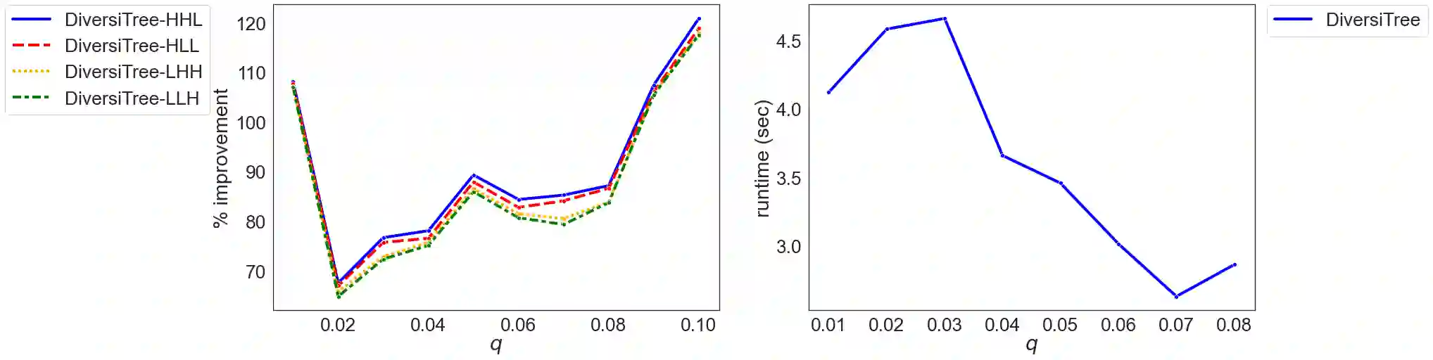
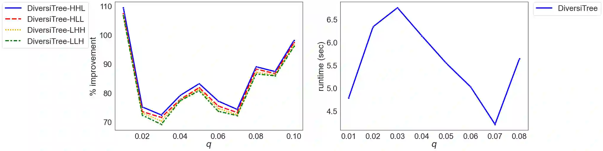
While most methods for solving mixed-integer optimization problems compute a single optimal solution, a diverse set of near-optimal solutions can often lead to improved outcomes. We present a new method for finding a set of diverse solutions by emphasizing diversity within the search for near-optimal solutions. Specifically, within a branch-and-bound framework, we investigated parameterized node selection rules that explicitly consider diversity. Our results indicate that our approach significantly increases the diversity of the final solution set. When compared with two existing methods, our method runs with similar runtime as regular node selection methods and gives a diversity improvement between 12% and 190%. In contrast, popular node selection rules, such as best-first search, in some instances performed worse than state-of-the-art methods by more than 35% and gave an improvement of no more than 130%. Further, we find that our method is most effective when diversity in node selection is continuously emphasized after reaching a minimal depth in the tree and when the solution set has grown sufficiently large. Our method can be easily incorporated into integer programming solvers and has the potential to significantly increase the diversity of solution sets.


翻译:虽然解决混合整数优化问题的大多数方法都计算出一种单一的最佳解决办法,但一套多样化的近乎最佳的解决方案往往会导致更好的结果。 我们提出了一个新方法,通过在寻找近于最佳的解决办法时强调多样性来寻找一套不同的解决方案。 具体地说,在分支和约束的框架内,我们调查了明确考虑多样性的参数化节点选择规则。 我们的结果表明,我们的方法大大增加了最终解决办法的多样性。 与两种现有方法相比,我们的方法运行的时间与常规节点选择方法相似,使多样性在12%至190 % 之间得到改进。 相比之下,流行节点选择规则,例如最佳第一搜索,在某些情况下比最新方法差35%以上,改进不到130 %。 此外,我们发现,当节点选择的多样性在树上达到最低限度的深度之后,当解决方案已经发展得足够大时,我们的方法最为有效。 我们的方法可以很容易地融入整数编程方案解决器,并有可能大大增加解决方案的多样化。

0
下载
关闭预览

相关内容

不可错过!《机器学习100讲》课程,UBC Mark Schmidt讲授
专知会员服务
76+阅读 · 2022年6月28日
Linux导论,Introduction to Linux,96页ppt
专知会员服务
82+阅读 · 2020年7月26日
机器学习入门的经验与建议
专知会员服务
94+阅读 · 2019年10月10日
【SIGGRAPH2019】TensorFlow 2.0深度学习计算机图形学应用
专知会员服务
41+阅读 · 2019年10月9日
征稿 | International Joint Conference on Knowledge Graphs (IJCKG)
开放知识图谱
2+阅读 · 2022年5月20日
强化学习三篇论文 避免遗忘等
CreateAMind
20+阅读 · 2019年5月24日
Hierarchically Structured Meta-learning
CreateAMind
27+阅读 · 2019年5月22日
Transferring Knowledge across Learning Processes
CreateAMind
29+阅读 · 2019年5月18日
Unsupervised Learning via Meta-Learning
CreateAMind
44+阅读 · 2019年1月3日
A Technical Overview of AI & ML in 2018 & Trends for 2019
待字闺中
18+阅读 · 2018年12月24日
LibRec 精选:推荐系统的论文与源码
LibRec智能推荐
14+阅读 · 2018年11月29日
【论文】变分推断(Variational inference)的总结
机器学习研究会
39+阅读 · 2017年11月16日
【推荐】YOLO实时目标检测(6fps)
机器学习研究会
20+阅读 · 2017年11月5日
【推荐】RNN/LSTM时序预测
机器学习研究会
25+阅读 · 2017年9月8日
国家自然科学基金
0+阅读 · 2015年12月31日
国家自然科学基金
1+阅读 · 2014年12月31日
国家自然科学基金
0+阅读 · 2012年12月31日
国家自然科学基金
0+阅读 · 2012年12月31日
国家自然科学基金
0+阅读 · 2012年12月31日
Arxiv
0+阅读 · 2023年3月21日
VIP会员
最新内容
高效视频扩散模型:进展与挑战
专知会员服务
0+阅读 · 27分钟前
乌克兰前线的五项创新
专知会员服务
3+阅读 · 今天6:14
 军事通信系统与设备的技术演进综述
专知会员服务
2+阅读 · 今天5:59
《北约标准:医疗评估手册》174页
专知会员服务
3+阅读 · 今天5:51
《提升生成模型的安全性与保障》博士论文
专知会员服务
3+阅读 · 今天5:47
美国当前高超音速导弹发展概述
专知会员服务
4+阅读 · 4月19日
无人机蜂群建模与仿真方法
专知会员服务
11+阅读 · 4月19日
澳大利亚发布《国防战略(2026年)》
专知会员服务
6+阅读 · 4月19日
相关资讯
征稿 | International Joint Conference on Knowledge Graphs (IJCKG)
开放知识图谱
2+阅读 · 2022年5月20日
强化学习三篇论文 避免遗忘等
CreateAMind
20+阅读 · 2019年5月24日
Hierarchically Structured Meta-learning
CreateAMind
27+阅读 · 2019年5月22日
Transferring Knowledge across Learning Processes
CreateAMind
29+阅读 · 2019年5月18日
Unsupervised Learning via Meta-Learning
CreateAMind
44+阅读 · 2019年1月3日
A Technical Overview of AI & ML in 2018 & Trends for 2019
待字闺中
18+阅读 · 2018年12月24日
LibRec 精选:推荐系统的论文与源码
LibRec智能推荐
14+阅读 · 2018年11月29日
【论文】变分推断(Variational inference)的总结
机器学习研究会
39+阅读 · 2017年11月16日
【推荐】YOLO实时目标检测(6fps)
机器学习研究会
20+阅读 · 2017年11月5日
【推荐】RNN/LSTM时序预测
机器学习研究会
25+阅读 · 2017年9月8日
相关基金
国家自然科学基金
0+阅读 · 2015年12月31日
国家自然科学基金
1+阅读 · 2014年12月31日
国家自然科学基金
0+阅读 · 2012年12月31日
国家自然科学基金
0+阅读 · 2012年12月31日
国家自然科学基金
0+阅读 · 2012年12月31日
Top
微信扫码咨询专知VIP会员