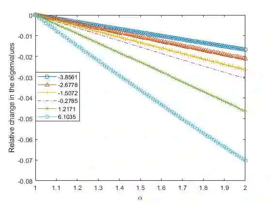
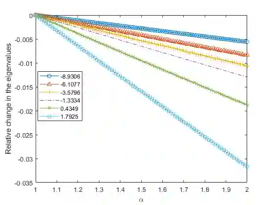
We investigate an inverse scattering problem for a thin inhomogeneous scatterer in R^m, m = 2,3, which we model as a m-1 dimensional open surface. The scatterer is referred to as a screen. The goal is to design target signatures that are computable from scattering data in order to detect changes in the material properties of the screen. This target signature is characterized by a mixed Steklov eigenvalue problem for a domain whose boundary contains the screen. We show that the corresponding eigenvalues can be determined from appropriately modified scattering data by using the generalized linear sampling method. A weaker justification is provided for the classical linear sampling method. Numerical experiments are presented to support our theoretical results.


翻译:我们在R ⁇ m m = 2,3, 我们用一个 m-1 维的开放表面模型来模拟一个薄异质散射器的反向散射问题。 散射器称为屏幕。 目标是设计从散射数据中可计算的目标信号, 以便检测屏幕物质特性的变化。 这个目标信号的特点是边界包含屏幕的域存在一个混合的Steklov 电子元值问题。 我们通过使用通用线性取样方法, 显示相应的电子元值可以通过适当修改的散射数据来确定。 经典线性取样方法有一个较弱的理由。 提供了数字实验来支持我们的理论结果。

0
下载
关闭预览

相关内容

【干货书】机器学习速查手册,135页pdf
专知会员服务
127+阅读 · 2020年11月20日
Stabilizing Transformers for Reinforcement Learning
专知会员服务
60+阅读 · 2019年10月17日
Keras François Chollet 《Deep Learning with Python 》, 386页pdf
专知会员服务
164+阅读 · 2019年10月12日
强化学习最新教程,17页pdf
专知会员服务
182+阅读 · 2019年10月11日
【新书】Python编程基础,669页pdf
专知会员服务
197+阅读 · 2019年10月10日
LibRec 精选:AutoML for Contextual Bandits
LibRec智能推荐
7+阅读 · 2019年9月19日
Hierarchically Structured Meta-learning
CreateAMind
27+阅读 · 2019年5月22日
Transferring Knowledge across Learning Processes
CreateAMind
29+阅读 · 2019年5月18日
Unsupervised Learning via Meta-Learning
CreateAMind
44+阅读 · 2019年1月3日
meta learning 17年:MAML SNAIL
CreateAMind
11+阅读 · 2019年1月2日
Hierarchical Disentangled Representations
CreateAMind
4+阅读 · 2018年4月15日
已删除
将门创投
5+阅读 · 2018年1月24日
R文本分类之RTextTools
R语言中文社区
4+阅读 · 2018年1月17日
【论文】变分推断(Variational inference)的总结
机器学习研究会
39+阅读 · 2017年11月16日
【学习】Hierarchical Softmax
机器学习研究会
4+阅读 · 2017年8月6日
Rate-Splitting Meets Cell-Free MIMO Communications
Arxiv
0+阅读 · 2021年12月3日
Arxiv
15+阅读 · 2020年12月17日
Learning to Weight for Text Classification
Arxiv
8+阅读 · 2019年3月28日
Arxiv
6+阅读 · 2018年12月10日
Arxiv
4+阅读 · 2018年10月5日
Arxiv
3+阅读 · 2018年2月24日
VIP会员
最新内容
【NTU博士论文】3D人体动作生成
专知会员服务
1+阅读 · 今天14:48
以色列军事技术对美国军力发展的持续性赋能
专知会员服务
7+阅读 · 今天8:46
《深度强化学习在兵棋推演中的应用》40页报告
专知会员服务
9+阅读 · 今天5:37
《多域作战面临复杂现实》
专知会员服务
7+阅读 · 今天5:35
《印度的多域作战:条令与能力发展》报告
专知会员服务
3+阅读 · 今天5:24
相关资讯
LibRec 精选:AutoML for Contextual Bandits
LibRec智能推荐
7+阅读 · 2019年9月19日
Hierarchically Structured Meta-learning
CreateAMind
27+阅读 · 2019年5月22日
Transferring Knowledge across Learning Processes
CreateAMind
29+阅读 · 2019年5月18日
Unsupervised Learning via Meta-Learning
CreateAMind
44+阅读 · 2019年1月3日
meta learning 17年:MAML SNAIL
CreateAMind
11+阅读 · 2019年1月2日
Hierarchical Disentangled Representations
CreateAMind
4+阅读 · 2018年4月15日
已删除
将门创投
5+阅读 · 2018年1月24日
R文本分类之RTextTools
R语言中文社区
4+阅读 · 2018年1月17日
【论文】变分推断(Variational inference)的总结
机器学习研究会
39+阅读 · 2017年11月16日
【学习】Hierarchical Softmax
机器学习研究会
4+阅读 · 2017年8月6日
相关论文
Rate-Splitting Meets Cell-Free MIMO Communications
Arxiv
0+阅读 · 2021年12月3日
Arxiv
15+阅读 · 2020年12月17日
Learning to Weight for Text Classification
Arxiv
8+阅读 · 2019年3月28日
Arxiv
6+阅读 · 2018年12月10日
Arxiv
4+阅读 · 2018年10月5日
Arxiv
3+阅读 · 2018年2月24日
Top
微信扫码咨询专知VIP会员