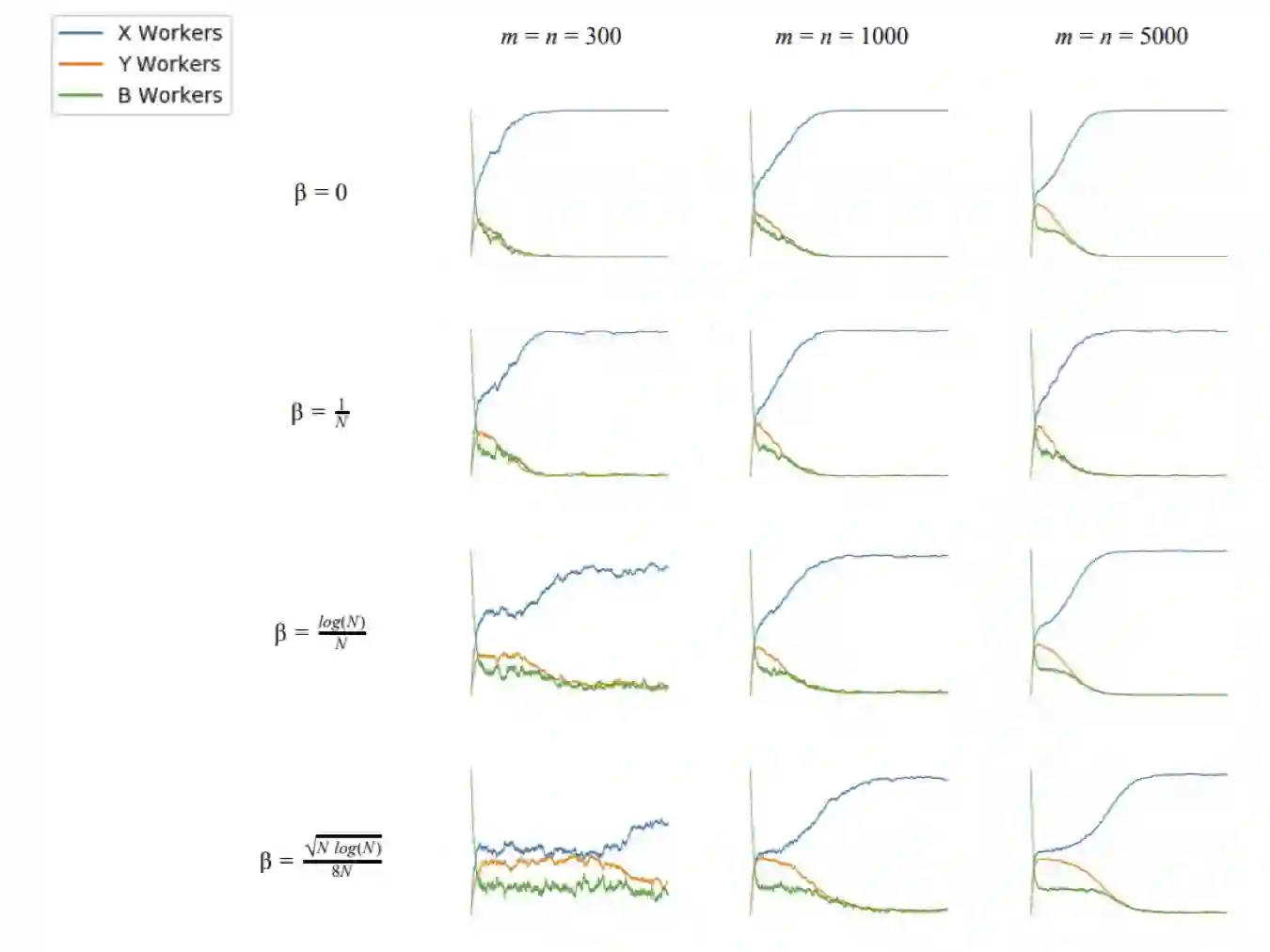
Population protocols are a class of algorithms for modeling distributed computation in networks of finite-state agents communicating through pairwise interactions. Their suitability for analyzing numerous chemical processes has motivated the adaptation of the original population protocol framework to better model these chemical systems. In this paper, we further the study of two such adaptations in the context of solving approximate majority: persistent-state agents (or catalysts) and spontaneous state changes (or leaks). Based on models considered in recent protocols for populations with persistent-state agents, we assume a population with $n$ catalytic input agents and $m$ worker agents, and the goal of the worker agents is to compute some predicate over the states of the catalytic inputs. We call this model the Catalytic Input (CI) model. For $m = \Theta(n)$, we show that computing the parity of the input population with high probability requires at least $\Omega(n^2)$ total interactions, demonstrating a strong separation between the CI model and the standard population protocol model. On the other hand, we show that the simple third-state dynamics of Angluin et al. for approximate majority in the standard model can be naturally adapted to the CI model: we present such a constant-state protocol for the CI model that solves approximate majority in $O(n \log n)$ total steps with high probability when the input margin is $\Omega(\sqrt{n \log n})$. We then show the robustness of third-state dynamics protocols to the transient leaks events introduced by Alistarh et al. In both the original and CI models, these protocols successfully compute approximate majority with high probability in the presence of leaks occurring at each step with probability $\beta \leq O\left(\sqrt{n \log n}/n\right)$, exhibiting a resilience to leaks similar to that of Byzantine agents in previous works.


翻译:人口协议是一种算法,用于在固定状态物剂网络中通过对称互动进行分配计算。它们对于分析多种化学过程的适宜性促使对原始人口协议框架进行修改,以更好地模拟这些化学系统。在本文中,我们进一步研究了两种在解决大致多数情况下进行的调整:持久性物质(或催化剂)和自发状态变化(或泄漏)。根据最近为具有持久性物剂的人口制定的协议中考虑的模型,我们假设人口具有以美元催化输入剂和1美元工人代理商为单位的分布计算。工人代理商的目标是在催化动力输入状态上进行某些上游化。我们称之为催化输入(CI)模型模型模型。对于美元=\Theta(n)美元,我们表明,高概率输入量人口(n)的总和互动,我们假设CI模型的第三次状态动力动力动力变化,然后通过直径(我们正数的硬数值模型)显示当前直位数(roral)的直径位(roral),我们可以通过直径方的直径(ral-ror)的基模型显示当前直径(ral ror)的直到直位(ral-ror),我们直方的直到直方(ral-ral-ral-ral-ral ral-ral-ral ral) rol) ral-ral) mo(ral)。

0
下载
关闭预览

相关内容

ACM/IEEE第23届模型驱动工程语言和系统国际会议,是模型驱动软件和系统工程的首要会议系列,由ACM-SIGSOFT和IEEE-TCSE支持组织。自1998年以来,模型涵盖了建模的各个方面,从语言和方法到工具和应用程序。模特的参加者来自不同的背景,包括研究人员、学者、工程师和工业专业人士。MODELS 2019是一个论坛,参与者可以围绕建模和模型驱动的软件和系统交流前沿研究成果和创新实践经验。今年的版本将为建模社区提供进一步推进建模基础的机会,并在网络物理系统、嵌入式系统、社会技术系统、云计算、大数据、机器学习、安全、开源等新兴领域提出建模的创新应用以及可持续性。 官网链接:http://www.modelsconference.org/
专知会员服务
55+阅读 · 2020年9月7日
【干货书】真实机器学习,264页pdf,Real-World Machine Learning
Keras François Chollet 《Deep Learning with Python 》, 386页pdf
专知会员服务
164+阅读 · 2019年10月12日
【SIGGRAPH2019】TensorFlow 2.0深度学习计算机图形学应用
专知会员服务
41+阅读 · 2019年10月9日
强化学习的Unsupervised Meta-Learning
CreateAMind
18+阅读 · 2019年1月7日
meta learning 17年:MAML SNAIL
CreateAMind
11+阅读 · 2019年1月2日
已删除
将门创投
12+阅读 · 2018年6月25日
强化学习 cartpole_a3c
CreateAMind
9+阅读 · 2017年7月21日
Arxiv
3+阅读 · 2018年2月24日
VIP会员
最新内容
2026“人工智能+”行业发展蓝皮书(附下载)
专知会员服务
4+阅读 · 今天12:11
《强化学习数学基础》
专知会员服务
2+阅读 · 今天12:07
“Maven计划”的发展演变之“Maven智能系统”应用
《无人机革命:来自俄乌战场的启示》(报告)
专知会员服务
7+阅读 · 今天6:48
《实现联合作战能力所需的技术》58页报告
专知会员服务
4+阅读 · 今天6:30
以色列运用人工智能优化空袭警报系统
专知会员服务
4+阅读 · 今天6:20
以色列在多条战线部署AI智能体
专知会员服务
5+阅读 · 今天6:12
相关资讯
强化学习的Unsupervised Meta-Learning
CreateAMind
18+阅读 · 2019年1月7日
meta learning 17年:MAML SNAIL
CreateAMind
11+阅读 · 2019年1月2日
已删除
将门创投
12+阅读 · 2018年6月25日
强化学习 cartpole_a3c
CreateAMind
9+阅读 · 2017年7月21日
Top
微信扫码咨询专知VIP会员