性、简洁性的优点,一般步骤如下:

1)建立递阶层次结构模型

应用AHP解决实际问题,首先要明确需要分析决策的问题,把它条理化理出递阶层次结构。

一般由三个层次组成:目标层(最高层),问题的预定目标、准则层(中间层),影响目标实现的准则、措施层(最低层),促使目标实现的措施。

通过对复杂问题的分析,找出影响目标实现的准则。

要详细分析各准则因素间的关系,有些是主要准则有些是次准则,然后根据这些关系将各元素分成不同的层次和组,上一层元素由下一层元素构成并对下一层元素起支配作用。

最后分析为解决问题,在上述准则下,有哪些最终措施,将他们作为措施层因素,放在层次结构最底层。

以上图作者评分模型为例,作者总分即为目标层;作品质量得分、发布得分等即为准则层;图文分享数、评论数等即为措施层。

2)构造判断矩阵

据递阶层次结构就能很容易地构造判断矩阵。

构造判断矩阵的方法是:每一个准则因素作为判断矩阵的第一个元素,隶属于它的各个元素依次排列在其后的第一行和第一列。然后,填写判断矩阵,大多采取的方法是根据专家(业务经验)来判断矩阵的准则,其中两个元素两两比较哪个重要,重要多少,对重要性程度按1-9赋值。

在实际应用中,可用spss工具进行计算,简洁方便。

3)计算权向量并做一致性检

对于填写完的判断矩阵利用一定数学方法进行层次排序,计算权向量,指每一个矩阵各因素针对其准则的相对权重。

计算权向量有特征根法、和法、幂法等,再次不做过多介绍。确定权向量后,需要对判断矩阵进行一致性检验。

比如:A比B重要,B比C重要,但是最后结果显示C比A重要,这样即为不一致。可以利用一致性指标、随机一致性指标和一致性比率做一致性检验。若检验通过,归一化后的特征向量即为权向量,若不通过,需重新构造成对比较阵。

4)计算综合重要度

以上分析只得出相对重要度,因此在层次分析中,还需计算同一层次所有要素对最高层次进行排序,从最上层开始,自上而下的求出各层要素关于总体的综合重要度,并进行一致性检验。

评价:

层次分析方法是把研究对象当作一个系统,按照拆解、比较的思维进行决策。

其中每一层的权重设置最后都会直接或间接影响到最终结果,每个层次中每个因素对结果的影响均可量化。把定性与定量相结合,利用专家经验,对评价问题的本质、要素的理解出发,比一般的定量方法更讲求定性的分析和判断。

层次分析法适用于处理许多用传统的最优化技术无法着手的实际问题。

2. 变异系数法

变异系数是刻画离中趋势的重要指标,反映取值的差异和波动,在数值上等于标准差除以均值。

为什么变异系数可以确定权重?

因为在评价体系中,若某因素取值差异大,则说明该因素难以实现,是反应所评价对象差距的关键因素,所以要赋予更高权重。

例如:

在高考时,我们经常会谈要把精力多放在数学上,而语文则是循序渐进,以保分为主。

为什么呢?

是因为数学成绩相比语文成绩,更能拉开总分差距:数学学的好,考130、140分的可能性很大,而语文全班分数则可能普遍分布在100-120分,付出很多努力却和别人拉不开什么差距。

我们重视能拉开差距的科目,其实就是对取值差异大的因素,对其赋予了更高权重。

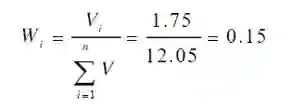
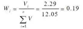
尝试去用变异系数法综合评价北京某景区的各影响因素指标权重。数据选取某一年的数据。计算这些影响因素的变异系数、标准差、平均数,反映出各因素在这些指标上的差距,并作为确定各项指标权重的依据。

将各项指标的变异系数加总得12.05,然后计算构成评价指标体系的这5个因素指标的权重,超负荷的接待量:

过多的人工建筑:

其他指标的权重依次类推,最终求得各因素权重:

变异系数法直接利用各项指标所包含信息量,通过计算得到指标的权重,是一种客观的赋权方法。

在评价中,指标取值差异越大的指标也就越能反应因素差异,这样的指标更能反应每个被评价目标之间的差距。

以上,希望对大家有所帮助。

—————— / END / ——————


每个「在看」,都是一次鼓励 ▼

登录查看更多
75

相关内容

高效医疗图像分析的统一表示
专知会员服务
36+阅读 · 2020年6月23日
基于深度学习的表面缺陷检测方法综述
专知会员服务
89+阅读 · 2020年5月31日
中科大-人工智能方向专业课程2020《脑与认知科学导论》
周志华教授:如何做研究与写论文?
专知会员服务
161+阅读 · 2019年10月9日
【新手福利】qPCR分析外泌体RNA如何选参照
外泌体之家
10+阅读 · 2019年11月8日
交通评价指标概略
智能交通技术
15+阅读 · 2019年7月21日
用户研究:如何做用户画像分析
产品100干货速递
46+阅读 · 2019年5月9日
人脸专集5 | 最新的图像质量评价
计算机视觉战队
27+阅读 · 2019年4月13日
【专题】Facebook遭德国反垄断调查及其影响分析
蚂蚁金服评论
17+阅读 · 2019年4月1日
在线学习体验影响因素结构关系探析
MOOC
7+阅读 · 2019年3月20日
如果你研究多因子模型,这篇文章看不懂就别玩了!
量化投资与机器学习
26+阅读 · 2018年7月31日
Arxiv
8+阅读 · 2019年5月20日
Arxiv
4+阅读 · 2018年5月4日
Arxiv
3+阅读 · 2018年4月9日
VIP会员
最新内容
超越网格:作战环境对炮兵的影响
专知会员服务
1+阅读 · 今天15:35
KDD 2026 | MixRAGRec:面向LLM推荐的混合专家KG-RAG框架
BES:让语言模型通过双向进化搜索自我改进
专知会员服务
4+阅读 · 5月30日
以色列-美国-伊朗战争中的无人机:关键要点
专知会员服务
4+阅读 · 5月30日
《Palantir任务保障性软件安全标准(MA-S2)》
专知会员服务
14+阅读 · 5月30日
基于声学的无人机检测技术综述
专知会员服务
8+阅读 · 5月30日
《当代混合战争分析框架:俄乌战争经验教训》
相关资讯
【新手福利】qPCR分析外泌体RNA如何选参照
外泌体之家
10+阅读 · 2019年11月8日
交通评价指标概略
智能交通技术
15+阅读 · 2019年7月21日
用户研究:如何做用户画像分析
产品100干货速递
46+阅读 · 2019年5月9日
人脸专集5 | 最新的图像质量评价
计算机视觉战队
27+阅读 · 2019年4月13日
【专题】Facebook遭德国反垄断调查及其影响分析
蚂蚁金服评论
17+阅读 · 2019年4月1日
在线学习体验影响因素结构关系探析
MOOC
7+阅读 · 2019年3月20日
如果你研究多因子模型,这篇文章看不懂就别玩了!
量化投资与机器学习
26+阅读 · 2018年7月31日
Top
微信扫码咨询专知VIP会员