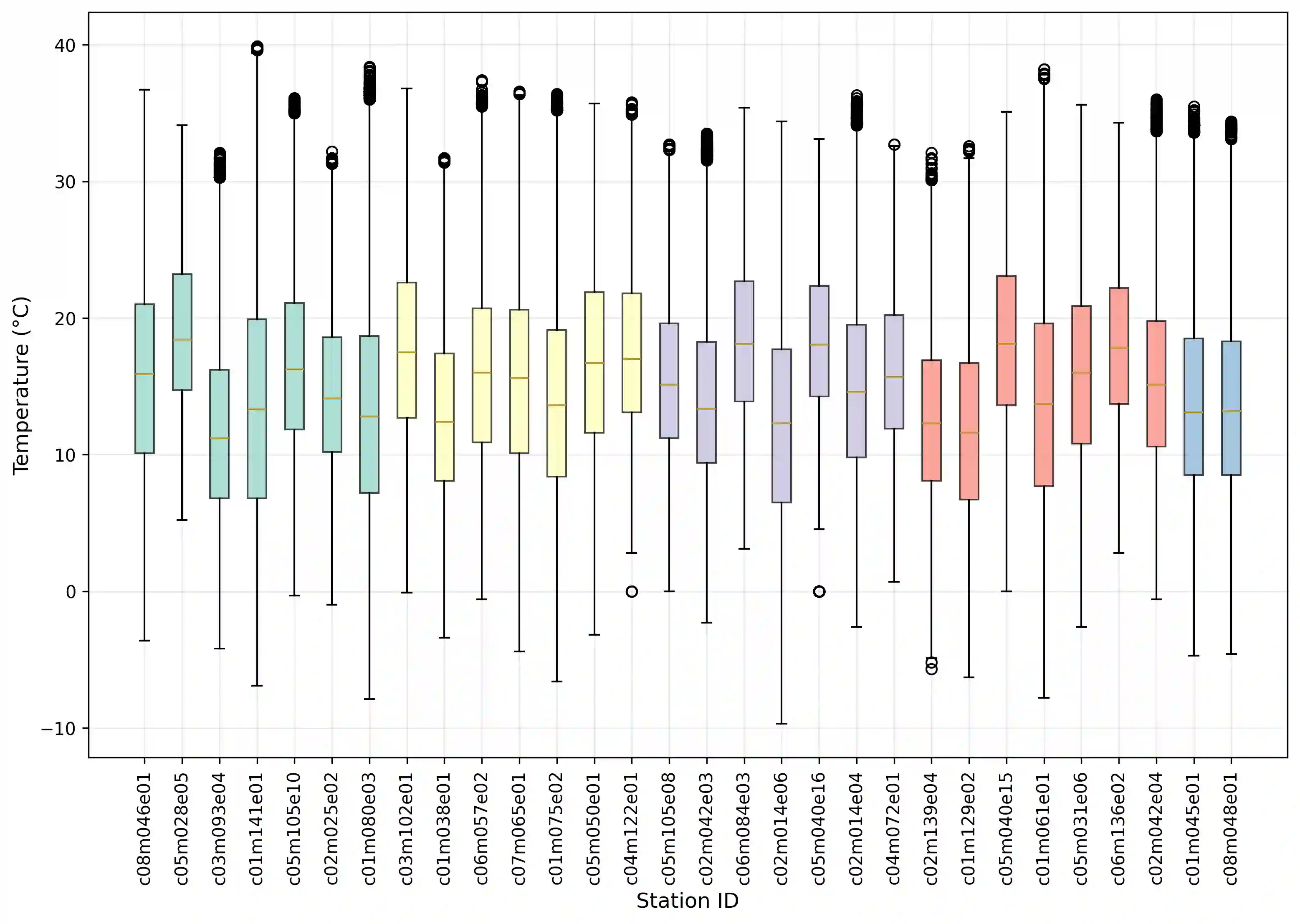
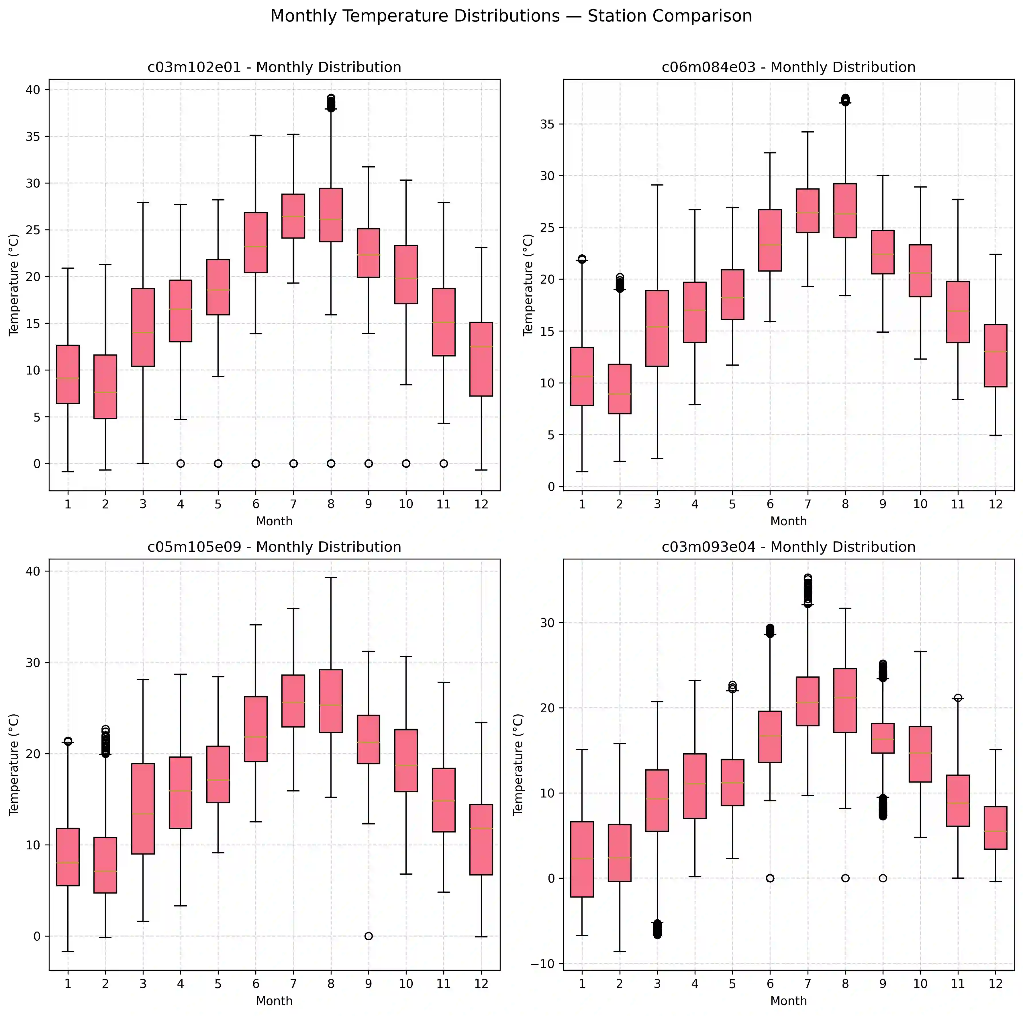
The rapid deployment of Internet of Things (IoT) devices has led to large-scale sensor networks that monitor environmental and urban phenomena in real time. Communities of Interest (CoIs) provide a promising paradigm for organising heterogeneous IoT sensor networks by grouping devices with similar operational and environmental characteristics. This work presents an anomaly detection framework based on the CoI paradigm by grouping sensors into communities using a fused similarity matrix that incorporates temporal correlations via Spearman coefficients, spatial proximity using Gaussian distance decay, and elevation similarities. For each community, representative stations based on the best silhouette are selected and three autoencoder architectures (BiLSTM, LSTM, and MLP) are trained using Bayesian hyperparameter optimization with expanding window cross-validation and tested on stations from the same cluster and the best representative stations of other clusters. The models are trained on normal temperature patterns of the data and anomalies are detected through reconstruction error analysis. Experimental results show a robust within-community performance across the evaluated configurations, while variations across communities are observed. Overall, the results support the applicability of community-based model sharing in reducing computational overhead and to analyse model generalisability across IoT sensor networks.


翻译:物联网设备的快速部署催生了大规模传感器网络,这些网络可实时监测环境与城市现象。兴趣社区为组织异构物联网传感器网络提供了一种前景广阔的模式,通过将具有相似运行与环境特征的设备分组来实现。本研究提出了一种基于兴趣社区范式的异常检测框架,通过融合相似度矩阵将传感器分组为社区,该矩阵整合了基于斯皮尔曼系数的时间相关性、基于高斯距离衰减的空间邻近性以及高程相似性。针对每个社区,基于最佳轮廓系数选取代表性站点,并采用三种自编码器架构(BiLSTM、LSTM和MLP),通过贝叶斯超参数优化与扩展窗口交叉验证进行训练,随后在同一簇内站点及其他簇的最佳代表性站点上进行测试。模型基于数据的正常温度模式进行训练,并通过重构误差分析实现异常检测。实验结果表明,在评估的配置中,模型在社区内部表现出稳健的性能,而跨社区性能则存在差异。总体而言,研究结果支持基于社区的模型共享在降低计算开销方面的适用性,并为分析物联网传感器网络的模型泛化能力提供了依据。

0
下载
关闭预览

相关内容

「工业物联网异常检测技术」最新2022研究综述
专知会员服务
64+阅读 · 2022年5月3日
监控视频的异常检测与建模综述
专知会员服务
50+阅读 · 2021年12月27日
麦克瑞大学最新「深度学习社区检测」综述论文,28页pdf
异常检测(Anomaly Detection)综述
极市平台
20+阅读 · 2020年10月24日
异常检测论文大列表:方法、应用、综述
专知
126+阅读 · 2019年7月15日
边缘计算应用:传感数据异常实时检测算法
计算机研究与发展
11+阅读 · 2018年4月10日
侦测欺诈交易(异常点检测)
GBASE数据工程部数据团队
20+阅读 · 2017年5月10日
国家自然科学基金
0+阅读 · 2017年12月31日
国家自然科学基金
1+阅读 · 2015年12月31日
国家自然科学基金
0+阅读 · 2015年12月31日
国家自然科学基金
4+阅读 · 2015年12月31日
国家自然科学基金
0+阅读 · 2015年12月31日
国家自然科学基金
0+阅读 · 2015年12月31日
国家自然科学基金
4+阅读 · 2015年12月31日
国家自然科学基金
0+阅读 · 2015年12月31日
国家自然科学基金
4+阅读 · 2014年12月31日
Arxiv
1+阅读 · 1月28日
VIP会员
最新内容
《美陆军条例:陆军指挥政策(2026版)》
专知会员服务
8+阅读 · 今天8:10
《军用自主人工智能系统的治理与安全》
专知会员服务
5+阅读 · 今天8:02
《系统簇式多域作战规划范畴论框架》
专知会员服务
9+阅读 · 4月20日
高效视频扩散模型:进展与挑战
专知会员服务
5+阅读 · 4月20日
乌克兰前线的五项创新
专知会员服务
8+阅读 · 4月20日
 军事通信系统与设备的技术演进综述
专知会员服务
7+阅读 · 4月20日
《北约标准:医疗评估手册》174页
专知会员服务
6+阅读 · 4月20日
相关VIP内容
相关资讯
异常检测(Anomaly Detection)综述
极市平台
20+阅读 · 2020年10月24日
异常检测论文大列表:方法、应用、综述
专知
126+阅读 · 2019年7月15日
边缘计算应用:传感数据异常实时检测算法
计算机研究与发展
11+阅读 · 2018年4月10日
侦测欺诈交易(异常点检测)
GBASE数据工程部数据团队
20+阅读 · 2017年5月10日
相关基金
国家自然科学基金
0+阅读 · 2017年12月31日
国家自然科学基金
1+阅读 · 2015年12月31日
国家自然科学基金
0+阅读 · 2015年12月31日
国家自然科学基金
4+阅读 · 2015年12月31日
国家自然科学基金
0+阅读 · 2015年12月31日
国家自然科学基金
0+阅读 · 2015年12月31日
国家自然科学基金
4+阅读 · 2015年12月31日
国家自然科学基金
0+阅读 · 2015年12月31日
国家自然科学基金
4+阅读 · 2014年12月31日
Top
微信扫码咨询专知VIP会员