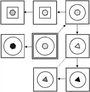
We consider the abstract relational reasoning task, which is commonly used as an intelligence test. Since some patterns have spatial rationales, while others are only semantic, we propose a multi-scale architecture that processes each query in multiple resolutions. We show that indeed different rules are solved by different resolutions and a combined multi-scale approach outperforms the existing state of the art in this task on all benchmarks by 5-54%. The success of our method is shown to arise from multiple novelties. First, it searches for relational patterns in multiple resolutions, which allows it to readily detect visual relations, such as location, in higher resolution, while allowing the lower resolution module to focus on semantic relations, such as shape type. Second, we optimize the reasoning network of each resolution proportionally to its performance, hereby we motivate each resolution to specialize on the rules for which it performs better than the others and ignore cases that are already solved by the other resolutions. Third, we propose a new way to pool information along the rows and the columns of the illustration-grid of the query. Our work also analyses the existing benchmarks, demonstrating that the RAVEN dataset selects the negative examples in a way that is easily exploited. We, therefore, propose a modified version of the RAVEN dataset, named RAVEN-FAIR. Our code and pretrained models are available at https://github.com/yanivbenny/MRNet.


翻译:我们认为,抽象的关系推理任务通常是一种情报测试。由于某些模式具有空间原理,而另一些则只是语义学,我们建议了一个多尺度的结构,在多个决议中处理每个问题。我们表明,事实上不同的规则是通过不同的决议解决的,而混合的多尺度方法则比所有基准任务的现有水平高5-54%。我们的方法的成功表现在多个新颖之处中。首先,我们寻求多个分辨率的关联模式,从而使其能够很容易地发现视觉关系,例如高分辨率的位置,同时允许低分辨率模块侧重于语义关系,例如形状类型。第二,我们优化每项决议的推理网络,使其与表现成正比,因此我们鼓励每个决议专门研究其表现优于其他基准的现有规则,并忽略其它决议已经解决的案例。第三,我们建议了一种新的方法,将信息汇集在查询的行和插列中,例如高分辨率的位置,同时允许低分辨率模块侧重于语义关系,同时允许低分辨率模块侧重于形状类型等语义关系。第二,我们优化了每项决议的推理网络的推理网络网络网络网络网络网络网络联系网络网络网络,以与其业绩成比例相称,因此,我们很容易地选择了RAVIR数据库的负面模型。我们用了RA-RA-RA-R-R-R-R-R-R-R-R-R-R-R-R-R-R-R-R-R-R-R-R-R-R-R-R-R-R-R-R-R-R-R-R-R-R-R-R-R-R-R-R-R-R-R-R-R-R-R-R-R-R-R-R-R-R-R-R-R-R-R-R-R-R-R-R-R-R-R-R-R-R-R-R-R-R-R-R-R-R-R-R-R-R-R-R-R-R-R-R-R-R-R-R-R-R-R-R-R-R-R-R-R-R-R-R-R-R-R-R-R-R-R-R-R-R-R-R-R-R-R-R

0
下载
关闭预览

相关内容

【Cell】神经算法推理,Neural algorithmic reasoning
专知会员服务
29+阅读 · 2021年7月16日
因果图,Causal Graphs,52页ppt
专知会员服务
253+阅读 · 2020年4月19日
专知会员服务
61+阅读 · 2020年3月19日
Stabilizing Transformers for Reinforcement Learning
专知会员服务
60+阅读 · 2019年10月17日
LibRec 精选:EfficientNet、XLNet 论文及代码实现
LibRec智能推荐
5+阅读 · 2019年7月9日
Hierarchically Structured Meta-learning
CreateAMind
27+阅读 · 2019年5月22日
Transferring Knowledge across Learning Processes
CreateAMind
29+阅读 · 2019年5月18日
无监督元学习表示学习
CreateAMind
27+阅读 · 2019年1月4日
Unsupervised Learning via Meta-Learning
CreateAMind
44+阅读 · 2019年1月3日
【跟踪Tracking】15篇论文+代码 | 中秋快乐~
专知
18+阅读 · 2018年9月24日
LibRec 精选:推荐的可解释性[综述]
LibRec智能推荐
10+阅读 · 2018年5月4日
(TensorFlow)实时语义分割比较研究
机器学习研究会
9+阅读 · 2018年3月12日
【泡泡一分钟】Matterport3D: 从室内RGBD数据集中训练 (3dv-22)
泡泡机器人SLAM
16+阅读 · 2017年12月31日
【推荐】全卷积语义分割综述
机器学习研究会
19+阅读 · 2017年8月31日
Arxiv
5+阅读 · 2019年8月22日
Arxiv
6+阅读 · 2018年1月29日
VIP会员
最新内容
“Maven计划”的发展演变之“Maven智能系统”应用
《无人机革命:来自俄乌战场的启示》(报告)
专知会员服务
4+阅读 · 今天6:48
《实现联合作战能力所需的技术》58页报告
专知会员服务
2+阅读 · 今天6:30
以色列运用人工智能优化空袭警报系统
专知会员服务
2+阅读 · 今天6:20
以色列在多条战线部署AI智能体
专知会员服务
3+阅读 · 今天6:12
2025年大语言模型进展报告
专知会员服务
15+阅读 · 4月25日
多智能体协作机制
专知会员服务
13+阅读 · 4月25日
非对称优势:美海军开发低成本反无人机技术
专知会员服务
9+阅读 · 4月25日
相关资讯
LibRec 精选:EfficientNet、XLNet 论文及代码实现
LibRec智能推荐
5+阅读 · 2019年7月9日
Hierarchically Structured Meta-learning
CreateAMind
27+阅读 · 2019年5月22日
Transferring Knowledge across Learning Processes
CreateAMind
29+阅读 · 2019年5月18日
无监督元学习表示学习
CreateAMind
27+阅读 · 2019年1月4日
Unsupervised Learning via Meta-Learning
CreateAMind
44+阅读 · 2019年1月3日
【跟踪Tracking】15篇论文+代码 | 中秋快乐~
专知
18+阅读 · 2018年9月24日
LibRec 精选:推荐的可解释性[综述]
LibRec智能推荐
10+阅读 · 2018年5月4日
(TensorFlow)实时语义分割比较研究
机器学习研究会
9+阅读 · 2018年3月12日
【泡泡一分钟】Matterport3D: 从室内RGBD数据集中训练 (3dv-22)
泡泡机器人SLAM
16+阅读 · 2017年12月31日
【推荐】全卷积语义分割综述
机器学习研究会
19+阅读 · 2017年8月31日
Top
微信扫码咨询专知VIP会员