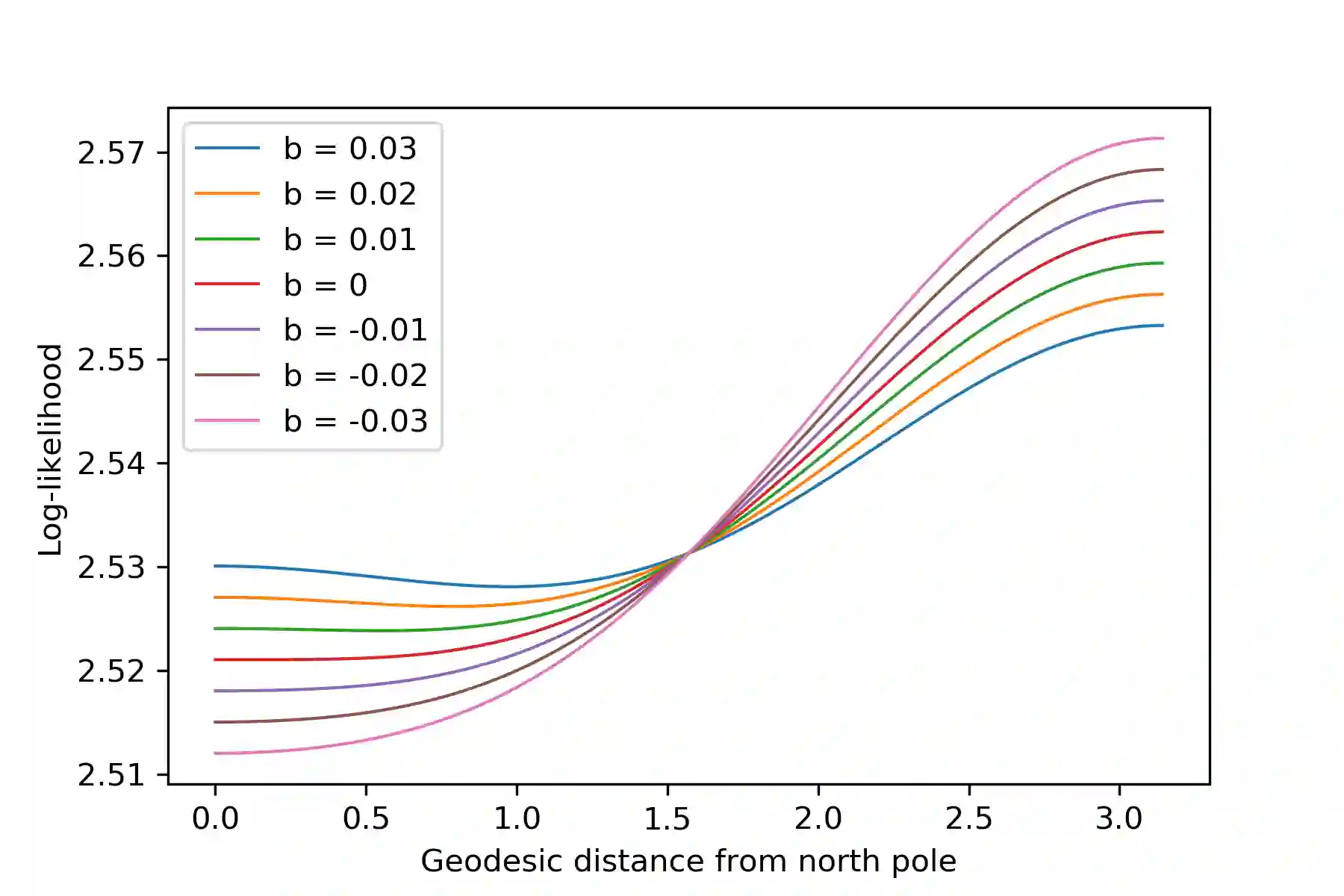
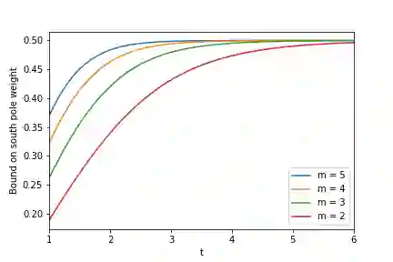
We introduce a location statistic for distributions on non-linear geometric spaces, the diffusion mean, serving both as an extension of and an alternative to the Fr\'echet mean. The diffusion mean arises as the generalization of Gaussian maximum likelihood analysis to non-linear spaces by maximizing the likelihood of a Brownian motion. The diffusion mean depends on a time parameter $t$, which admits the interpretation of the allowed variance of the mean. The diffusion $t$-mean of a distribution $X$ is the most likely origin of a Brownian motion at time $t$, given the end-point distribution $X$. We give a detailed description of the asymptotic behavior of the diffusion estimator and provide sufficient conditions for the diffusion estimator to be strongly consistent. Furthermore, we present a smeary central limit theorem for diffusion means and investigate properties of the diffusion mean for distributions on the sphere $\mathcal{S}^n$. Experimentally, we consider simulated data and data from magnetic pole reversals, all indicating similar or improved convergence rate compared to the Fr\'echet mean. Here, we additionally estimate $t$ and consider its effects on smeariness and uniqueness of the diffusion mean for distributions on the sphere.


翻译:我们引入了非线性几何空间分布的位置统计, 即扩散平均值, 既作为Fr\'echet值的延伸, 也作为Fr\'echet值的替代物。 扩散平均值是: 通过尽可能扩大布朗运动的可能性, 将高萨的最大可能性分析推广到非线性空间。 扩散平均值取决于一个时间参数$t美元, 承认对允许平均值差异的解释。 分发美元的平均比例是布朗运动最有可能的起源, 时间为$t, 最终点分布为$X美元。 我们详细描述扩散估计值的无约束性行为, 并为传播估计值的高度一致提供了充分的条件。 此外, 我们提出了一个用于传播手段的偏差中心限制, 并调查球传播平均值的传播值 $\ mathcal{S ⁇ n. $. 。 实验性, 我们考虑磁极逆转的模拟数据和数据, 所有这些都表明与Fr\\'echevility 和平均扩散率的类似或改进的趋同率。

0
下载
关闭预览

相关内容

【图神经网络导论】Intro to Graph Neural Networks,176页ppt
专知会员服务
129+阅读 · 2021年6月4日
【图与几何深度学习】Graph and geometric deep learning,49页ppt
专知会员服务
42+阅读 · 2021年4月2日
Linux导论,Introduction to Linux,96页ppt
专知会员服务
82+阅读 · 2020年7月26日
Fariz Darari简明《博弈论Game Theory》介绍,35页ppt
专知会员服务
112+阅读 · 2020年5月15日
图神经网络库PyTorch geometric
图与推荐
17+阅读 · 2020年3月22日
PyTorch & PyTorch Geometric图神经网络(GNN)实战
专知
81+阅读 · 2019年6月1日
Transferring Knowledge across Learning Processes
CreateAMind
29+阅读 · 2019年5月18日
TCN v2 + 3Dconv 运动信息
CreateAMind
4+阅读 · 2019年1月8日
Ray RLlib: Scalable 降龙十八掌
CreateAMind
9+阅读 · 2018年12月28日
计算机类 | LICS 2019等国际会议信息7条
Call4Papers
3+阅读 · 2018年12月17日
Disentangled的假设的探讨
CreateAMind
9+阅读 · 2018年12月10日
vae 相关论文 表示学习 1
CreateAMind
12+阅读 · 2018年9月6日
【学习】Hierarchical Softmax
机器学习研究会
4+阅读 · 2017年8月6日
Auto-Encoding GAN
CreateAMind
7+阅读 · 2017年8月4日
Arxiv
0+阅读 · 2021年7月15日
Arxiv
0+阅读 · 2021年7月15日
Implicit Maximum Likelihood Estimation
Arxiv
7+阅读 · 2018年9月24日
VIP会员
最新内容
《系统簇式多域作战规划范畴论框架》
专知会员服务
2+阅读 · 今天14:54
高效视频扩散模型:进展与挑战
专知会员服务
0+阅读 · 今天13:34
乌克兰前线的五项创新
专知会员服务
6+阅读 · 今天6:14
 军事通信系统与设备的技术演进综述
专知会员服务
4+阅读 · 今天5:59
《北约标准:医疗评估手册》174页
专知会员服务
4+阅读 · 今天5:51
《提升生成模型的安全性与保障》博士论文
专知会员服务
4+阅读 · 今天5:47
美国当前高超音速导弹发展概述
专知会员服务
4+阅读 · 4月19日
无人机蜂群建模与仿真方法
专知会员服务
13+阅读 · 4月19日
相关资讯
图神经网络库PyTorch geometric
图与推荐
17+阅读 · 2020年3月22日
PyTorch & PyTorch Geometric图神经网络(GNN)实战
专知
81+阅读 · 2019年6月1日
Transferring Knowledge across Learning Processes
CreateAMind
29+阅读 · 2019年5月18日
TCN v2 + 3Dconv 运动信息
CreateAMind
4+阅读 · 2019年1月8日
Ray RLlib: Scalable 降龙十八掌
CreateAMind
9+阅读 · 2018年12月28日
计算机类 | LICS 2019等国际会议信息7条
Call4Papers
3+阅读 · 2018年12月17日
Disentangled的假设的探讨
CreateAMind
9+阅读 · 2018年12月10日
vae 相关论文 表示学习 1
CreateAMind
12+阅读 · 2018年9月6日
【学习】Hierarchical Softmax
机器学习研究会
4+阅读 · 2017年8月6日
Auto-Encoding GAN
CreateAMind
7+阅读 · 2017年8月4日
Top
微信扫码咨询专知VIP会员