The problem of recommender system is very popular with myriad available solutions. A novel approach that uses the link prediction problem in social networks has been proposed in the literature that model the typical user-item information as a bipartite network in which link prediction would actually mean recommending an item to a user. The standard recommender system methods suffer from the problems of sparsity and scalability. Since link prediction measures involve computations pertaining to small neighborhoods in the network, this approach would lead to a scalable solution to recommendation. One of the issues in this conversion is that link prediction problem is modelled as a binary classification task whereas the problem of recommender systems is solved as a regression task in which the rating of the link is to be predicted. We overcome this issue by predicting top k links as recommendations with high ratings without predicting the actual rating. Our work extends similar approaches in the literature by focusing on exploiting the probabilistic measures for link prediction. Moreover, in the proposed approach, prediction measures that utilize temporal information available on the links prove to be more effective in improving the accuracy of prediction. This approach is evaluated on the benchmark 'Movielens' dataset. We show that the usage of temporal probabilistic measures helps in improving the quality of recommendations. Temporal random-walk based measure T_Flow improves recommendation accuracy by 4% and Temporal cooccurrence probability measure improves prediction accuracy by 10% over item-based collaborative filtering method in terms of AUROC score.


翻译:推荐人系统的问题非常受欢迎,有各种各样的现有解决办法。文献中提出了一种新颖的方法,将社会网络中的预测问题联系起来,将典型用户项目信息作为典型用户项目信息建模成双方网络,其中链接预测实际上意味着向用户推荐一个项目。标准推荐人系统方法存在宽度和可缩放性问题。由于连接的预测措施涉及计算网络中小街区的计算,因此,这一方法将导致对建议作出可伸缩的解决办法。这种转换中的问题之一是,将预测问题作为二进制分类任务来模拟,而建议人系统的问题则作为一种回归任务来解决,其中要预测链接的评级。我们通过预测高K链接,将建议推荐给用户,而不预测实际评级,来解决这个问题。我们的工作扩展了文献中的类似方法,重点是利用网络中小街区的概率性预测措施。此外,在拟议方法中,利用链接上的现有时间信息的预测措施证明,在提高预测准确性方面更为有效。在基准“Movielens OC ” 中,将建议系统的问题作为倒退问题作为回归人系统的问题作为回归任务解决,其中的评级。我们通过高评级来解决这个问题,不用预测方法,我们用时间测量标准衡量标准标准标准标准标准标准,我们用的是改进了标准标准标准方法,改进了标准标准方法。我们使用。

0
下载
关闭预览

相关内容

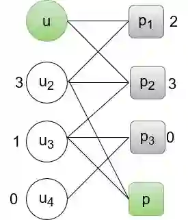
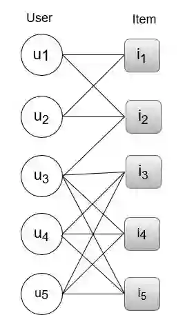
网络中的链路预测(Link Prediction)是指如何通过已知的网络节点以及网络结构等信息预测网络中尚未产生连边的两个节点之间产生链接的可能性。这种预测既包含了对未知链接(exist yet unknown links)的预测也包含了对未来链接(future links)的预测。该问题的研究在理论和应用两个方面都具有重要的意义和价值 。
【干货书】机器学习速查手册,135页pdf
专知会员服务
127+阅读 · 2020年11月20日
强化学习最新教程,17页pdf
专知会员服务
182+阅读 · 2019年10月11日
LibRec 精选:AutoML for Contextual Bandits
LibRec智能推荐
7+阅读 · 2019年9月19日
LibRec 精选:位置感知的长序列会话推荐
LibRec智能推荐
3+阅读 · 2019年5月17日
论文浅尝 | Interaction Embeddings for Prediction and Explanation
开放知识图谱
11+阅读 · 2019年2月1日
LibRec 精选:CCF TPCI 的推荐系统专刊征稿
LibRec智能推荐
4+阅读 · 2019年1月12日
LibRec 精选:推荐的可解释性[综述]
LibRec智能推荐
10+阅读 · 2018年5月4日
推荐中的序列化建模:Session-based neural recommendation
机器学习研究会
18+阅读 · 2017年11月5日
【推荐】YOLO实时目标检测(6fps)
机器学习研究会
20+阅读 · 2017年11月5日
【推荐】深度学习目标检测全面综述
机器学习研究会
21+阅读 · 2017年9月13日
Arxiv
0+阅读 · 2021年4月12日
Arxiv
92+阅读 · 2020年2月28日
Arxiv
23+阅读 · 2018年8月3日
Arxiv
6+阅读 · 2018年3月28日
Arxiv
8+阅读 · 2018年2月23日
VIP会员
最新内容
2026“人工智能+”行业发展蓝皮书(附下载)
专知会员服务
7+阅读 · 今天12:11
《强化学习数学基础》
专知会员服务
4+阅读 · 今天12:07
“Maven计划”的发展演变之“Maven智能系统”应用
《无人机革命:来自俄乌战场的启示》(报告)
专知会员服务
9+阅读 · 今天6:48
《实现联合作战能力所需的技术》58页报告
专知会员服务
5+阅读 · 今天6:30
以色列运用人工智能优化空袭警报系统
专知会员服务
5+阅读 · 今天6:20
以色列在多条战线部署AI智能体
专知会员服务
7+阅读 · 今天6:12
相关资讯
Top
微信扫码咨询专知VIP会员