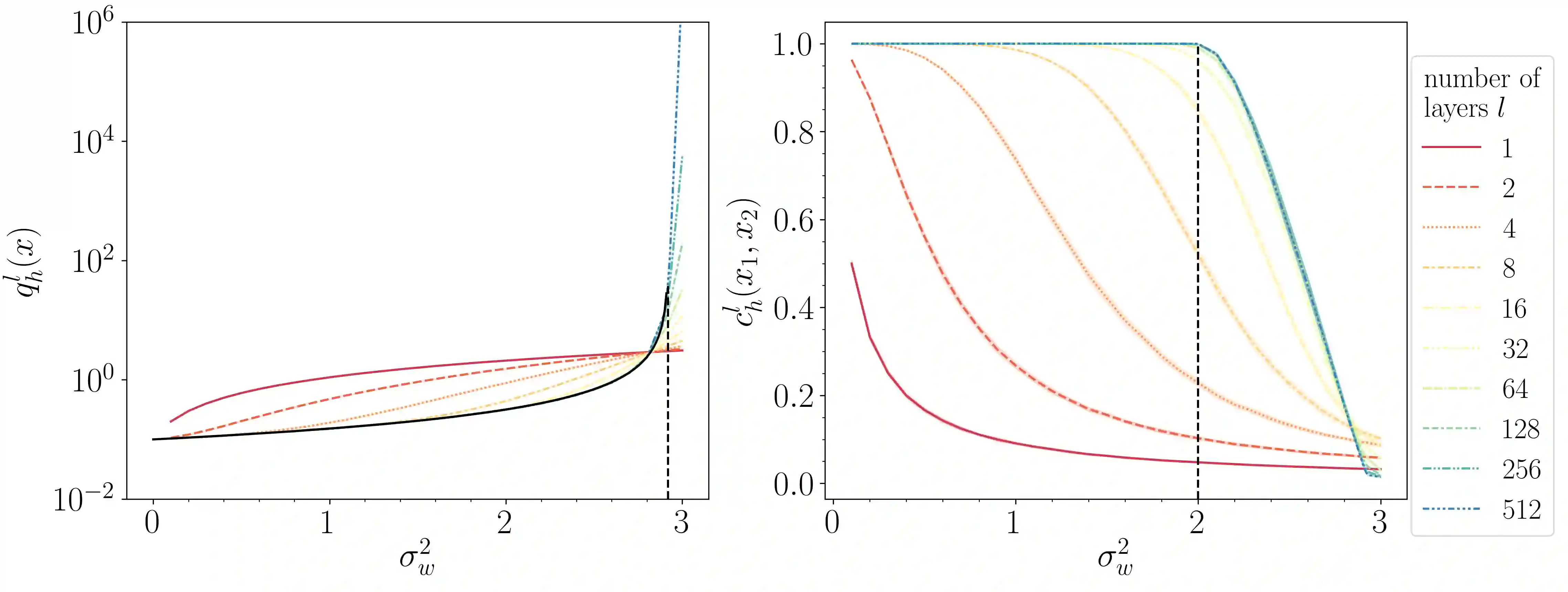
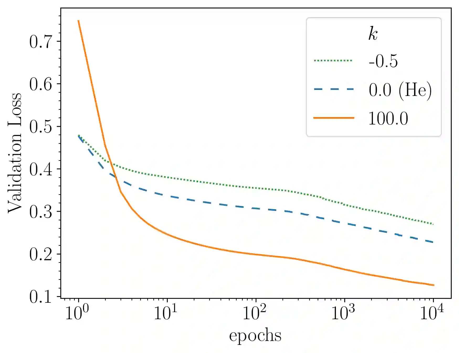
Using a mean-field theory of signal propagation, we analyze the evolution of correlations between two signals propagating through a ReLU network with correlated weights. Signals become highly correlated in deep ReLU networks with uncorrelated weights. We show that ReLU networks with anti-correlated weights can avoid this fate and have a chaotic phase where the correlations saturate below unity. Consistent with this analysis, we find that networks initialized with anti-correlated weights can train faster (in a teacher-student setting) by taking advantage of the increased expressivity in the chaotic phase. Combining this with a previously proposed strategy of using an asymmetric initialization to reduce dead ReLU probability, we propose an initialization scheme that allows faster training and learning than the best-known methods.


翻译:使用信号传播的暗地理论, 我们分析两个信号之间的关联性演变, 两个信号通过ReLU 网络传播, 并具有相关重量。 信号在深ReLU 网络中变得高度相关, 有不相关重量。 我们显示, 具有抗碳相关重量的ReLU 网络可以避免这一命运, 并且有一个混乱的阶段, 其相关性饱和于统一之下。 根据这一分析, 我们发现, 使用抗碳相关重量初始化的网络( 在师生环境中 ) 可以利用混乱阶段中日益增强的表达性来加快培训速度( 在教师- 学生环境下 ) 。 将信号与先前提出的使用不对称初始化战略相结合, 以减少死亡的ReLU 概率, 我们提议了一个初始化计划, 使得与最著名的方法相比, 更快的培训和学习速度。

0
下载
关闭预览

相关内容

神经网络的拓扑结构,TOPOLOGY OF DEEP NEURAL NETWORKS
专知会员服务
35+阅读 · 2020年4月15日
专知会员服务
110+阅读 · 2020年3月12日
机器翻译深度学习最新综述
专知会员服务
99+阅读 · 2020年2月20日
Stabilizing Transformers for Reinforcement Learning
专知会员服务
60+阅读 · 2019年10月17日
Hierarchically Structured Meta-learning
CreateAMind
27+阅读 · 2019年5月22日
Transferring Knowledge across Learning Processes
CreateAMind
29+阅读 · 2019年5月18日
A Technical Overview of AI & ML in 2018 & Trends for 2019
待字闺中
18+阅读 · 2018年12月24日
【跟踪Tracking】15篇论文+代码 | 中秋快乐~
专知
18+阅读 · 2018年9月24日
Linguistically Regularized LSTMs for Sentiment Classification
黑龙江大学自然语言处理实验室
8+阅读 · 2018年5月4日
ResNet, AlexNet, VGG, Inception:各种卷积网络架构的理解
全球人工智能
20+阅读 · 2017年12月17日
Capsule Networks解析
机器学习研究会
11+阅读 · 2017年11月12日
【推荐】决策树/随机森林深入解析
机器学习研究会
5+阅读 · 2017年9月21日
【推荐】TensorFlow手把手CNN实践指南
机器学习研究会
5+阅读 · 2017年8月17日
Arxiv
0+阅读 · 2021年6月1日
Arxiv
18+阅读 · 2019年3月28日
Arxiv
3+阅读 · 2018年10月25日
Arxiv
3+阅读 · 2018年8月17日
VIP会员
最新内容
人工智能赋能无人机:俄乌战争(万字长文)
专知会员服务
2+阅读 · 今天6:56
国外海军作战管理系统与作战训练系统
专知会员服务
1+阅读 · 今天4:16
美军条令《海军陆战队规划流程(2026版)》
专知会员服务
7+阅读 · 今天3:36
《压缩式分布式交互仿真标准》120页
专知会员服务
4+阅读 · 今天3:21
《电子战数据交换模型研究报告》
专知会员服务
6+阅读 · 今天3:13
《基于Transformer的异常舰船导航识别与跟踪》80页
《低数据领域军事目标检测模型研究》
专知会员服务
6+阅读 · 今天2:37
【CMU博士论文】物理世界的视觉感知与深度理解
伊朗战争停火期间美军关键弹药状况分析
专知会员服务
8+阅读 · 4月22日
电子战革命:塑造战场的十年突破(2015–2025)
相关资讯
Hierarchically Structured Meta-learning
CreateAMind
27+阅读 · 2019年5月22日
Transferring Knowledge across Learning Processes
CreateAMind
29+阅读 · 2019年5月18日
A Technical Overview of AI & ML in 2018 & Trends for 2019
待字闺中
18+阅读 · 2018年12月24日
【跟踪Tracking】15篇论文+代码 | 中秋快乐~
专知
18+阅读 · 2018年9月24日
Linguistically Regularized LSTMs for Sentiment Classification
黑龙江大学自然语言处理实验室
8+阅读 · 2018年5月4日
ResNet, AlexNet, VGG, Inception:各种卷积网络架构的理解
全球人工智能
20+阅读 · 2017年12月17日
Capsule Networks解析
机器学习研究会
11+阅读 · 2017年11月12日
【推荐】决策树/随机森林深入解析
机器学习研究会
5+阅读 · 2017年9月21日
【推荐】TensorFlow手把手CNN实践指南
机器学习研究会
5+阅读 · 2017年8月17日
Top
微信扫码咨询专知VIP会员