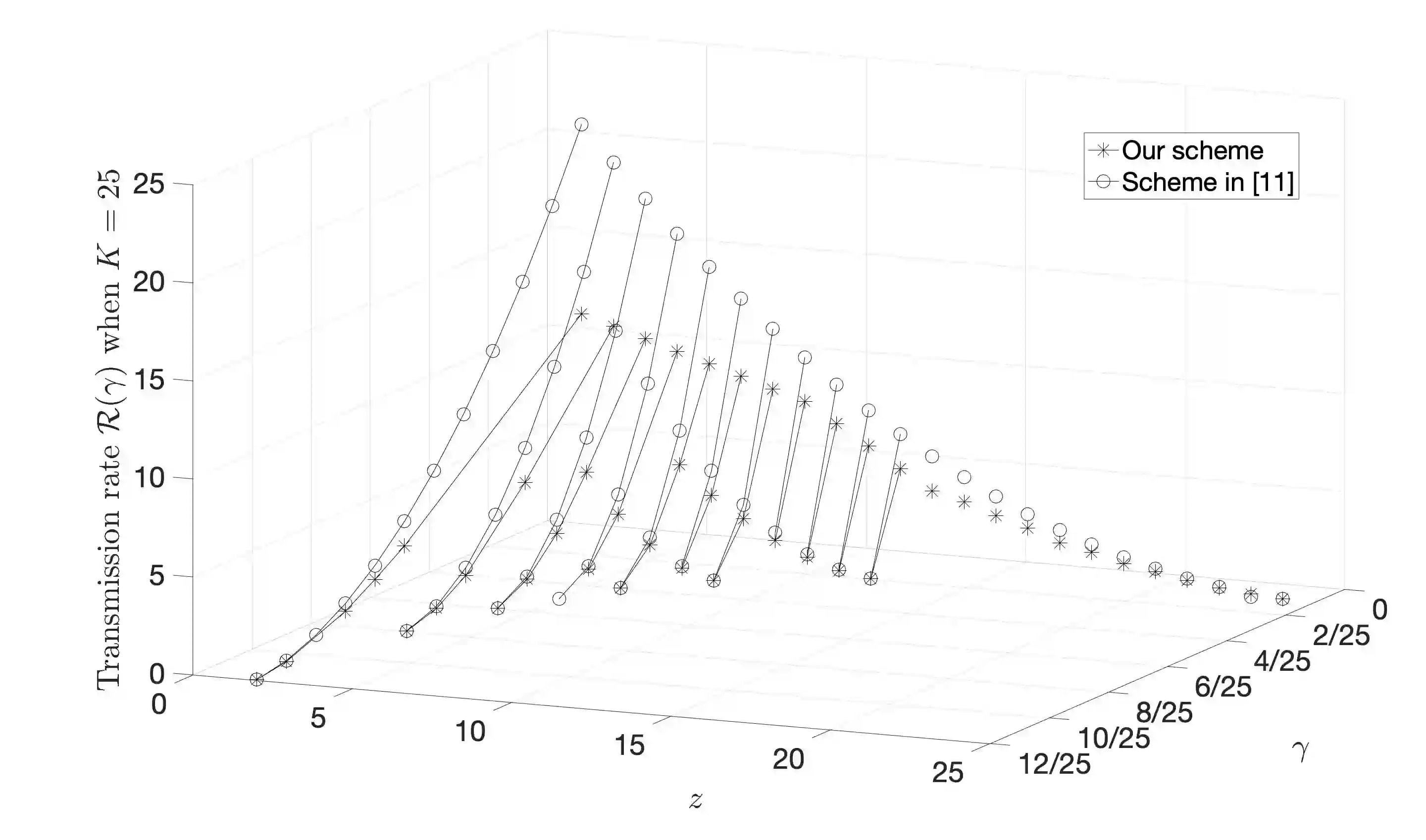
In this work, we consider a slight variant of well known coded caching problem, referred as multi-access coded caching problem, where each user has access to $z$ neighboring caches in a cyclic wrap-around way. We present a placement and delivery scheme for this problem, under the restriction of uncoded placement. Our work is a generalization of one of the cases considered in "Multi-access coded caching : gains beyond cache-redundancy" by B. Serbetci, E. Parrinello and P. Elia. To be precise, when our scheme is specialized to $z=\frac{K-1}{K \gamma }$, for any $K \gamma$, where $K$ is the number of users and $\gamma $ is the normalized cache size, we show that our result coincides with their result. We show that for the cases considered in this work, our scheme outperforms the scheme proposed in "Rate-memory trade-off for multi-access coded caching with uncoded placement" by K. S. Reddy and N. Karamchandani, except for some special cases considered in that paper. We also show that for $z= K-1$, our scheme achieves the optimal transmission rate.


翻译:在这项工作中,我们考虑的是众所周知的编码缓存问题的一个微小变体,称为多存码缓存问题,即每个用户都可以以循环包装方式获取近邻缓存的美元。我们提出这一问题的安置和交付计划,不受编码放置的限制。我们的工作是对B.Serbetci、E.Parrinello和P.Elia的“多存码缓存:超过缓存冗余的收益”中考虑的一个案例的概括化。确切地说,当我们的计划是专门为任何K\zäfrac{K-1 ⁇ K\gamma美元($)而专门为任何K$\gamma$($是用户人数,$\gamma美元是标准缓存规模。我们的工作是将我们的结果与这些案例的结果一致。我们的方案比“多存码缓存的多存的编码缓存的Rate-mory交易”中提议的计划要优于K.Reddy和N.

0
下载
关闭预览

相关内容

CASES:International Conference on Compilers, Architectures, and Synthesis for Embedded Systems。 Explanation:嵌入式系统编译器、体系结构和综合国际会议。 Publisher:ACM。 SIT: http://dblp.uni-trier.de/db/conf/cases/index.html
Python编程基础,121页ppt
专知会员服务
49+阅读 · 2021年1月1日
【Google】平滑对抗训练,Smooth Adversarial Training
专知会员服务
49+阅读 · 2020年7月4日
专知会员服务
162+阅读 · 2020年1月16日
《DeepGCNs: Making GCNs Go as Deep as CNNs》
专知会员服务
32+阅读 · 2019年10月17日
Keras François Chollet 《Deep Learning with Python 》, 386页pdf
专知会员服务
164+阅读 · 2019年10月12日
【新书】Python编程基础,669页pdf
专知会员服务
197+阅读 · 2019年10月10日
Hierarchically Structured Meta-learning
CreateAMind
27+阅读 · 2019年5月22日
Call for Participation: Shared Tasks in NLPCC 2019
中国计算机学会
5+阅读 · 2019年3月22日
已删除
将门创投
12+阅读 · 2017年10月13日
Arxiv
0+阅读 · 2021年4月5日
Arxiv
0+阅读 · 2021年4月4日
VIP会员
最新内容
非对称优势:美海军开发低成本反无人机技术
专知会员服务
2+阅读 · 今天4:39
《美战争部小企业创新研究(SBIR)计划》
专知会员服务
3+阅读 · 今天2:48
《军事模拟:将军事条令与目标融入AI智能体》
专知会员服务
5+阅读 · 今天2:43
【NTU博士论文】3D人体动作生成
专知会员服务
6+阅读 · 4月24日
以色列军事技术对美国军力发展的持续性赋能
专知会员服务
8+阅读 · 4月24日
《深度强化学习在兵棋推演中的应用》40页报告
专知会员服务
12+阅读 · 4月24日
《多域作战面临复杂现实》
专知会员服务
9+阅读 · 4月24日
《印度的多域作战:条令与能力发展》报告
专知会员服务
4+阅读 · 4月24日
相关资讯
Hierarchically Structured Meta-learning
CreateAMind
27+阅读 · 2019年5月22日
Call for Participation: Shared Tasks in NLPCC 2019
中国计算机学会
5+阅读 · 2019年3月22日
已删除
将门创投
12+阅读 · 2017年10月13日
Top
微信扫码咨询专知VIP会员