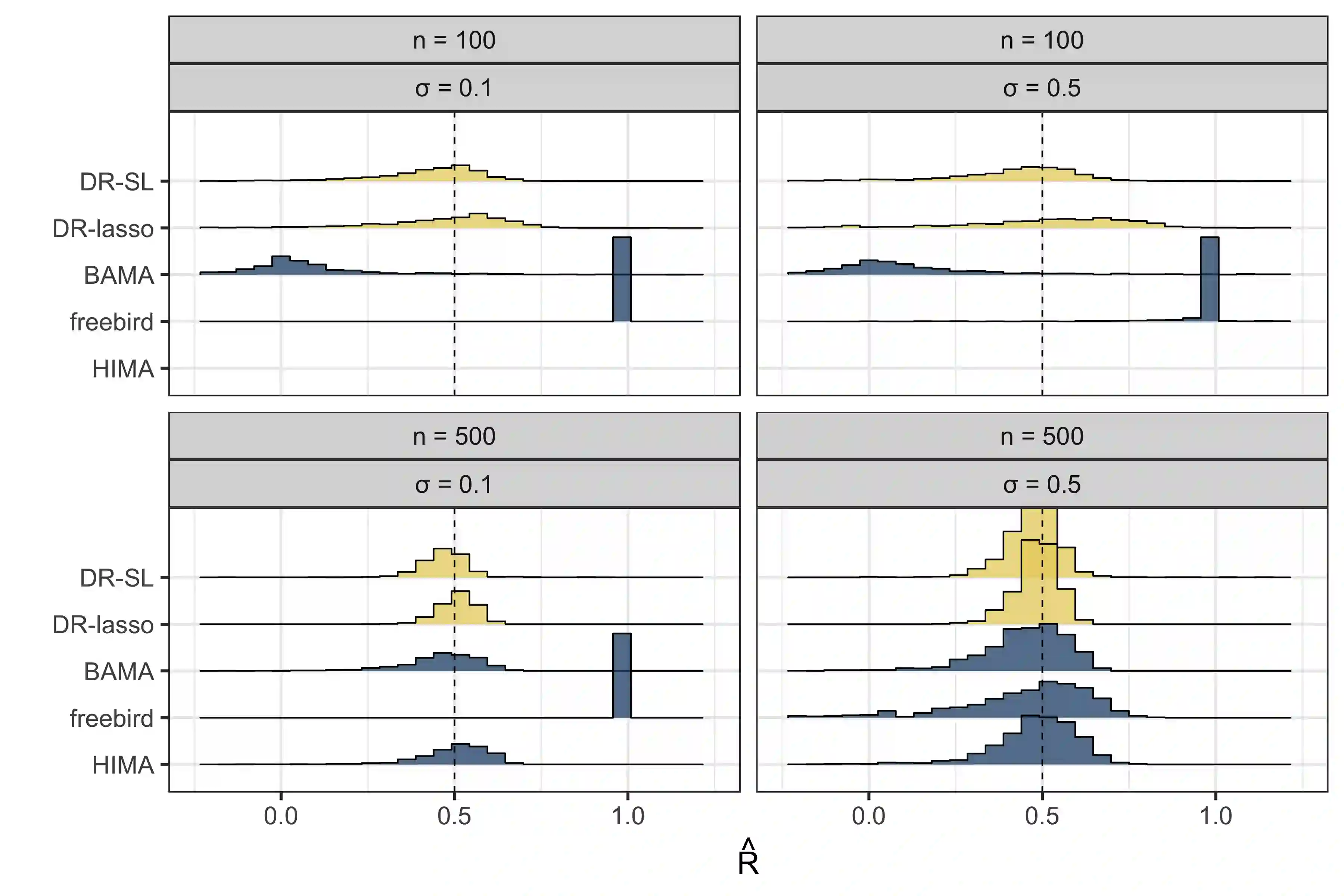
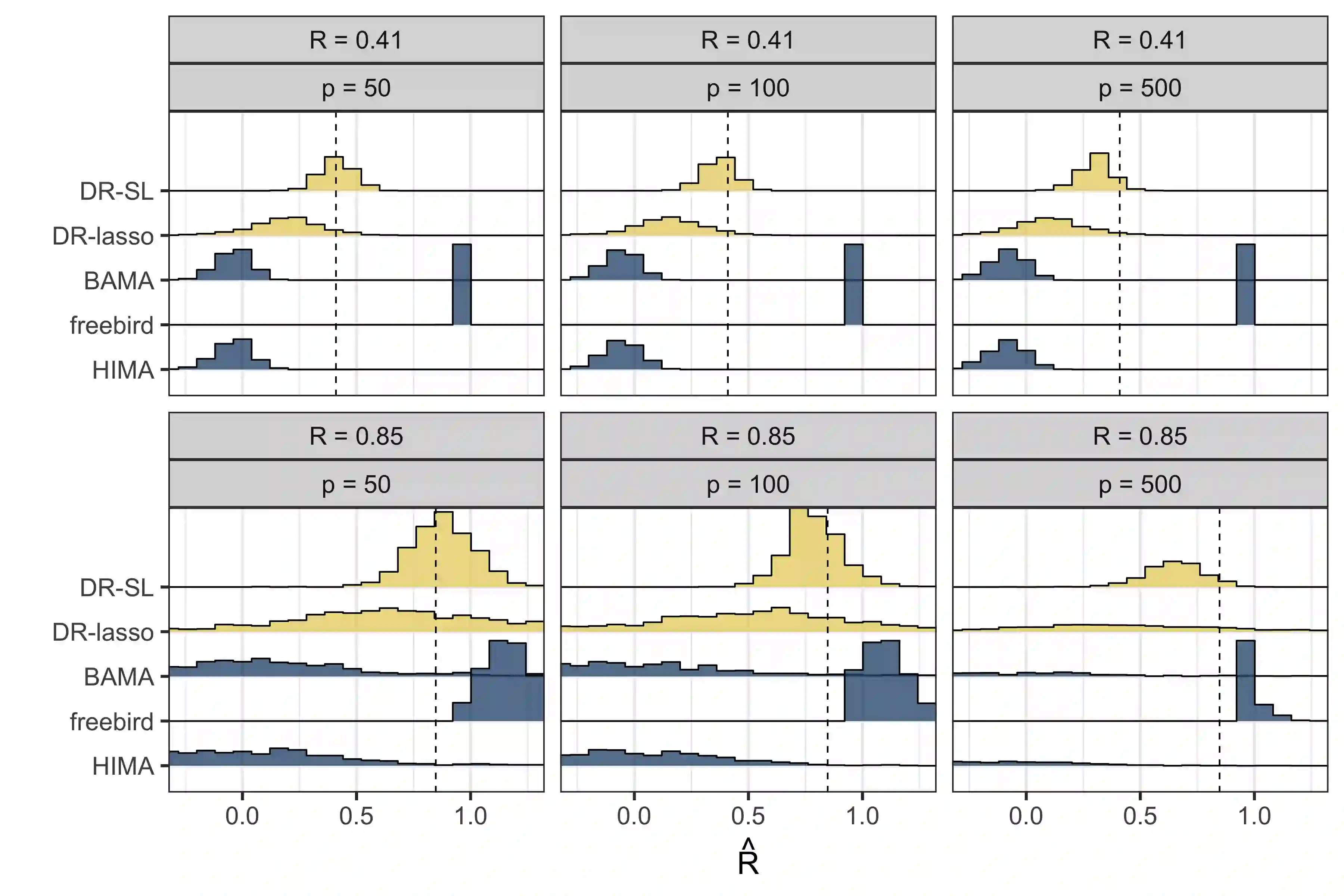
When evaluating the effectiveness of a treatment, policy, or intervention, the desired measure of effectiveness may be expensive to collect, not routinely available, or may take a long time to occur. In these cases, it is sometimes possible to identify a surrogate outcome that can more easily/quickly/cheaply capture the effect of interest. Theory and methods for evaluating the strength of surrogate markers have been well studied in the context of a single surrogate marker measured in the course of a randomized clinical study. However, methods are lacking for quantifying the utility of surrogate markers when the dimension of the surrogate grows and/or when study data are observational. We propose an efficient nonparametric method for evaluating high-dimensional surrogate markers in studies where the treatment need not be randomized. Our approach draws on a connection between quantifying the utility of a surrogate marker and the most fundamental tools of causal inference -- namely, methods for estimating the average treatment effect. We show that recently developed methods for incorporating machine learning methods into the estimation of average treatment effects can be used for evaluating surrogate markers. This allows us to derive limiting asymptotic distributions for key quantities, and we demonstrate their good performance in simulation.


翻译:在评估一种治疗、政策或干预的有效性时,所期望的效能衡量标准可能昂贵,收集费用昂贵,无法经常获得,或可能需要很长时间才能出现。在这些情况下,有时有可能确定一种替代结果,这种替代结果可以更容易/快速/捷捷地捕捉到利益的效果。我们的方法是在随机临床研究过程中测量的单一替代标记中仔细研究的,评价代用标记的强度的理论和方法。然而,在代用代用标记的尺寸增长和/或研究数据为观察性的时,缺乏量化代用标记效用的方法。我们建议一种有效的非参数方法,用于在不需要随机处理的研究中评价高维代用代用标记。我们的方法借鉴了将代用标记的效用量化与因果关系的最根本工具 -- -- 即估计平均治疗效果的方法 -- -- 之间的关联。我们表明,在评估代用代用标记时,可以使用最近开发的机器学习方法来估计平均治疗效果,用于评估代用代用标记的尺寸和/或研究数据是观察性的。我们提出了一种有效的非参数方法,用于评价高维代用代用代用标记的代用标记,在不需要随机处理的试验时,这样可以使我们在模拟中得出良好的性中进行质量上。

0
下载
关闭预览

相关内容

专知会员服务
52+阅读 · 2020年12月14日
Linux导论,Introduction to Linux,96页ppt
专知会员服务
82+阅读 · 2020年7月26日
最新《经济学中的强化学习》2020大综述,42页pdf128篇文献
强化学习最新教程,17页pdf
专知会员服务
182+阅读 · 2019年10月11日
2019年机器学习框架回顾
专知会员服务
36+阅读 · 2019年10月11日
机器学习入门的经验与建议
专知会员服务
94+阅读 · 2019年10月10日
【SIGGRAPH2019】TensorFlow 2.0深度学习计算机图形学应用
专知会员服务
41+阅读 · 2019年10月9日
机器学习在材料科学中的应用综述,21页pdf
专知会员服务
50+阅读 · 2019年9月24日
已删除
将门创投
11+阅读 · 2019年4月26日
Unsupervised Learning via Meta-Learning
CreateAMind
44+阅读 · 2019年1月3日
RL 真经
CreateAMind
6+阅读 · 2018年12月28日
A Technical Overview of AI & ML in 2018 & Trends for 2019
待字闺中
18+阅读 · 2018年12月24日
Disentangled的假设的探讨
CreateAMind
9+阅读 · 2018年12月10日
Hierarchical Imitation - Reinforcement Learning
CreateAMind
19+阅读 · 2018年5月25日
Hierarchical Disentangled Representations
CreateAMind
4+阅读 · 2018年4月15日
【推荐】SVM实例教程
机器学习研究会
17+阅读 · 2017年8月26日
【学习】Hierarchical Softmax
机器学习研究会
4+阅读 · 2017年8月6日
Arxiv
0+阅读 · 2021年1月22日
Arxiv
0+阅读 · 2021年1月21日
VIP会员
最新内容
2026“人工智能+”行业发展蓝皮书(附下载)
专知会员服务
6+阅读 · 今天12:11
《强化学习数学基础》
专知会员服务
4+阅读 · 今天12:07
“Maven计划”的发展演变之“Maven智能系统”应用
《无人机革命:来自俄乌战场的启示》(报告)
专知会员服务
8+阅读 · 今天6:48
《实现联合作战能力所需的技术》58页报告
专知会员服务
4+阅读 · 今天6:30
以色列运用人工智能优化空袭警报系统
专知会员服务
4+阅读 · 今天6:20
以色列在多条战线部署AI智能体
专知会员服务
5+阅读 · 今天6:12
相关VIP内容
专知会员服务
52+阅读 · 2020年12月14日
Linux导论,Introduction to Linux,96页ppt
专知会员服务
82+阅读 · 2020年7月26日
最新《经济学中的强化学习》2020大综述,42页pdf128篇文献
强化学习最新教程,17页pdf
专知会员服务
182+阅读 · 2019年10月11日
2019年机器学习框架回顾
专知会员服务
36+阅读 · 2019年10月11日
机器学习入门的经验与建议
专知会员服务
94+阅读 · 2019年10月10日
【SIGGRAPH2019】TensorFlow 2.0深度学习计算机图形学应用
专知会员服务
41+阅读 · 2019年10月9日
机器学习在材料科学中的应用综述,21页pdf
专知会员服务
50+阅读 · 2019年9月24日
相关资讯
已删除
将门创投
11+阅读 · 2019年4月26日
Unsupervised Learning via Meta-Learning
CreateAMind
44+阅读 · 2019年1月3日
RL 真经
CreateAMind
6+阅读 · 2018年12月28日
A Technical Overview of AI & ML in 2018 & Trends for 2019
待字闺中
18+阅读 · 2018年12月24日
Disentangled的假设的探讨
CreateAMind
9+阅读 · 2018年12月10日
Hierarchical Imitation - Reinforcement Learning
CreateAMind
19+阅读 · 2018年5月25日
Hierarchical Disentangled Representations
CreateAMind
4+阅读 · 2018年4月15日
【推荐】SVM实例教程
机器学习研究会
17+阅读 · 2017年8月26日
【学习】Hierarchical Softmax
机器学习研究会
4+阅读 · 2017年8月6日
Top
微信扫码咨询专知VIP会员