当达摩院大牛学会抠图,这一切都不受控制了……

2020 年 1 月 3 日 阿里技术
从达摩院宣布成立起,这个阿里的“神秘机构”就备受外界关注。 高端,神秘,这些标签也让我们对达摩院的技术专家产生了好奇。

在他人眼中,达摩院大多是奇人异士,做着神秘且高端的研究,如扫地僧一般的存在,但是如果有一天,当神秘专家不再神秘,你发现他们也开始玩抠图,且这一切都朝着不受控制的方向发展。那么抠图他们能玩出哪些花样?

你看看,万物皆可抠!

部分图片来源淘宝商品图
 
换成视频试试?可以!


我们为什么要开始研究抠图?

这要从阿里巴巴智能设计实验室自主研发的一款设计产品鹿班说起。鹿班的初衷是改变传统的设计模式,使其在短时间内完成大量banner图、海报图和会场图的设计,提高工作效率。商家上传的宝贝图参差不齐,直接投放效果不佳,通过鹿班制图可以保证会场风格统一、高质视觉效果传达,从而提升商品吸引力和买家视觉体验,达到提升商品转化率的目的。而在制图的过程中,我们发现商品抠图是一项不可避免且繁琐的工作,一张人像精细抠图平均需要耗费设计师2h以上的时间,这样无需创意的纯体力工作亟需被AI所取代,我们的抠图算法应运而生。
 
近几年图像抠图算法逐渐进入人们的视野。而潜藏在其背后的行业:泛文娱,电商行业、垂直行业,诸如在线餐饮、媒体、教育等行业商业价值不容小觑,可以满足各种战报、在线课程教师抠图、视频封面制作等不同形式的图片制作需求拓展。市面上的一些抠图算法效果在人像发丝细节处理均不是很好,且对一些通用场景(电商等)支持也不是很好。我们针对这两个问题一方面设计更具有泛化能力的系统、一方面深化发丝和高度镂空相关算法,均有更好的效果。
 
遇到的难题和解决方案

我们最开始在上手鹿班“批量抠图”需求时,发现用户上传的图像质量、来源、内容五花八门,想用一个模型实现业务效果达到一劳永逸很难。在经过对场景和数据的大量分析后,定制整体框架如下:


主要涵盖了过滤、分类、检测、分割四个模块:

过滤: 滤掉差图(过暗、过曝、模糊、遮挡等),主要用到分类模型和一些基础图像算法;

分类: 瓶饮美妆等品类商品连通性比较好,3C、日用、玩具等品类则反之,另外场景(如人头、人像、动物)需求也是各具差异,故而设计不同的分割模型提升效果;

检测: 在鹿班场景用户数据多来自于商品图,很多是经过高度设计的图像,一图多商品、多品类、主体占比小,也不乏文案、修饰、logo等冗余信息,增加一步检测裁剪再做分割效果更精准;

分割: 先进行一层粗分割得到大致mask,再进行精细分割得到精确mask,这样一方面可以提速,一方面也可以精确到发丝级;

如何让效果更精准?

目前分类、检测模型相对比较成熟,而评估模型则需要根据不同场景做一些定制(电商设计图、天然摄影图等),分割精度不足,是所有模块中最薄弱的一个环节,因此成为了我们的主战场。详述如下:

分类模型: 分类任务往往需要多轮的数据准备,模型优化,数据清洗才能够落地使用。据此,我们设计完成了一个自动分类工具,融合最新的优化技术,并借鉴autoML的思想,在有限GPU资源的情况下做参数和模型搜索,简化分类任务中人员的参与,加速分类任务落地。

评估模型: 直接使用回归做分数拟合,训练效果并不好。该场景下作为一个前序过滤任务,作为分类问题处理则比较合理。实际我们也采用一些传统算法,协助进行过暗、过曝等判断。

检测模型: 主要借鉴了FPN检测架构。

  • 对特征金字塔每一层featuremap都融合上下相邻层特征,这样输出的特征潜在表征能力更强;

  • 特征金字塔不同层特征分别预测,候选anchors可增加对尺度变化的鲁棒性,提升小尺度区域召回;

  • 对候选anchor的设定增加一些可预见的scale,在商品尺寸比例比较极端的情况下大幅提升普适性;


分割融合模型:

参考论文:
http://openaccess.thecvf.com/content_CVPR_2019/html/Zhang_A_Late_Fusion_CNN_for_Digital_Matting_CVPR_2019_paper.html

与传统的只需要分别前景、背景的图像分割(segmentation)问题不同,高精度抠图算法需要求出某一像素具体的透明度是多少,将一个离散的0-1分类问题变成[0, 1]之间的回归问题。

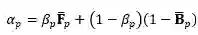
在我们的工作中,针对图像中某一个像素p,我们使用这样一个式子来进行透明度预测:


其中 分别代表了这个像素属于前景和背景的概率,是混合权重。我们的网络可整体分为两部分,分割网络和融合网络,如下图:


分割网络:我们使用了在图像分割任务中常用的编-解码器结构作为我们的基础结构,但与传统结构不同,我们的网络中使用了双解码器分别来预测前、背景概率。如果像素p在图像的实心区域(透明度为0或1),我们预测像素透明度的真实值;如果p在图像的半透明区域(透明度值在0到1之间),我们预测像素透明度真实值的上下界。通过在半透明区域使用加权的交叉熵损失函数,使的值相应升高,即可将透明度的真实值“包裹”在 这一区间中。

右图中红色部分即是被前背景概率包住的像素

融合网络:由数个连续卷积层构成,它负责预测混合权重。注意,在图像的实心区域,像素的前背景预测往往容易满足这一条件,此时对求导恒为0,这一良好性质令融合网络在训练时可以自动“聚焦”于半透明区域。
 
应用产品化开放

得以商业应用的基础是我们在应用层单点能力,如人像/人头/人脸/头发抠图、商品抠图、动物抠图,后续还会逐步支持卡通场景抠图、服饰抠图、全景抠图等。据此我们也做了一些产品化工作,如鹿班的批量白底图功能 、E应用证件照/战报/人物换背景(钉钉->我的->发现->小程序->画蝶)等。

鹿班的批量白底图功能:
https://luban.aliyun.com/web/gen-next/config?tag=cutout&title=%E6%89%B9%E9%87%8F%E7%99%BD%E5%BA%95%E5%9B%BE
试用地址:
https://ivpd.console.aliyun.com/api-image
接入说明:
https://help.aliyun.com/document_detail/139269.html
商务合作咨询请戳链接:
https://page.aliyun.com/form/act854786621/index.htm


2019 极具收藏价值的
Java 技术 1000 问精选集


包含:java容器部署、RockerMQ面试、spring、Dubbo、JVM实践踩坑经验, 识别下方二维码 或点击 “阅读原文” 立刻观看。



你可能还喜欢
点击下方图片即可阅读

未来读懂这本书,才算读懂阿里大数据


阿里技术 2019 年度热文 Top10 出炉,你错过哪些?



关注「阿里技术」
把握前沿技术脉搏



戳我,看Java技术1000问。
登录查看更多
0

相关内容

【实用书】Python爬虫Web抓取数据,第二版,306页pdf
专知会员服务
122+阅读 · 2020年5月10日
姿势服装随心换-CVPR2019
专知会员服务
36+阅读 · 2020年1月26日
【机器学习课程】Google机器学习速成课程
专知会员服务
171+阅读 · 2019年12月2日
技术无罪?AI直接“脱掉”女性的衣服!
51CTO博客
9+阅读 · 2019年6月27日
我是怎么走上推荐系统这条(不归)路的……
全球人工智能
11+阅读 · 2019年4月9日
还在PS里手动描边?AI自动抠图只需5秒
机器之心
12+阅读 · 2018年12月19日
你知道计算机视觉领域这些“黑科技”吗?
计算机视觉life
6+阅读 · 2018年12月4日
Python | 拯救鉴黄师
计算机与网络安全
5+阅读 · 2018年2月17日
Physical Primitive Decomposition
Arxiv
4+阅读 · 2018年9月13日
Image Captioning based on Deep Reinforcement Learning
Arxiv
8+阅读 · 2018年4月8日
Arxiv
3+阅读 · 2018年4月3日
Arxiv
6+阅读 · 2018年1月14日
VIP会员
最新内容
人工智能在战场行动中的演进及伊朗案例
专知会员服务
2+阅读 · 今天13:08
美AI公司Anthropic推出网络安全模型“Mythos”
专知会员服务
2+阅读 · 今天12:58
【博士论文】面向城市环境的可解释计算机视觉
专知会员服务
0+阅读 · 今天12:57
大语言模型的自改进机制:技术综述与未来展望
专知会员服务
0+阅读 · 今天12:50
《第四代军事特种作战部队选拔与评估》
专知会员服务
1+阅读 · 今天6:23
相关资讯
技术无罪?AI直接“脱掉”女性的衣服!
51CTO博客
9+阅读 · 2019年6月27日
我是怎么走上推荐系统这条(不归)路的……
全球人工智能
11+阅读 · 2019年4月9日
还在PS里手动描边?AI自动抠图只需5秒
机器之心
12+阅读 · 2018年12月19日
你知道计算机视觉领域这些“黑科技”吗?
计算机视觉life
6+阅读 · 2018年12月4日
Python | 拯救鉴黄师
计算机与网络安全
5+阅读 · 2018年2月17日
Top
微信扫码咨询专知VIP会员