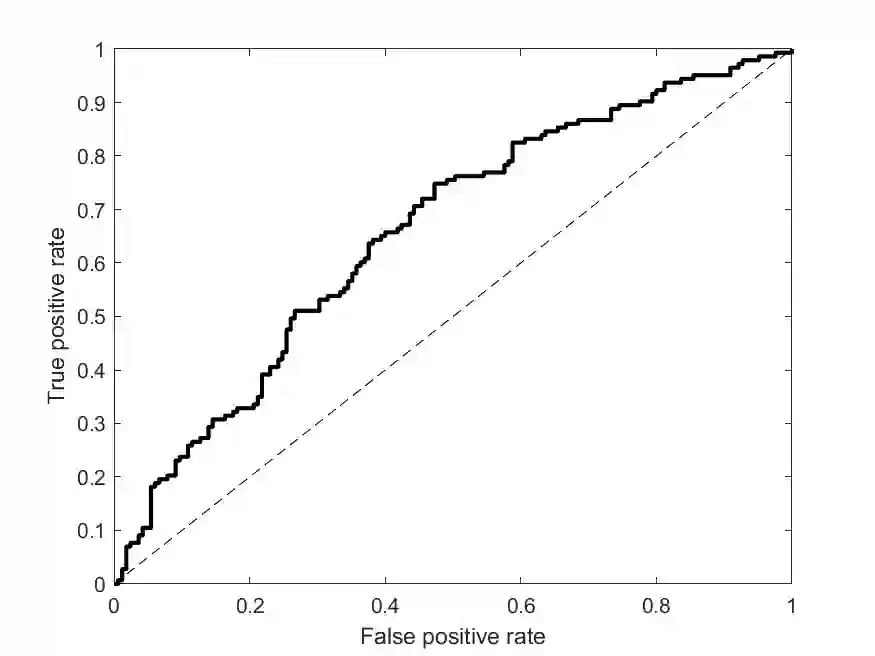
Studies have shown that the traces people leave when browsing the internet may indicate the onset of diseases such as cancer. Here we show that the adaptive engines of advertising systems in conjunction with clinically verified questionnaires can be used to identify people who are suspected of having one of three types of solid tumor cancers. In the first study, 308 people were recruited through ads shown on the Bing search engine to complete a clinically verified risk questionnaire. A classifier trained to predict questionnaire response using only past queries on Bing reached an Area Under the Curve of 0.64 for all three cancer types, verifying that past searches could be used to identify people with suspected cancer. The second study was conducted using the Google ads system in the same configuration as in the first study. However, in this study the ads system was set to automatically learn to identify people with suspected cancer. A total of 70,586 people were shown the ads, and 6,484 clicked and were referred to complete the clinical questionnaires. People from countries with higher Internet access and lower life expectancy tended to click more on the ads. Over time the advertisement system learned to identify people who were likely to have symptoms consistent with suspected cancer, such that the percentage of people completing the questionnaires and found to have suspected cancer reached approximately 11\% at the end of the experiment. These results demonstrate the utility of using search engine queries to screen for possible cancer and the application of modern advertising systems to help identify people who are likely suffering from serious medical conditions. This is especially true in countries where medical services are less developed.


翻译:研究表明,人们在浏览互联网时留下的痕迹可能显示癌症等疾病的发端。在这里,我们表明,广告系统的适应性引擎与经临床核实的问卷一起,可用于识别怀疑患有三种固态肿瘤的人。在第一项研究中,通过Bing搜索引擎上显示的广告招聘了308人,以完成经临床核实的风险问卷。受过培训,仅利用过去对Bing的查询预测问卷答复的分类人员,所有三种癌症类型都达到0.64的曲线下区域,核实过去搜索可用于识别疑似癌症的人。第二次研究可以使用与第一次研究相同的配置的谷歌广告系统进行。然而,在这项研究中,广告系统设置自动学习识别疑似患有癌症的人。总共70 586人接受了广告,6 484人点击并被查询完成临床问卷。来自互联网接入率较高和预期寿命较低的国家的人往往在广告上点击更多信息。经过一段时间后,学会了识别那些可能患有严重癌症的人,尤其是那些在使用可疑癌症的临床测试中发现这些病征程的人。

0
下载
关闭预览

相关内容

100+篇《自监督学习(Self-Supervised Learning)》论文最新合集
专知会员服务
167+阅读 · 2020年3月18日
《DeepGCNs: Making GCNs Go as Deep as CNNs》
专知会员服务
32+阅读 · 2019年10月17日
开源书:PyTorch深度学习起步
专知会员服务
51+阅读 · 2019年10月11日
机器学习入门的经验与建议
专知会员服务
94+阅读 · 2019年10月10日
最新BERT相关论文清单,BERT-related Papers
专知会员服务
53+阅读 · 2019年9月29日
计算机 | 入门级EI会议ICVRIS 2019诚邀稿件
Call4Papers
10+阅读 · 2019年6月24日
Transferring Knowledge across Learning Processes
CreateAMind
29+阅读 · 2019年5月18日
CCF A类 | 顶级会议RTSS 2019诚邀稿件
Call4Papers
10+阅读 · 2019年4月17日
Unsupervised Learning via Meta-Learning
CreateAMind
44+阅读 · 2019年1月3日
A Technical Overview of AI & ML in 2018 & Trends for 2019
待字闺中
18+阅读 · 2018年12月24日
人工智能 | 国际会议截稿信息9条
Call4Papers
4+阅读 · 2018年3月13日
【推荐】YOLO实时目标检测(6fps)
机器学习研究会
20+阅读 · 2017年11月5日
Adversarial Variational Bayes: Unifying VAE and GAN 代码
CreateAMind
7+阅读 · 2017年10月4日
【推荐】深度学习目标检测全面综述
机器学习研究会
21+阅读 · 2017年9月13日
Transfer Adaptation Learning: A Decade Survey
Arxiv
37+阅读 · 2019年3月12日
Adversarial Metric Attack for Person Re-identification
Adversarial Transfer Learning
Arxiv
12+阅读 · 2018年12月6日
A Survey on Deep Transfer Learning
Arxiv
11+阅读 · 2018年8月6日
Arxiv
11+阅读 · 2018年7月31日
VIP会员
最新内容
2026“人工智能+”行业发展蓝皮书(附下载)
专知会员服务
6+阅读 · 今天12:11
《强化学习数学基础》
专知会员服务
4+阅读 · 今天12:07
“Maven计划”的发展演变之“Maven智能系统”应用
《无人机革命:来自俄乌战场的启示》(报告)
专知会员服务
9+阅读 · 今天6:48
《实现联合作战能力所需的技术》58页报告
专知会员服务
5+阅读 · 今天6:30
以色列运用人工智能优化空袭警报系统
专知会员服务
5+阅读 · 今天6:20
以色列在多条战线部署AI智能体
专知会员服务
7+阅读 · 今天6:12
相关资讯
计算机 | 入门级EI会议ICVRIS 2019诚邀稿件
Call4Papers
10+阅读 · 2019年6月24日
Transferring Knowledge across Learning Processes
CreateAMind
29+阅读 · 2019年5月18日
CCF A类 | 顶级会议RTSS 2019诚邀稿件
Call4Papers
10+阅读 · 2019年4月17日
Unsupervised Learning via Meta-Learning
CreateAMind
44+阅读 · 2019年1月3日
A Technical Overview of AI & ML in 2018 & Trends for 2019
待字闺中
18+阅读 · 2018年12月24日
人工智能 | 国际会议截稿信息9条
Call4Papers
4+阅读 · 2018年3月13日
【推荐】YOLO实时目标检测(6fps)
机器学习研究会
20+阅读 · 2017年11月5日
Adversarial Variational Bayes: Unifying VAE and GAN 代码
CreateAMind
7+阅读 · 2017年10月4日
【推荐】深度学习目标检测全面综述
机器学习研究会
21+阅读 · 2017年9月13日
Top
微信扫码咨询专知VIP会员