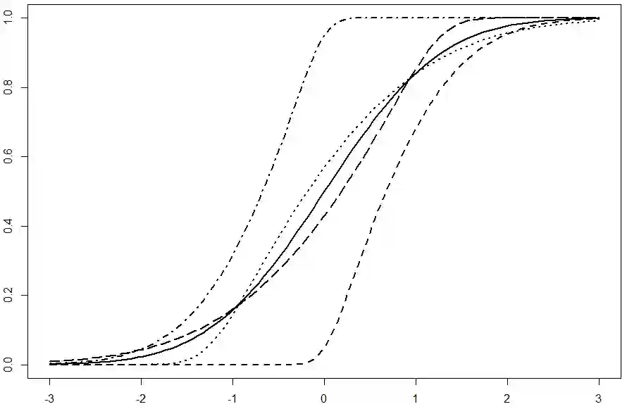
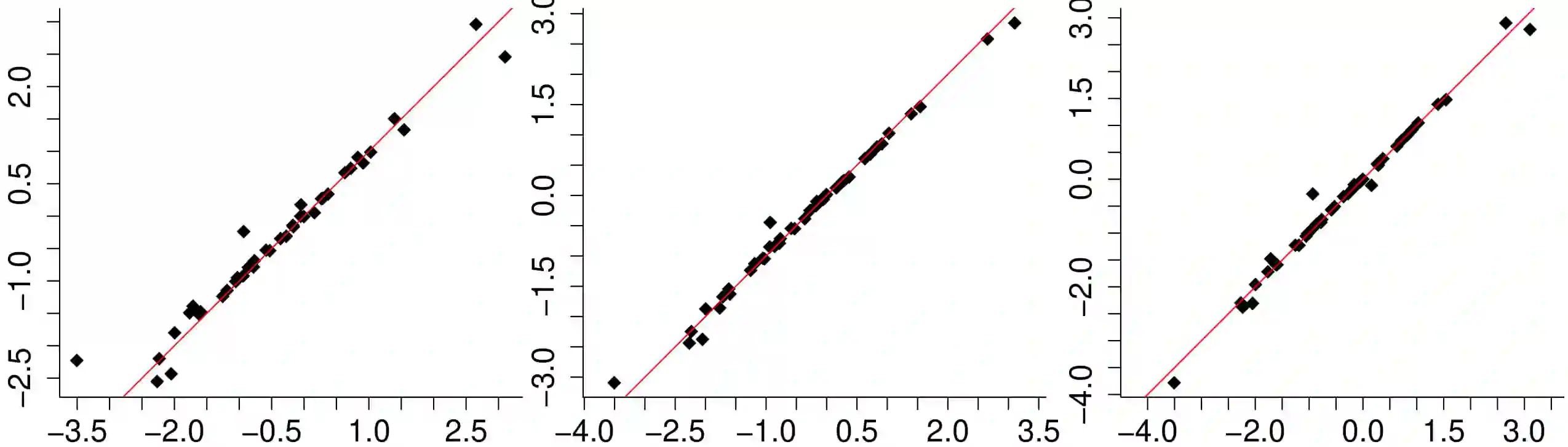
Most Item Response Theory (IRT) models for dichotomous responses are based on probit or logit link functions which assume a symmetric relationship between the responses and the latent traits of individuals submitted to a test. Such an assumption restricts the use of such models to situations in which all items have symmetric behavior. Similar constraint is imposed by the asymmetric models proposed in the literature as it is required that all items have an asymmetric behavior. Such assumptions are inappropriate for great part of the tests which, in general, are composed by both symmetric and asymmetric items. Furthermore, a straightforward extension of the existing models in the literature of would require a prior selection of the items' symmetry/asymmetry status. This paper proposes a Bayesian IRT model that accounts for symmetric and asymmetric items in a flexible though parsimonious way. That is achieved by assigning a point-mass mixture prior to the skewness parameter of the item, allowing for an analysis under the model selection or model averaging approaches. Asymmetric item curves are design through the centred skew normal distribution which has a particularly appealing parametrisation in terms of parameter interpretation and computational efficiency. An efficient MCMC algorithm is proposed to perform Bayesian inference and its performance is investigated in some simulated examples. Finally, the proposed methodology is applied to a data set from a large scale educational exam in Brazil.


翻译:大部分项反应的二分反应理论(IRT)模型,其基础是假设或逻辑联系功能,这些功能在答复和个人提交测试的个人的潜在特征之间具有对称关系。这种假设将这类模型的使用限于所有项目具有对称行为的情况。文献中提议的不对称模型也施加类似的限制,因为所有项目都有不对称行为。这些假设不适合于大部分测试,一般而言,这些测试由对称和对称项目组成。此外,文献中的现有模型的直接扩展将需要事先选择项目对称/对称/对称状态。这一假设将这类模型的使用限于所有项目都有对称行为对称行为的情况。文献中提议的对称和对称行为反应模型的不对称模型是类似的。在项目Skew正常分布中,对点-质量混合物的要求是先于标准参数,然后根据模型选择或模型平均处理方法进行分析。对正对项曲线的设计是通过中央Skew正常分配项目进行选择的,对等称性标定的参数是,最后对巴西的测算方法,最后对巴西的测算方法是测算系统,其测算中的拟议数据分析方法是测算效率。

0
下载
关闭预览

相关内容

ACM/IEEE第23届模型驱动工程语言和系统国际会议,是模型驱动软件和系统工程的首要会议系列,由ACM-SIGSOFT和IEEE-TCSE支持组织。自1998年以来,模型涵盖了建模的各个方面,从语言和方法到工具和应用程序。模特的参加者来自不同的背景,包括研究人员、学者、工程师和工业专业人士。MODELS 2019是一个论坛,参与者可以围绕建模和模型驱动的软件和系统交流前沿研究成果和创新实践经验。今年的版本将为建模社区提供进一步推进建模基础的机会,并在网络物理系统、嵌入式系统、社会技术系统、云计算、大数据、机器学习、安全、开源等新兴领域提出建模的创新应用以及可持续性。 官网链接:http://www.modelsconference.org/
专知会员服务
145+阅读 · 2021年3月13日
【干货书】机器学习速查手册,135页pdf
专知会员服务
127+阅读 · 2020年11月20日
神经常微分方程教程,50页ppt,A brief tutorial on Neural ODEs
专知会员服务
74+阅读 · 2020年8月2日
因果图,Causal Graphs,52页ppt
专知会员服务
253+阅读 · 2020年4月19日
Stabilizing Transformers for Reinforcement Learning
专知会员服务
60+阅读 · 2019年10月17日
强化学习最新教程,17页pdf
专知会员服务
182+阅读 · 2019年10月11日
【哈佛大学商学院课程Fall 2019】机器学习可解释性
专知会员服务
105+阅读 · 2019年10月9日
计算机 | IUI 2020等国际会议信息4条
Call4Papers
6+阅读 · 2019年6月17日
已删除
将门创投
8+阅读 · 2019年6月13日
Hierarchically Structured Meta-learning
CreateAMind
27+阅读 · 2019年5月22日
Transferring Knowledge across Learning Processes
CreateAMind
29+阅读 · 2019年5月18日
Disentangled的假设的探讨
CreateAMind
9+阅读 · 2018年12月10日
【SIGIR2018】五篇对抗训练文章
专知
12+阅读 · 2018年7月9日
计算机类 | 国际会议信息7条
Call4Papers
3+阅读 · 2017年11月17日
【论文】变分推断(Variational inference)的总结
机器学习研究会
39+阅读 · 2017年11月16日
Auto-Encoding GAN
CreateAMind
7+阅读 · 2017年8月4日
Arxiv
0+阅读 · 2021年4月2日
Arxiv
1+阅读 · 2021年4月1日
Arxiv
0+阅读 · 2021年3月31日
Arxiv
23+阅读 · 2018年8月3日
Arxiv
4+阅读 · 2018年4月11日
VIP会员
最新内容
人工智能赋能无人机:俄乌战争(万字长文)
专知会员服务
6+阅读 · 4月23日
国外海军作战管理系统与作战训练系统
专知会员服务
3+阅读 · 4月23日
美军条令《海军陆战队规划流程(2026版)》
专知会员服务
10+阅读 · 4月23日
《压缩式分布式交互仿真标准》120页
专知会员服务
4+阅读 · 4月23日
《电子战数据交换模型研究报告》
专知会员服务
6+阅读 · 4月23日
《低数据领域军事目标检测模型研究》
专知会员服务
6+阅读 · 4月23日
相关VIP内容
专知会员服务
145+阅读 · 2021年3月13日
【干货书】机器学习速查手册,135页pdf
专知会员服务
127+阅读 · 2020年11月20日
神经常微分方程教程,50页ppt,A brief tutorial on Neural ODEs
专知会员服务
74+阅读 · 2020年8月2日
因果图,Causal Graphs,52页ppt
专知会员服务
253+阅读 · 2020年4月19日
Stabilizing Transformers for Reinforcement Learning
专知会员服务
60+阅读 · 2019年10月17日
强化学习最新教程,17页pdf
专知会员服务
182+阅读 · 2019年10月11日
【哈佛大学商学院课程Fall 2019】机器学习可解释性
专知会员服务
105+阅读 · 2019年10月9日
相关资讯
计算机 | IUI 2020等国际会议信息4条
Call4Papers
6+阅读 · 2019年6月17日
已删除
将门创投
8+阅读 · 2019年6月13日
Hierarchically Structured Meta-learning
CreateAMind
27+阅读 · 2019年5月22日
Transferring Knowledge across Learning Processes
CreateAMind
29+阅读 · 2019年5月18日
Disentangled的假设的探讨
CreateAMind
9+阅读 · 2018年12月10日
【SIGIR2018】五篇对抗训练文章
专知
12+阅读 · 2018年7月9日
计算机类 | 国际会议信息7条
Call4Papers
3+阅读 · 2017年11月17日
【论文】变分推断(Variational inference)的总结
机器学习研究会
39+阅读 · 2017年11月16日
Auto-Encoding GAN
CreateAMind
7+阅读 · 2017年8月4日
相关论文
Top
微信扫码咨询专知VIP会员