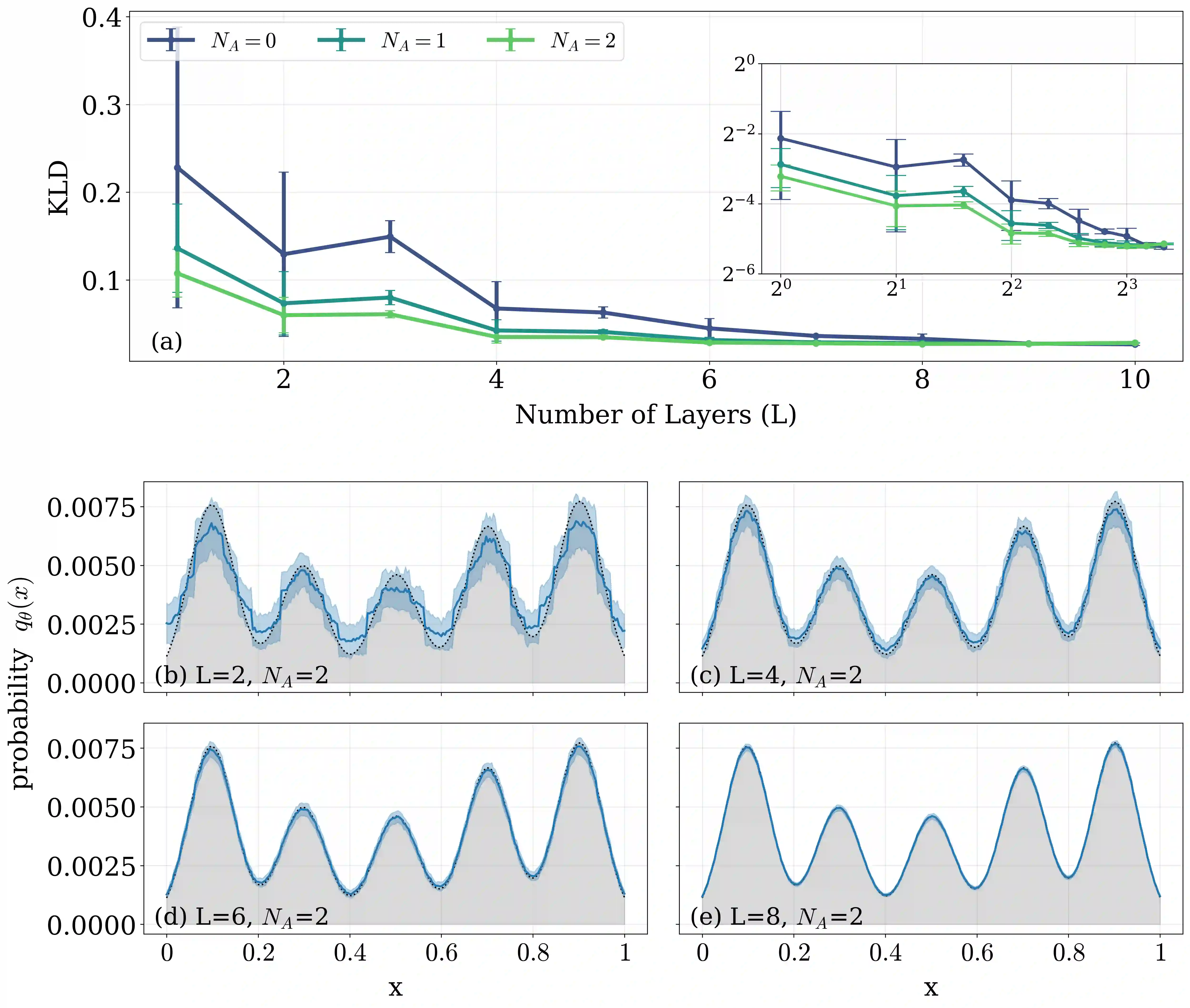
Quantum generative modeling, where the Born rule naturally defines probability distributions through measurement of parameterized quantum states, is a promising near-term application of quantum computing. We propose a Quantum Scrambling Born Machine in which a fixed entangling unitary -- acting as a scrambling reservoir -- provides multi-qubit entanglement, while only single-qubit rotations are optimized. We consider three entangling unitaries -- a Haar random unitary and two physically realizable approximations, a finite-depth brickwork random circuit and analog time evolution under nearest-neighbor spin-chain Hamiltonians -- and show that, for the benchmark distributions and system sizes considered, once the entangler produces near-Haar-typical entanglement the model learns the target distribution with weak sensitivity to the scrambler's microscopic origin. Finally, promoting the Hamiltonian couplings to trainable parameters casts the generative task as a variational Hamiltonian problem, with performance competitive with representative classical generative models at matched parameter count.


翻译:量子生成建模通过测量参数化量子态,自然地利用玻尔规则定义概率分布,是量子计算近期一个有前景的应用方向。我们提出一种量子置乱玻恩机,其中固定的纠缠幺正算符——作为置乱库——提供多量子比特纠缠,而仅优化单量子比特旋转操作。我们考虑了三种纠缠幺正算符:哈尔随机幺正算符和两种物理可实现的近似方案——有限深度的砖墙式随机电路以及最近邻自旋链哈密顿量下的模拟时间演化,并证明对于所考虑的基准分布和系统规模,一旦纠缠器产生接近哈尔典型的纠缠,该模型就能学习目标分布,且对置乱器微观起源的敏感性较弱。最后,将哈密顿量耦合系数提升为可训练参数,可将生成任务转化为变分哈密顿问题,其在参数数量匹配的情况下,性能可与代表性的经典生成模型相竞争。

0
下载
关闭预览

相关内容

《基于量子计算的问题优化》最新40页报告
专知会员服务
16+阅读 · 2月20日
【2022新书】给工程师的量子机器学习简介,204页pdf
专知会员服务
55+阅读 · 2022年5月22日
专知会员服务
37+阅读 · 2021年9月12日
变分自编码器VAE:一步到位的聚类方案
PaperWeekly
25+阅读 · 2018年9月18日
【收藏】支持向量机原理详解+案例+代码!【点击阅读原文下载】
机器学习算法与Python学习
10+阅读 · 2018年9月13日
NLG ≠ 机器写作 | 专家专栏
量子位
13+阅读 · 2018年9月10日
国家自然科学基金
1+阅读 · 2017年12月31日
国家自然科学基金
0+阅读 · 2015年12月31日
国家自然科学基金
0+阅读 · 2015年12月31日
国家自然科学基金
0+阅读 · 2015年12月31日
国家自然科学基金
0+阅读 · 2014年12月31日
国家自然科学基金
1+阅读 · 2014年12月31日
国家自然科学基金
0+阅读 · 2014年12月31日
国家自然科学基金
0+阅读 · 2014年12月31日
Arxiv
0+阅读 · 2月26日
Arxiv
0+阅读 · 2月19日
Arxiv
0+阅读 · 2月16日
Arxiv
0+阅读 · 2月11日
VIP会员
最新内容
(译文)认知战:以士兵为目标,塑造战略
专知会员服务
2+阅读 · 今天3:12
(中文)认知战的本体论基础(2026报告)
专知会员服务
18+阅读 · 今天1:45
美空军条令(2026):外国对内防御
专知会员服务
3+阅读 · 今天1:32
美国与以色列如何在攻击伊朗中使用人工智能
专知会员服务
7+阅读 · 4月16日
《自动化战略情报管控》
专知会员服务
3+阅读 · 4月16日
得失评估:审视对伊朗战争的轨迹(简报)
专知会员服务
3+阅读 · 4月16日
【CMU博士论文】迈向可解释机器学习的理论基础
相关基金
国家自然科学基金
1+阅读 · 2017年12月31日
国家自然科学基金
0+阅读 · 2015年12月31日
国家自然科学基金
0+阅读 · 2015年12月31日
国家自然科学基金
0+阅读 · 2015年12月31日
国家自然科学基金
0+阅读 · 2014年12月31日
国家自然科学基金
1+阅读 · 2014年12月31日
国家自然科学基金
0+阅读 · 2014年12月31日
国家自然科学基金
0+阅读 · 2014年12月31日
Top
微信扫码咨询专知VIP会员