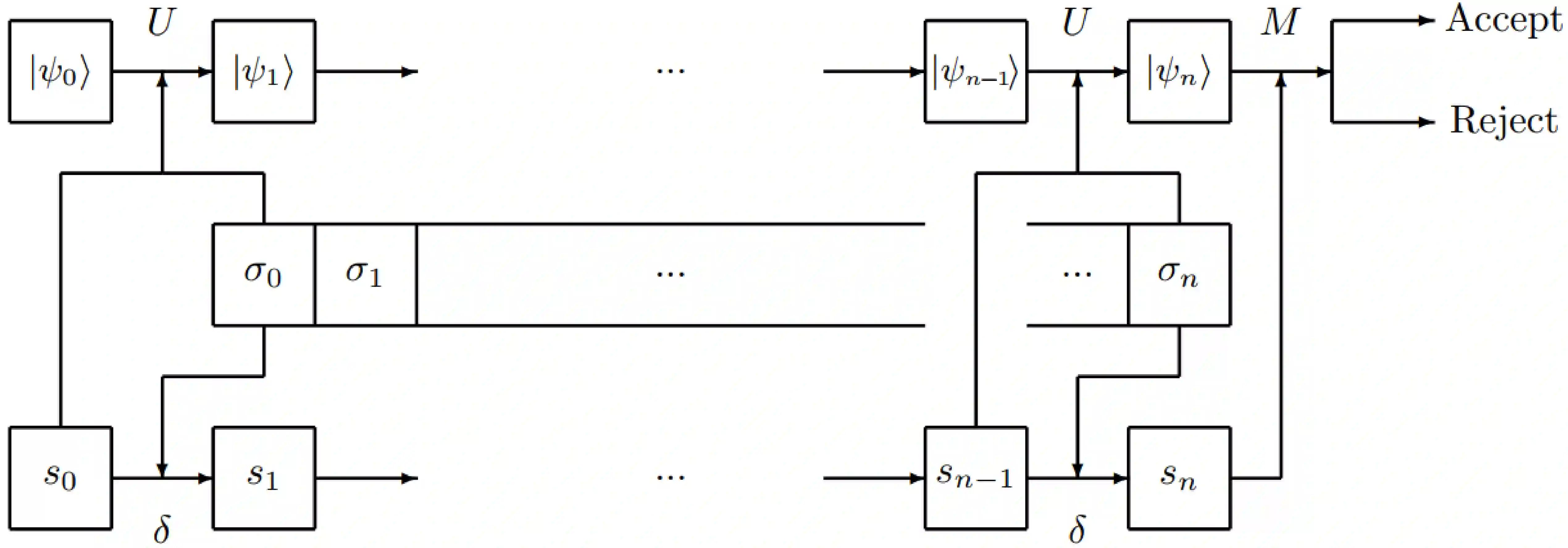
Discrete event systems (DES) have been established and deeply developed in the framework of probabilistic and fuzzy computing models due to the necessity of practical applications in fuzzy and probabilistic systems. With the development of quantum computing and quantum control, a natural problem is to simulate DES by means of quantum computing models and to establish {\it quantum DES} (QDES). The motivation is twofold: on the one hand, QDES have potential applications when DES are simulated and processed by quantum computers, where quantum systems are employed to simulate the evolution of states driven by discrete events, and on the other hand, QDES may have essential advantages over DES concerning state complexity for imitating some practical problems. The goal of this paper is to establish a basic framework of QDES by using {\it quantum finite automata} (QFA) as the modelling formalisms, and the supervisory control theorems of QDES are established and proved. Then we present a polynomial-time algorithm to decide whether or not the controllability condition holds. In particular, we construct a number of new examples of QFA to illustrate the supervisory control of QDES and to verify the essential advantages of QDES over DES in state complexity.


翻译:分解事件系统(DES)是在概率和模糊的计算模型框架内建立和深入开发的,因为需要在模糊和概率系统中应用实际应用。随着量子计算和量子控制的发展,一个自然的问题是通过量子计算模型模拟DES,建立量子量子计算模型,建立DES(QDES),其动机有两个方面:一方面,当量子计算机模拟和处理DES时,QDES具有潜在的应用能力,使用量子系统模拟由离散事件驱动的国家的演变过程,另一方面,QDES可能比DES在模仿一些实际问题方面的国家复杂性具有重要优势。特别是,我们为QDES建立QDES基本框架,使用S(QFA)作为模式形式主义,并确立和证明QDES的监督控制标本。然后,我们提出一个多数值时间算法,以模拟受离散事件驱动的国家的演变情况,从而决定控制状态是否维持。我们为QDES(QDES)设计了一些新的监督性参数,以说明QDES(QDA)的复杂程度进行核查。

0
下载
关闭预览

相关内容

专知会员服务
143+阅读 · 2020年12月3日
Linux导论,Introduction to Linux,96页ppt
专知会员服务
82+阅读 · 2020年7月26日
【MIT深度学习课程】深度序列建模,Deep Sequence Modeling
专知会员服务
78+阅读 · 2020年2月3日
Stabilizing Transformers for Reinforcement Learning
专知会员服务
60+阅读 · 2019年10月17日
强化学习最新教程,17页pdf
专知会员服务
182+阅读 · 2019年10月11日
【哈佛大学商学院课程Fall 2019】机器学习可解释性
专知会员服务
105+阅读 · 2019年10月9日
计算机 | 国际会议信息5条
Call4Papers
3+阅读 · 2019年7月3日
Transferring Knowledge across Learning Processes
CreateAMind
29+阅读 · 2019年5月18日
计算机 | EMNLP 2019等国际会议信息6条
Call4Papers
18+阅读 · 2019年4月26日
逆强化学习-学习人先验的动机
CreateAMind
16+阅读 · 2019年1月18日
强化学习的Unsupervised Meta-Learning
CreateAMind
18+阅读 · 2019年1月7日
Unsupervised Learning via Meta-Learning
CreateAMind
44+阅读 · 2019年1月3日
A Technical Overview of AI & ML in 2018 & Trends for 2019
待字闺中
18+阅读 · 2018年12月24日
计算机类 | 国际会议信息7条
Call4Papers
3+阅读 · 2017年11月17日
【计算机类】期刊专刊/国际会议截稿信息6条
Call4Papers
3+阅读 · 2017年10月13日
【学习】Hierarchical Softmax
机器学习研究会
4+阅读 · 2017年8月6日
Arxiv
0+阅读 · 2021年6月10日
Arxiv
0+阅读 · 2021年6月10日
Arxiv
0+阅读 · 2021年6月8日
Arxiv
0+阅读 · 2021年5月10日
Arxiv
11+阅读 · 2021年2月17日
Arxiv
18+阅读 · 2019年3月28日
Arxiv
6+阅读 · 2018年1月29日
VIP会员
最新内容
美国与以色列如何在攻击伊朗中使用人工智能
专知会员服务
2+阅读 · 今天16:20
《自动化战略情报管控》
专知会员服务
2+阅读 · 今天14:31
得失评估:审视对伊朗战争的轨迹(简报)
专知会员服务
2+阅读 · 今天14:19
【CMU博士论文】迈向可解释机器学习的理论基础
专知会员服务
2+阅读 · 今天12:23
基于数据优化的人机协同与机器人僚机
专知会员服务
6+阅读 · 今天2:08
相关VIP内容
专知会员服务
143+阅读 · 2020年12月3日
Linux导论,Introduction to Linux,96页ppt
专知会员服务
82+阅读 · 2020年7月26日
【MIT深度学习课程】深度序列建模,Deep Sequence Modeling
专知会员服务
78+阅读 · 2020年2月3日
Stabilizing Transformers for Reinforcement Learning
专知会员服务
60+阅读 · 2019年10月17日
强化学习最新教程,17页pdf
专知会员服务
182+阅读 · 2019年10月11日
【哈佛大学商学院课程Fall 2019】机器学习可解释性
专知会员服务
105+阅读 · 2019年10月9日
相关资讯
计算机 | 国际会议信息5条
Call4Papers
3+阅读 · 2019年7月3日
Transferring Knowledge across Learning Processes
CreateAMind
29+阅读 · 2019年5月18日
计算机 | EMNLP 2019等国际会议信息6条
Call4Papers
18+阅读 · 2019年4月26日
逆强化学习-学习人先验的动机
CreateAMind
16+阅读 · 2019年1月18日
强化学习的Unsupervised Meta-Learning
CreateAMind
18+阅读 · 2019年1月7日
Unsupervised Learning via Meta-Learning
CreateAMind
44+阅读 · 2019年1月3日
A Technical Overview of AI & ML in 2018 & Trends for 2019
待字闺中
18+阅读 · 2018年12月24日
计算机类 | 国际会议信息7条
Call4Papers
3+阅读 · 2017年11月17日
【计算机类】期刊专刊/国际会议截稿信息6条
Call4Papers
3+阅读 · 2017年10月13日
【学习】Hierarchical Softmax
机器学习研究会
4+阅读 · 2017年8月6日
Top
微信扫码咨询专知VIP会员