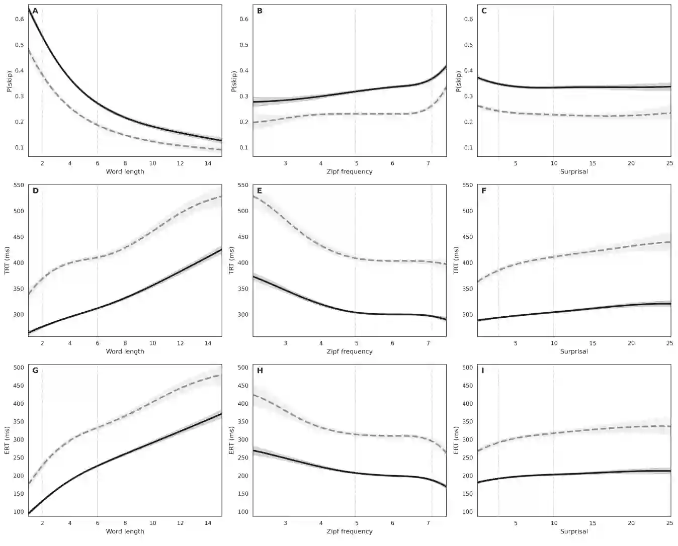
We ask where, and under what conditions, dyslexic reading costs arise in a large-scale naturalistic reading dataset. Using eye-tracking aligned to word-level features (word length, frequency, and predictability), we model how each feature influences dyslexic time costs. We find that all three features robustly change reading times in both typical and dyslexic readers, and that dyslexic readers show stronger sensitivities to each, especially predictability. Counterfactual manipulations of these features substantially narrow the dyslexic-control gap by about one third, with predictability showing the strongest effect, followed by length and frequency. These patterns align with dyslexia theories that posit heightened demands on linguistic working memory and phonological encoding, and they motivate further work on lexical complexity and parafoveal preview benefits to explain the remaining gap. In short, we quantify when extra dyslexic costs arise, how large they are, and offer actionable guidance for interventions and computational models for dyslexics.


翻译:本研究旨在探究大规模自然阅读数据中,阅读障碍相关的额外时间成本在何处及何种条件下产生。通过将眼动追踪数据与词汇层面特征(词长、词频及可预测性)对齐,我们建模分析了各特征对阅读障碍时间成本的影响。研究发现,所有三个特征均显著影响典型读者与阅读障碍者的阅读时间,且阅读障碍者对每个特征(尤其是可预测性)表现出更强的敏感性。对这些特征的反事实模拟操作可将阅读障碍者与对照组间的差距缩小约三分之一,其中可预测性影响最为显著,其次是词长与词频。这些模式与强调语言工作记忆及语音编码负荷增加的阅读障碍理论相符,并为进一步通过词汇复杂度与副中央凹预视效益研究解释剩余差距提供了方向。简言之,本研究量化了阅读障碍额外成本的出现时机与规模,并为针对阅读障碍者的干预措施及计算模型提供了可操作的指导。

0
下载
关闭预览

相关内容

ACM/IEEE第23届模型驱动工程语言和系统国际会议,是模型驱动软件和系统工程的首要会议系列,由ACM-SIGSOFT和IEEE-TCSE支持组织。自1998年以来,模型涵盖了建模的各个方面,从语言和方法到工具和应用程序。模特的参加者来自不同的背景,包括研究人员、学者、工程师和工业专业人士。MODELS 2019是一个论坛,参与者可以围绕建模和模型驱动的软件和系统交流前沿研究成果和创新实践经验。今年的版本将为建模社区提供进一步推进建模基础的机会,并在网络物理系统、嵌入式系统、社会技术系统、云计算、大数据、机器学习、安全、开源等新兴领域提出建模的创新应用以及可持续性。 官网链接:http://www.modelsconference.org/
FlowQA: Grasping Flow in History for Conversational Machine Comprehension
专知会员服务
34+阅读 · 2019年10月18日
Keras François Chollet 《Deep Learning with Python 》, 386页pdf
专知会员服务
163+阅读 · 2019年10月12日
Transferring Knowledge across Learning Processes
CreateAMind
29+阅读 · 2019年5月18日
Unsupervised Learning via Meta-Learning
CreateAMind
44+阅读 · 2019年1月3日
STRCF for Visual Object Tracking
统计学习与视觉计算组
15+阅读 · 2018年5月29日
Focal Loss for Dense Object Detection
统计学习与视觉计算组
12+阅读 · 2018年3月15日
IJCAI | Cascade Dynamics Modeling with Attention-based RNN
KingsGarden
13+阅读 · 2017年7月16日
国家自然科学基金
13+阅读 · 2017年12月31日
国家自然科学基金
2+阅读 · 2015年12月31日
国家自然科学基金
2+阅读 · 2015年12月31日
国家自然科学基金
0+阅读 · 2014年12月31日
VIP会员
相关资讯
Transferring Knowledge across Learning Processes
CreateAMind
29+阅读 · 2019年5月18日
Unsupervised Learning via Meta-Learning
CreateAMind
44+阅读 · 2019年1月3日
STRCF for Visual Object Tracking
统计学习与视觉计算组
15+阅读 · 2018年5月29日
Focal Loss for Dense Object Detection
统计学习与视觉计算组
12+阅读 · 2018年3月15日
IJCAI | Cascade Dynamics Modeling with Attention-based RNN
KingsGarden
13+阅读 · 2017年7月16日
相关基金
国家自然科学基金
13+阅读 · 2017年12月31日
国家自然科学基金
2+阅读 · 2015年12月31日
国家自然科学基金
2+阅读 · 2015年12月31日
国家自然科学基金
0+阅读 · 2014年12月31日
Top
微信扫码咨询专知VIP会员