想要成为高级程序员,你得先学数学才行

2019 年 6 月 17 日 Linux中国
1

傍晚,忙了一天的 Ray 终于下班了,摘下眼镜休息下疲劳的双眼,他走到公交车站等 23 路公交车准备回家。

对于一个高度近视眼的人来说,Ray 每天都有很多烦恼,因为他看迎面而来的人是这样婶儿的。

每次公交车要过来,他都看不清车身上的号码,这严重影响他挤车的战斗力。

别问我他为什么不戴眼镜,爱臭美的近视眼们都知道为啥。他想起以前在国外出差,公交车上的号码总是以很大的字号印在车身上,就算视力不好也可以看得很清楚。

每到这个时候,Ray 都想跟市政建设提个意见,要是公交车的号码能来个大字版的,那多方便啊!

天色越来越晚,好几辆公交车驶过去了,他还站在原地,这会儿又一辆车来了,他打算先上车问一下司机。一只脚刚踏上车,话还没说出来,就被一个大姐撞飞了。他捂着胳膊问:“司机师傅,这是 23 路吗?”司机没好气地说:“你逗我呢,外面不写着呢嘛,你是不认字吗?”Ray 无辜地说:“我是看不清。”司机一脸黑线,打发他赶快往后走。这样尴尬的场景已经不是第一次了,他倍感无助。

忽然,天灵盖被一个灵感击中,大脑伸了一个懒腰,一个 idea 就这样诞生了:“要不做一个手机 App 吧,可以用手机拍摄车身照片,然后自动识别照片中公交车的号码,这样问题不就解决了嘛!

正在暗自窃喜时,他转念一想又似乎想得过于美好了,要怎么识别车上的号码呢?拍下来的照片受到光照、形状、颜色、角度等诸多因素的影响,这样的话问题开始有一点变复杂了。

2

Ray 想起了做图像处理的朋友 Cavy,也许他有办法。于是他把自己的想法跟 Cavy 说了一遍。两人兴高采烈地探讨起这个问题。

Cavy:“你觉得深度学习算法怎么样?是不可以考虑下?

Ray:“就是那个打败人类顶尖围棋高手的深度学习吗?太深奥了吧!

Cavy:“没错!就是那个深度学习。其实它的原理并不复杂,不过你要会一些高数的基础知识才行。

Ray:“数学......我看我还是先从原理来了解下吧!

Cavy:“那我简单跟你说说。深度学习是基于神经网络,而神经网络是基于人类大脑的神经网络。人脑的神经网络是由许许多多神经元组成的网络。还是先从人脑的神经元说起。

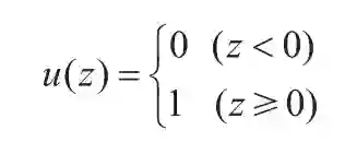
“神经元包含了轴突、树突、细胞体等,树突负责从其他神经元接收信息,细胞体负责处理接收到的信息,轴突负责把细胞体处理后的信息输出到其他神经元。细胞体判断输入信号加权之和如果超过某个固定的阈值,就通过轴突发出信号(0或1),这个过程称为点火。可以抽象为数学模型如下(称为神经单元):

点火可以用数学式子表示为:

 

我们引入加权输入z:

点火式子可以用单位阶跃函数y=u(z)表示。

 


Ray:“单位阶跃函数有间断点,这看起来有点棘手啊。

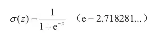
Cavy:“我们可以用其他函数 y=a(z)(称为激活函数)来代替单位阶跃函数,将间断点光滑化,常用的是 Sigmoid 函数。此外,为了使式子形式统一,我们把 -θ 替换为偏置 b。加权输入表示为:

Sigmoid 函数定义如下:

 

Ray:“额......说慢点。意思是,Sigmoid 是个光滑函数,处理起来方便许多。神经网络就是将这些神经单元连接起来的,对吧?

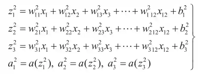
Cavy:“是的,看来你还可以嘛!也不是一点都不懂。其实它把多个神经单元按照一定的层次结构连接起来就形成神经网络。以公交车号码识别为例,我们把公交车号码识别的问题简化一下。假设我们需要在 4*3 像素的单色二值图像中识别数字 0 和 1。可以分 3 层来组织神经网络,分别是输入层、隐藏层和输出层。如下图所示:

 


输入层有 12 个神经单元,每个神经单元对应一个像素位置(一共有4*3=12个),从图像读取像素信息。隐藏层有 3 个神经单元,负责提取图像的特征。输出层有 2 个神经单元负责输出整个网络的判断结果,上方神经单元的输出值较大则表示网络识别出数字 0,反之如果输出层下方神经单元的输出值较大则表示网络识别出数字 1。

我们约定变量和参数的表示。我们对层从左到右编号,左边输入层为层 1,中间隐藏层为层 2,右边输出层为层 3。变量和参数如下表所示。

 


利用这个表格的符号,神经网络可以表示如下:

 


我们写出各层的关系式。输入层比较简单,神经单元的输入值与输出值相同,关系式如下:

隐藏层中,激活函数为 a(z),关系式如下:

同样地,输出层的关系式如下:

有了以上关系式,如果确定权重、偏置等参数,我们就得到一个可以识别 4*3 像素图片中数字 0 和 1 的神经网络。

“艾玛......让我缓缓,说太多了,口干舌燥的。”Cavy边说边喝了口水。

3

Ray:“我觉得我们可以预先准备一些图像数据并标记好答案,通过调整神经网络的权重和参数,使神经网络的输出与图像数据吻合,这样就可以了。

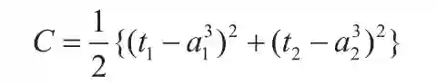
Cavy:“Bingo!这就涉及到神经网络的学习了。其实我们的目标是神经网络的输出值(预测值)与预先标记的答案(正解)总体误差达到最小。假设我们有 64 张图像作为学习数据,图像与正解对应如下:

 

我们引入 2 个变量 t1、t2 作为正解变量,取值如下:

我们用平方误差 C 作为目标函数,定义如下:

把 64 张输入图像的平方误差加起来,

得到的总体误差 CT 称为神经网络的代价函数。

Ray:“数学上应该有很多最优化数值方法求代价函数 CT 最小值。

Cavy:“我们通常考虑梯度下降法。这个可厉害了,梯度下降法的原理就跟下山类似,从一个初始位置:

沿着梯度的反方向(局部下降最快)走一定的步长 η(学习率)。

到一个新的位置:

如此迭代若干次后达到最小值点。这里的关键是梯度的计算。

Ray:“导数计算看起来非常繁杂,不好计算,有点难度。

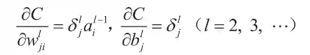
Cavy:“为了避免繁杂的导数计算,我们首先引入神经单元误差:

通过数学推导,可以把梯度分量用神经单元误差表示如下:

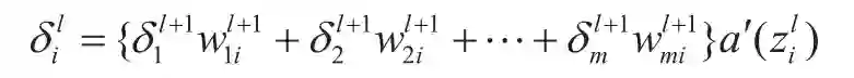
而神经单元误差有如下漂亮的递推关系(m 为层 l+1 的神经单元数目):

用以上式子逐层递推计算,就可以避免繁杂的偏导数。这就是误差反向传播法。

Ray:“这个方法很精妙!那回到我的问题,实际的公交车号码由 0-9 共十个数字组成,这就需要更多的神经单元组成更大的神经网络了。

Cavy:“可以用卷积神经网络(CNN)来减少神经元数量,简化网络,提高效率。卷积神经网络是深度学习的一种实现方式,它是由输入层、隐藏层和输出层组成。它的隐藏层具有一定结构,由卷积层和池化层组成。卷积层的神经单元负责扫描图像,找出特征在图像中的分布。池化层神经单元负责整合卷积层的结果。这样只需用较少的基本特征就可以进行图像识别。

Ray:“emmmm......话说我觉得我还是要深入了解一下才行,跟你比还是差点火候。

Cavy:“看你还算机灵,送你一本好玩的书吧。我们差这点儿火候就是数学啦!兄弟有空记得看看。这本《深度学习的数学》我就送你了。用 Excel 讲深度学习,还有大量图片,所以数学的问题,你马上就不用担心啦!

Ray:“听起来还不错!希望能拯救我的秃头。”(狗头.jpg)

☟☟☟


《深度学习的数学》

作者:涌井良幸,涌井贞美 

译者:杨瑞龙

书中基于丰富的图示和具体示例,通俗地介绍了深度学习相关的数学基础知识。第1章介绍神经网络的概况;第2章介绍理解神经网络所需的数学基础知识;第3章介绍神经网络的最优化;第4章介绍神经网络和误差反向传播法;第5章介绍深度学习和卷积神经网络。

本文转载自图灵教育

登录查看更多
0

相关内容

【实用书】学习用Python编写代码进行数据分析,103页pdf
专知会员服务
199+阅读 · 2020年6月29日
《深度学习》圣经花书的数学推导、原理与Python代码实现
【经典书】Python计算机视觉编程,中文版,363页pdf
专知会员服务
145+阅读 · 2020年2月16日
MATLAB玩转深度学习?新书「MATLAB Deep Learning」162页pdf
专知会员服务
104+阅读 · 2020年1月13日
【强化学习】深度强化学习初学者指南
专知会员服务
184+阅读 · 2019年12月14日
【机器学习课程】Google机器学习速成课程
专知会员服务
171+阅读 · 2019年12月2日
卷积神经网络数学原理解析
算法与数学之美
20+阅读 · 2019年8月23日
神经网络原来是这样和数学挂钩的
遇见数学
8+阅读 · 2019年5月21日
干货!神经网络原来是这样和数学挂钩的
图灵教育
13+阅读 · 2019年5月21日
深入卷积神经网络背后的数学原理
人工智能学家
10+阅读 · 2019年4月26日
深度学习入门必须理解这25个概念
AI100
7+阅读 · 2018年6月6日
入门 | 一文看懂卷积神经网络
算法与数学之美
7+阅读 · 2018年2月22日
通俗理解卷积神经网络(小学生都能看懂)
七月在线实验室
9+阅读 · 2018年1月25日
深度学习和普通机器学习之间有何区别?
36大数据
7+阅读 · 2017年12月4日
入门 | 一文概览深度学习中的激活函数
机器之心
7+阅读 · 2017年11月2日
Universal Transformers
Arxiv
5+阅读 · 2019年3月5日
Relational recurrent neural networks
Arxiv
8+阅读 · 2018年6月28日
Arxiv
7+阅读 · 2018年3月21日
Arxiv
3+阅读 · 2015年5月16日
VIP会员
最新内容
美AI公司Anthropic推出网络安全模型“Mythos”
专知会员服务
0+阅读 · 15分钟前
【博士论文】面向城市环境的可解释计算机视觉
专知会员服务
0+阅读 · 16分钟前
大语言模型的自改进机制:技术综述与未来展望
专知会员服务
0+阅读 · 23分钟前
《第四代军事特种作战部队选拔与评估》
专知会员服务
1+阅读 · 今天6:23
不对称优势上升:自主系统如何强化海上拒止
专知会员服务
1+阅读 · 今天5:51
相关资讯
卷积神经网络数学原理解析
算法与数学之美
20+阅读 · 2019年8月23日
神经网络原来是这样和数学挂钩的
遇见数学
8+阅读 · 2019年5月21日
干货!神经网络原来是这样和数学挂钩的
图灵教育
13+阅读 · 2019年5月21日
深入卷积神经网络背后的数学原理
人工智能学家
10+阅读 · 2019年4月26日
深度学习入门必须理解这25个概念
AI100
7+阅读 · 2018年6月6日
入门 | 一文看懂卷积神经网络
算法与数学之美
7+阅读 · 2018年2月22日
通俗理解卷积神经网络(小学生都能看懂)
七月在线实验室
9+阅读 · 2018年1月25日
深度学习和普通机器学习之间有何区别?
36大数据
7+阅读 · 2017年12月4日
入门 | 一文概览深度学习中的激活函数
机器之心
7+阅读 · 2017年11月2日
Top
微信扫码咨询专知VIP会员