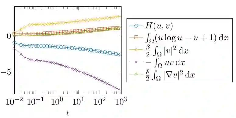
In this paper we design, analyze and simulate a finite volume scheme for a cross-diffusion system which models chemotaxis with local sensing. This system has the same Lyapunov function (or entropy) as the celebrated minimal Keller-Segel system, but unlike the latter, its solutions are known to exist globally in 2D. The long-time behavior of solutions is only partially understood which motivates numerical exploration with a reliable numerical method. We propose a linearly implicit, two-point flux finite volume approximation of the system. We show that the scheme preserves, at the discrete level, the main features of the continuous system, namely mass conservation, non-negativity of solution, entropy dissipation, and duality estimates. These properties allow us to prove the well-posedness, unconditional stability and convergence of the scheme. We also show rigorously that the scheme possesses an asymptotic preserving (AP) property in the quasi-stationary limit. We complement our analysis with thorough numerical experiments investigating convergence and AP properties of the scheme as well as its reliability with respect to stability properties of steady solutions.


翻译:本文针对局部感知趋化交叉扩散系统设计、分析并模拟了一种有限体积格式。该系统与著名的极小Keller-Segel模型具有相同的李雅普诺夫函数(或称熵),但不同于后者,该系统的解在二维情况下被证明具有全局存在性。目前对解长时间行为的理解尚不完整,这促使我们采用可靠的数值方法进行探索。我们提出了一种线性隐式、两点通量的有限体积近似格式。我们证明该格式在离散层面保持了连续系统的主要特征:质量守恒、解的非负性、熵耗散特性以及对偶估计。这些性质使我们能够证明格式的适定性、无条件稳定性和收敛性。我们严格证明了该格式在准静态极限下具有渐近保持(AP)特性。通过详尽的数值实验,我们进一步验证了格式的收敛性与AP特性,并检验了其关于稳态解稳定性分析的可靠性。

0
下载
关闭预览

相关内容

ACM/IEEE第23届模型驱动工程语言和系统国际会议,是模型驱动软件和系统工程的首要会议系列,由ACM-SIGSOFT和IEEE-TCSE支持组织。自1998年以来,模型涵盖了建模的各个方面,从语言和方法到工具和应用程序。模特的参加者来自不同的背景,包括研究人员、学者、工程师和工业专业人士。MODELS 2019是一个论坛,参与者可以围绕建模和模型驱动的软件和系统交流前沿研究成果和创新实践经验。今年的版本将为建模社区提供进一步推进建模基础的机会,并在网络物理系统、嵌入式系统、社会技术系统、云计算、大数据、机器学习、安全、开源等新兴领域提出建模的创新应用以及可持续性。 官网链接:http://www.modelsconference.org/
Linux导论,Introduction to Linux,96页ppt
专知会员服务
82+阅读 · 2020年7月26日
Keras François Chollet 《Deep Learning with Python 》, 386页pdf
专知会员服务
163+阅读 · 2019年10月12日
【SIGGRAPH2019】TensorFlow 2.0深度学习计算机图形学应用
专知会员服务
41+阅读 · 2019年10月9日
RL解决'BipedalWalkerHardcore-v2' (SOTA)
CreateAMind
31+阅读 · 2019年7月17日
强化学习的Unsupervised Meta-Learning
CreateAMind
18+阅读 · 2019年1月7日
meta learning 17年:MAML SNAIL
CreateAMind
11+阅读 · 2019年1月2日
disentangled-representation-papers
CreateAMind
26+阅读 · 2018年9月12日
Focal Loss for Dense Object Detection
统计学习与视觉计算组
12+阅读 · 2018年3月15日
国家自然科学基金
2+阅读 · 2015年12月31日
国家自然科学基金
46+阅读 · 2015年12月31日
国家自然科学基金
0+阅读 · 2014年12月31日
国家自然科学基金
1+阅读 · 2014年12月31日
Arxiv
69+阅读 · 2022年9月7日
Arxiv
21+阅读 · 2019年3月25日
VIP会员
相关资讯
RL解决'BipedalWalkerHardcore-v2' (SOTA)
CreateAMind
31+阅读 · 2019年7月17日
强化学习的Unsupervised Meta-Learning
CreateAMind
18+阅读 · 2019年1月7日
meta learning 17年:MAML SNAIL
CreateAMind
11+阅读 · 2019年1月2日
disentangled-representation-papers
CreateAMind
26+阅读 · 2018年9月12日
Focal Loss for Dense Object Detection
统计学习与视觉计算组
12+阅读 · 2018年3月15日
相关论文
相关基金
国家自然科学基金
2+阅读 · 2015年12月31日
国家自然科学基金
46+阅读 · 2015年12月31日
国家自然科学基金
0+阅读 · 2014年12月31日
国家自然科学基金
1+阅读 · 2014年12月31日
Top
微信扫码咨询专知VIP会员