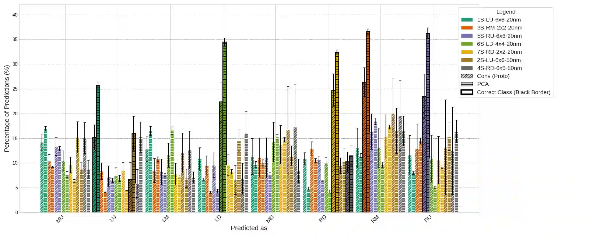
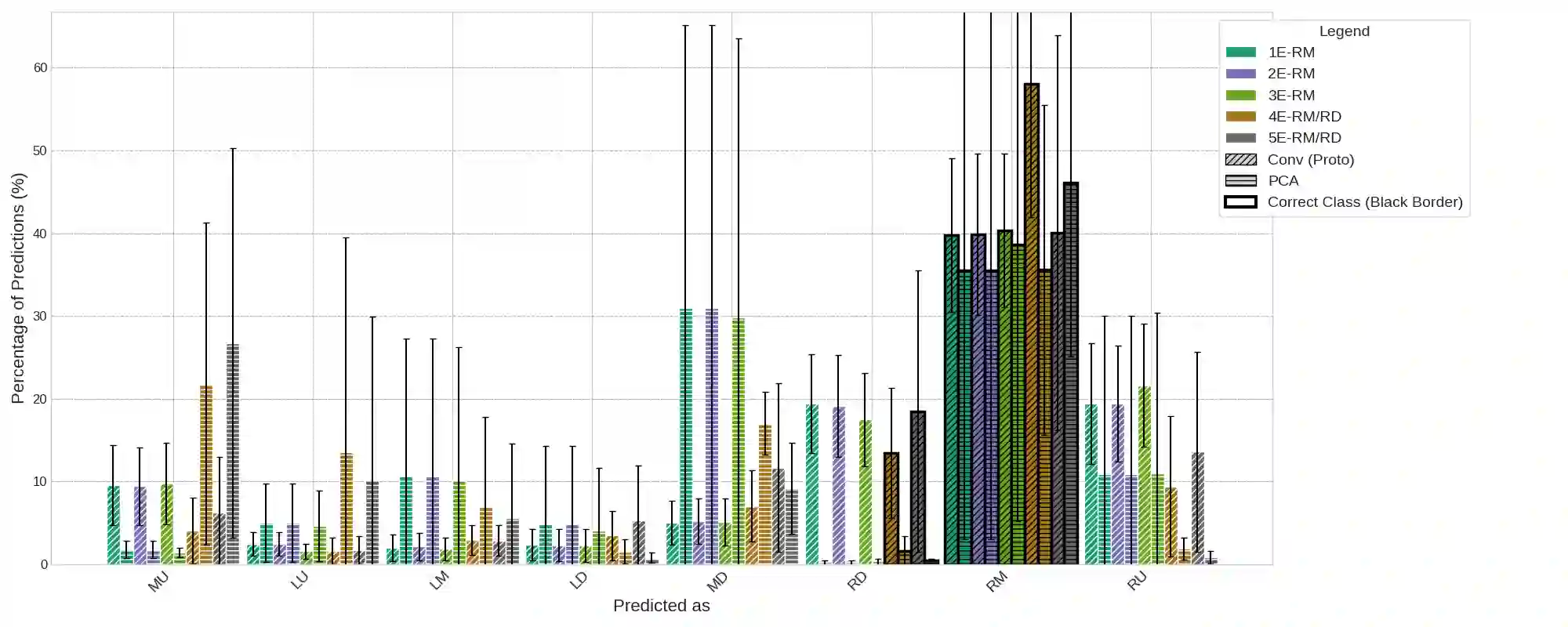
Four-dimensional scanning transmission electron microscopy (4D-STEM) provides rich, atomic-scale insights into materials structures. However, extracting specific physical properties - such as polarization directions essential for understanding functional properties of ferroelectrics - remains a significant challenge. In this study, we systematically benchmark multiple machine learning models, namely ResNet, VGG, a custom convolutional neural network, and PCA-informed k-Nearest Neighbors, to automate the detection of polarization directions from 4D-STEM diffraction patterns in ferroelectric potassium sodium niobate. While models trained on synthetic data achieve high accuracy on idealized synthetic diffraction patterns of equivalent thickness, the domain gap between simulation and experiment remains a critical barrier to real-world deployment. In this context, a custom made prototype representation training regime and PCA-based methods, combined with data augmentation and filtering, can better bridge this gap. Error analysis reveals periodic missclassification patterns, indicating that not all diffraction patterns carry enough information for a successful classification. Additionally, our qualitative analysis demonstrates that irregularities in the model's prediction patterns correlate with defects in the crystal structure, suggesting that supervised models could be used for detecting structural defects. These findings guide the development of robust, transferable machine learning tools for electron microscopy analysis.


翻译:四维扫描透射电子显微镜(4D-STEM)为材料结构提供了丰富的原子尺度信息。然而,从中提取特定的物理性质——例如理解铁电体功能特性所必需的极化方向——仍然是一个重大挑战。本研究系统性地对多种机器学习模型(包括ResNet、VGG、定制卷积神经网络以及基于主成分分析的k近邻算法)进行基准测试,旨在实现从铁电体铌酸钾钠的4D-STEM衍射图谱中自动检测极化方向。尽管基于合成数据训练的模型在等效厚度的理想合成衍射图谱上取得了高准确率,但仿真与实验之间的领域差距仍然是实际应用的关键障碍。在此背景下,定制的原型表征训练方案与基于主成分分析的方法,结合数据增强与滤波技术,能够更好地弥合这一差距。误差分析揭示了周期性的误分类模式,表明并非所有衍射图谱都携带足够信息以完成成功分类。此外,我们的定性分析表明,模型预测模式中的不规则性与晶体结构缺陷相关,这提示监督学习模型可用于检测结构缺陷。这些发现为开发鲁棒、可迁移的电子显微镜分析机器学习工具提供了指导。

0
下载
关闭预览

相关内容

《利用深度学习进行目标姿态估计》2023最新63页论文
专知会员服务
47+阅读 · 2023年8月29日
【Cell】可扩展深度图神经网络的高性能材料性能预测
专知会员服务
18+阅读 · 2022年5月4日
专知会员服务
38+阅读 · 2021年8月27日
深度学习目标检测算法综述
AI研习社
25+阅读 · 2019年2月1日
强化学习的Unsupervised Meta-Learning
CreateAMind
18+阅读 · 2019年1月7日
国家自然科学基金
0+阅读 · 2015年12月31日
国家自然科学基金
0+阅读 · 2015年12月31日
国家自然科学基金
0+阅读 · 2015年12月31日
国家自然科学基金
0+阅读 · 2015年12月31日
国家自然科学基金
13+阅读 · 2014年12月31日
国家自然科学基金
0+阅读 · 2014年12月31日
国家自然科学基金
0+阅读 · 2014年12月31日
VIP会员
最新内容
战略前沿人工智能的再思考(中文)
专知会员服务
4+阅读 · 5月29日
《量化地基防空系统间接效应的博弈论方法》
专知会员服务
4+阅读 · 5月29日
“史诗怒火行动”中美军损失的作战飞机
专知会员服务
4+阅读 · 5月29日
ICML 2026 | 理解上下文持续学习中的泛化与遗忘
专知会员服务
5+阅读 · 5月28日
Agent Harness综述:大模型智能体执行器工程全景
专知会员服务
14+阅读 · 5月28日
《基于理论的威慑效能评估》
专知会员服务
8+阅读 · 5月28日
相关VIP内容
《利用深度学习进行目标姿态估计》2023最新63页论文
专知会员服务
47+阅读 · 2023年8月29日
【Cell】可扩展深度图神经网络的高性能材料性能预测
专知会员服务
18+阅读 · 2022年5月4日
专知会员服务
38+阅读 · 2021年8月27日
相关基金
国家自然科学基金
0+阅读 · 2015年12月31日
国家自然科学基金
0+阅读 · 2015年12月31日
国家自然科学基金
0+阅读 · 2015年12月31日
国家自然科学基金
0+阅读 · 2015年12月31日
国家自然科学基金
13+阅读 · 2014年12月31日
国家自然科学基金
0+阅读 · 2014年12月31日
国家自然科学基金
0+阅读 · 2014年12月31日
Top
微信扫码咨询专知VIP会员