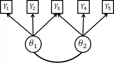
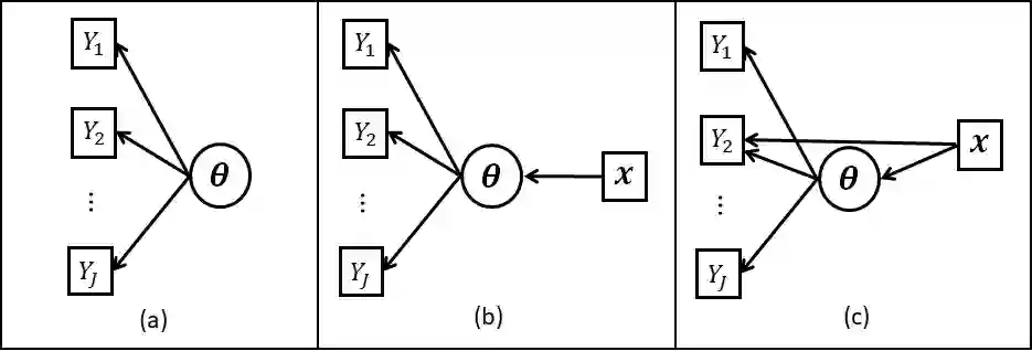
Item response theory (IRT) has become one of the most popular statistical models for psychometrics, a field of study concerned with the theory and techniques of psychological measurement. The IRT models are latent factor models tailored to the analysis, interpretation, and prediction of individuals' behaviors in answering a set of measurement items that typically involve categorical response data. Many important questions of measurement are directly or indirectly answered through the use of IRT models, including scoring individuals' test performances, validating a test scale, linking two tests, among others. This paper provides a review of item response theory, including its statistical framework and psychometric applications. We establish connections between item response theory and related topics in statistics, including empirical Bayes, nonparametric methods, matrix completion, regularized estimation, and sequential analysis. Possible future directions of IRT are discussed from the perspective of statistical learning.


翻译:项目响应理论(IRT)已成为最受欢迎的心理计量统计模型之一,这是一个与心理计量理论和技术有关的研究领域,是用于分析、解释和预测个人行为的潜在要素模型,用于回答通常涉及绝对反应数据的一套计量项目;许多重要的计量问题都直接或间接地通过使用测试模型回答,包括评分个人的测试性能、验证测试规模、将两个测试联系起来等;本文件审查了项目响应理论,包括其统计框架和心理计量应用;我们建立了项目响应理论与统计相关专题之间的联系,包括经验性贝耶斯、非参数性方法、矩阵完成、定期估计和顺序分析;从统计学习的角度讨论了综合计量技术今后可能的方向。

0
下载
关闭预览

相关内容

专知会员服务
87+阅读 · 2020年12月5日
【干货书】机器学习速查手册,135页pdf
专知会员服务
127+阅读 · 2020年11月20日
【微众银行】联邦学习白皮书_v2.0,48页pdf,
专知会员服务
170+阅读 · 2020年4月26日
强化学习最新教程,17页pdf
专知会员服务
182+阅读 · 2019年10月11日
【哈佛大学商学院课程Fall 2019】机器学习可解释性
专知会员服务
105+阅读 · 2019年10月9日
CCF推荐 | 国际会议信息8条
Call4Papers
9+阅读 · 2019年5月23日
Hierarchically Structured Meta-learning
CreateAMind
27+阅读 · 2019年5月22日
SIGIR2019 接收论文列表
专知
18+阅读 · 2019年4月20日
大数据 | 顶级SCI期刊专刊/国际会议信息7条
Call4Papers
10+阅读 · 2018年12月29日
A Technical Overview of AI & ML in 2018 & Trends for 2019
待字闺中
18+阅读 · 2018年12月24日
计算机类 | SIGMETRICS 2019等国际会议信息7条
Call4Papers
9+阅读 · 2018年10月23日
【NIPS2018】接收论文列表
专知
5+阅读 · 2018年9月10日
人工智能 | 国际会议/SCI期刊约稿信息9条
Call4Papers
3+阅读 · 2018年1月12日
推荐|Andrew Ng计算机视觉教程总结
全球人工智能
3+阅读 · 2017年11月23日
【论文】变分推断(Variational inference)的总结
机器学习研究会
39+阅读 · 2017年11月16日
Arxiv
0+阅读 · 2021年10月13日
Arxiv
0+阅读 · 2021年10月13日
Arxiv
5+阅读 · 2021年4月21日
A Modern Introduction to Online Learning
Arxiv
21+阅读 · 2019年12月31日
VIP会员
最新内容
2026“人工智能+”行业发展蓝皮书(附下载)
专知会员服务
9+阅读 · 4月26日
《强化学习数学基础》
专知会员服务
5+阅读 · 4月26日
“Maven计划”的发展演变之“Maven智能系统”应用
《无人机革命:来自俄乌战场的启示》(报告)
《实现联合作战能力所需的技术》58页报告
专知会员服务
7+阅读 · 4月26日
以色列运用人工智能优化空袭警报系统
专知会员服务
5+阅读 · 4月26日
以色列在多条战线部署AI智能体
专知会员服务
8+阅读 · 4月26日
相关VIP内容
专知会员服务
87+阅读 · 2020年12月5日
【干货书】机器学习速查手册,135页pdf
专知会员服务
127+阅读 · 2020年11月20日
【微众银行】联邦学习白皮书_v2.0,48页pdf,
专知会员服务
170+阅读 · 2020年4月26日
强化学习最新教程,17页pdf
专知会员服务
182+阅读 · 2019年10月11日
【哈佛大学商学院课程Fall 2019】机器学习可解释性
专知会员服务
105+阅读 · 2019年10月9日
相关资讯
CCF推荐 | 国际会议信息8条
Call4Papers
9+阅读 · 2019年5月23日
Hierarchically Structured Meta-learning
CreateAMind
27+阅读 · 2019年5月22日
SIGIR2019 接收论文列表
专知
18+阅读 · 2019年4月20日
大数据 | 顶级SCI期刊专刊/国际会议信息7条
Call4Papers
10+阅读 · 2018年12月29日
A Technical Overview of AI & ML in 2018 & Trends for 2019
待字闺中
18+阅读 · 2018年12月24日
计算机类 | SIGMETRICS 2019等国际会议信息7条
Call4Papers
9+阅读 · 2018年10月23日
【NIPS2018】接收论文列表
专知
5+阅读 · 2018年9月10日
人工智能 | 国际会议/SCI期刊约稿信息9条
Call4Papers
3+阅读 · 2018年1月12日
推荐|Andrew Ng计算机视觉教程总结
全球人工智能
3+阅读 · 2017年11月23日
【论文】变分推断(Variational inference)的总结
机器学习研究会
39+阅读 · 2017年11月16日
Top
微信扫码咨询专知VIP会员