唐人街神探:用数学方法确定罪犯位置

2018 年 2 月 28 日 算法与数学之美

《唐人街探案2》是2018年2月16日(大年初一)在全国上映,目前正在各大影院热映的,由王宝强、刘昊然领衔主演的悬疑动作喜剧冒险系列电影。电影讲述了唐仁(王宝强饰)为巨额奖金欺骗秦风(刘昊然饰)到纽约参加世界名侦探大赛,比赛的内容是寻找杀害唐人街教父七叔的孙子的凶手。在缉拿凶手的过程中有这样一个片段不知道大家注意到没有?秦风为了确定罪犯的居住地,使用了“曼哈顿计量法”来确定罪犯的位置。


曼哈顿距离(Manhattan Distance)是由十九世纪的赫尔曼·闵可夫斯基所创词汇。

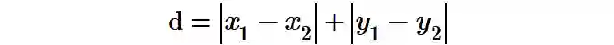
在曼哈顿街区要从一个十字路口开车到另一个十字路口,驾驶距离显然不是两点间的直线距离。这个实际驾驶距离就是“曼哈顿距离”。曼哈顿距离也称为“城市街区距离”(City Blockdistance),出租车几何。它是以类似网格路径的方式,通过坐标系中数据点的绝对轴距总和来描述两点间距离的一种方式。正式意义为L1-距离或城市区块距离,也就是在欧几里得空间的固定直角坐标系上两点所形成的线段对轴产生的投影的距离总和。两个点(x1,y1),(x2,y2)间的曼哈顿距离为

两个m维空间的点(x1,x2,..., xm)、(y1,y2,..,ym)的曼哈顿距离被定义为

如下图:

图中红线代表曼哈顿距离,绿色代表欧氏距离,也就是直线距离,而蓝色和黄色代表等价的曼哈顿距离。

曼哈顿距离不是距离不变量,当坐标轴变动时,点间的距离就会不同。

另外常用的距离度量还有:欧几里得距离(两点直接的直线距离)、切比雪夫距离、闵可夫斯基距离、余弦距离、汉明距离、杰卡德距离、相关距离等,对于它们的定义和应用可以百度了解。

∑编辑 | Gemini

来源 | 数学与人工智能

算法数学之美微信公众号欢迎赐稿

稿件涉及数学、物理、算法、计算机、编程等相关领域
稿件一经采用,我们将奉上稿酬。

投稿邮箱:[email protected]

登录查看更多
0

相关内容

【人大】图实现算法综述与评测分析
专知会员服务
38+阅读 · 2020年4月28日
《代码整洁之道》:5大基本要点
专知会员服务
50+阅读 · 2020年3月3日
【机器学习课程】Google机器学习速成课程
专知会员服务
171+阅读 · 2019年12月2日
人工智能顶刊TPAMI2019最新《多模态机器学习综述》
专知会员服务
96+阅读 · 2019年10月18日
机器学习计算距离和相似度的方法
极市平台
10+阅读 · 2019年9月20日
做机器学习和AI必备的42个数学知识点
AI前线
9+阅读 · 2018年12月6日
机器学习的5种距离度量方法
七月在线实验室
9+阅读 · 2018年5月18日
【回顾】从零开始入门机器学习算法实践
AI研习社
5+阅读 · 2017年11月28日
机器学习(27)【降维】之主成分分析(PCA)详解
机器学习算法与Python学习
9+阅读 · 2017年11月22日
基于机器学习方法的POI品类推荐算法
全球人工智能
3+阅读 · 2017年11月22日
文本分析 | 常用距离/相似度 一览
数说工作室
26+阅读 · 2017年10月12日
PCA的基本数学原理
算法与数学之美
11+阅读 · 2017年8月8日
【基础数学】- 01
遇见数学
20+阅读 · 2017年7月25日
图像识别 | 道路识别的自动驾驶算法基本原理
沈浩老师
6+阅读 · 2017年5月12日
Deep Learning for Deepfakes Creation and Detection
Arxiv
6+阅读 · 2019年9月25日
Arxiv
6+阅读 · 2018年10月3日
Arxiv
9+阅读 · 2018年4月12日
VIP会员
最新内容
BES:让语言模型通过双向进化搜索自我改进
专知会员服务
1+阅读 · 5月30日
以色列-美国-伊朗战争中的无人机:关键要点
专知会员服务
3+阅读 · 5月30日
《Palantir任务保障性软件安全标准(MA-S2)》
专知会员服务
8+阅读 · 5月30日
基于声学的无人机检测技术综述
专知会员服务
5+阅读 · 5月30日
《当代混合战争分析框架:俄乌战争经验教训》
战略前沿人工智能的再思考(中文)
专知会员服务
7+阅读 · 5月29日
《量化地基防空系统间接效应的博弈论方法》
专知会员服务
5+阅读 · 5月29日
相关资讯
机器学习计算距离和相似度的方法
极市平台
10+阅读 · 2019年9月20日
做机器学习和AI必备的42个数学知识点
AI前线
9+阅读 · 2018年12月6日
机器学习的5种距离度量方法
七月在线实验室
9+阅读 · 2018年5月18日
【回顾】从零开始入门机器学习算法实践
AI研习社
5+阅读 · 2017年11月28日
机器学习(27)【降维】之主成分分析(PCA)详解
机器学习算法与Python学习
9+阅读 · 2017年11月22日
基于机器学习方法的POI品类推荐算法
全球人工智能
3+阅读 · 2017年11月22日
文本分析 | 常用距离/相似度 一览
数说工作室
26+阅读 · 2017年10月12日
PCA的基本数学原理
算法与数学之美
11+阅读 · 2017年8月8日
【基础数学】- 01
遇见数学
20+阅读 · 2017年7月25日
图像识别 | 道路识别的自动驾驶算法基本原理
沈浩老师
6+阅读 · 2017年5月12日
Top
微信扫码咨询专知VIP会员