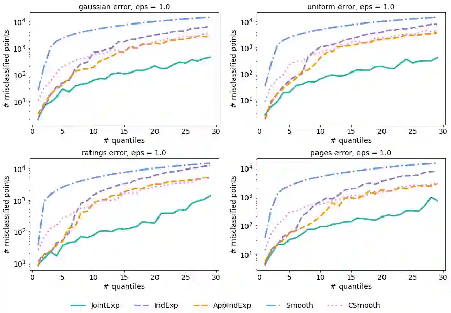
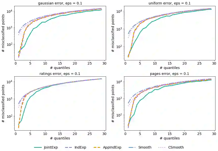
Quantiles are often used for summarizing and understanding data. If that data is sensitive, it may be necessary to compute quantiles in a way that is differentially private, providing theoretical guarantees that the result does not reveal private information. However, in the common case where multiple quantiles are needed, existing differentially private algorithms scale poorly: they compute each quantile individually, splitting their privacy budget and thus decreasing accuracy. In this work we propose an instance of the exponential mechanism that simultaneously estimates $m$ quantiles from $n$ data points while guaranteeing differential privacy. The utility function is carefully structured to allow for an efficient implementation that avoids exponential dependence on $m$ and returns estimates of all $m$ quantiles in time $O(mn^2 + m^2n)$. Experiments show that our method significantly outperforms the current state of the art on both real and synthetic data while remaining efficient enough to be practical.


翻译:量化法通常用于总结和理解数据。 如果数据是敏感的, 则可能有必要以不同私人的方式计算量化, 提供理论保证结果不会披露私人信息。 但是, 在需要多个量化法的常见情况下, 现有的差异私人算法规模不高: 它们单独计算每个量化, 分割隐私预算, 从而降低准确性。 在这项工作中, 我们提议了一个指数机制的例子, 该指数机制同时从美元数据点中估算美元量化值, 同时保证差异的隐私。 实用功能结构谨慎, 以便高效实施, 避免指数依赖美元, 并在时间上将所有美元量化法的估计数回报到$O( m ⁇ 2 + m ⁇ 2 ) 。 实验显示, 我们的方法大大超过真实和合成数据的当前水平, 同时保持足够有效, 以实用的方式运行 。

0
下载
关闭预览

相关内容

图像分割方法综述
专知会员服务
56+阅读 · 2020年11月22日
专知会员服务
55+阅读 · 2020年3月16日
Stabilizing Transformers for Reinforcement Learning
专知会员服务
60+阅读 · 2019年10月17日
开源书:PyTorch深度学习起步
专知会员服务
51+阅读 · 2019年10月11日
强化学习最新教程,17页pdf
专知会员服务
182+阅读 · 2019年10月11日
【SIGGRAPH2019】TensorFlow 2.0深度学习计算机图形学应用
专知会员服务
41+阅读 · 2019年10月9日
LibRec 精选:AutoML for Contextual Bandits
LibRec智能推荐
7+阅读 · 2019年9月19日
Transferring Knowledge across Learning Processes
CreateAMind
29+阅读 · 2019年5月18日
逆强化学习-学习人先验的动机
CreateAMind
16+阅读 · 2019年1月18日
强化学习的Unsupervised Meta-Learning
CreateAMind
18+阅读 · 2019年1月7日
Unsupervised Learning via Meta-Learning
CreateAMind
44+阅读 · 2019年1月3日
meta learning 17年:MAML SNAIL
CreateAMind
11+阅读 · 2019年1月2日
Disentangled的假设的探讨
CreateAMind
9+阅读 · 2018年12月10日
Auto-Encoding GAN
CreateAMind
7+阅读 · 2017年8月4日
Arxiv
0+阅读 · 2021年4月8日
Arxiv
12+阅读 · 2020年12月10日
Arxiv
3+阅读 · 2017年12月14日
VIP会员
最新内容
俄乌战争中乌克兰防空能力演变与见解(中文版)
《深度强化学习在兵棋推演中的应用》40页报告
专知会员服务
5+阅读 · 今天5:37
《多域作战面临复杂现实》
专知会员服务
3+阅读 · 今天5:35
《印度的多域作战:条令与能力发展》报告
专知会员服务
2+阅读 · 今天5:24
人工智能赋能无人机:俄乌战争(万字长文)
专知会员服务
6+阅读 · 4月23日
国外海军作战管理系统与作战训练系统
专知会员服务
3+阅读 · 4月23日
美军条令《海军陆战队规划流程(2026版)》
专知会员服务
11+阅读 · 4月23日
《压缩式分布式交互仿真标准》120页
专知会员服务
5+阅读 · 4月23日
相关VIP内容
图像分割方法综述
专知会员服务
56+阅读 · 2020年11月22日
专知会员服务
55+阅读 · 2020年3月16日
Stabilizing Transformers for Reinforcement Learning
专知会员服务
60+阅读 · 2019年10月17日
开源书:PyTorch深度学习起步
专知会员服务
51+阅读 · 2019年10月11日
强化学习最新教程,17页pdf
专知会员服务
182+阅读 · 2019年10月11日
【SIGGRAPH2019】TensorFlow 2.0深度学习计算机图形学应用
专知会员服务
41+阅读 · 2019年10月9日
相关资讯
LibRec 精选:AutoML for Contextual Bandits
LibRec智能推荐
7+阅读 · 2019年9月19日
Transferring Knowledge across Learning Processes
CreateAMind
29+阅读 · 2019年5月18日
逆强化学习-学习人先验的动机
CreateAMind
16+阅读 · 2019年1月18日
强化学习的Unsupervised Meta-Learning
CreateAMind
18+阅读 · 2019年1月7日
Unsupervised Learning via Meta-Learning
CreateAMind
44+阅读 · 2019年1月3日
meta learning 17年:MAML SNAIL
CreateAMind
11+阅读 · 2019年1月2日
Disentangled的假设的探讨
CreateAMind
9+阅读 · 2018年12月10日
Auto-Encoding GAN
CreateAMind
7+阅读 · 2017年8月4日
Top
微信扫码咨询专知VIP会员