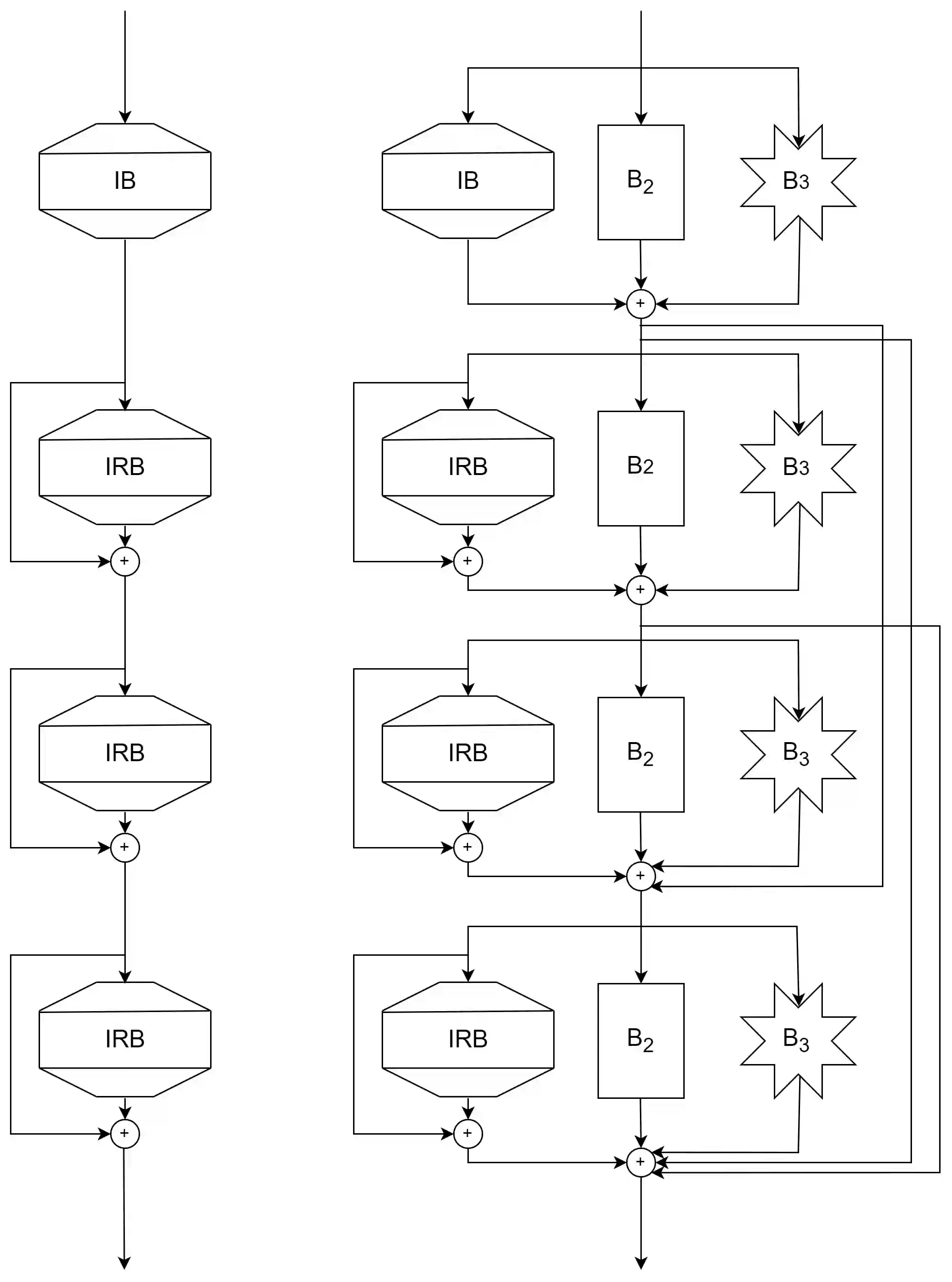
The use of Neural Architecture Search (NAS) techniques to automate the design of neural networks has become increasingly popular in recent years. The proliferation of devices with different hardware characteristics using such neural networks, as well as the need to reduce the power consumption for their search, has led to the realisation of Once-For-All (OFA), an eco-friendly algorithm characterised by the ability to generate easily adaptable models through a single learning process. In order to improve this paradigm and develop high-performance yet eco-friendly NAS techniques, this paper presents OFAv2, the extension of OFA aimed at improving its performance while maintaining the same ecological advantage. The algorithm is improved from an architectural point of view by including early exits, parallel blocks and dense skip connections. The training process is extended by two new phases called Elastic Level and Elastic Height. A new Knowledge Distillation technique is presented to handle multi-output networks, and finally a new strategy for dynamic teacher network selection is proposed. These modifications allow OFAv2 to improve its accuracy performance on the Tiny ImageNet dataset by up to 12.07% compared to the original version of OFA, while maintaining the algorithm flexibility and advantages.


翻译:近些年来,使用神经结构搜索(NAS)技术使神经网络设计自动化的做法越来越受欢迎。使用这种神经网络的硬件特性不同的装置扩散,以及需要减少搜索所需的能量消耗,已经实现了“一劳永逸”(OFA),这是一种生态友好的算法,其特点是能够通过单一的学习过程生成容易调整的模型。为了改进这一范式并开发高性能但又有利于生态的NAS技术,本文件介绍了OFA2, 扩大OFA的目的是在保持同样的生态优势的同时改进其性能。算法从建筑学角度改进了,包括早期输出、平行区块和密集跳过连接。培训过程通过两个新的阶段得到扩展,即“一劳永逸”(OFA)和“一劳永续”(Evalic Height),提出了新的知识蒸馏技术,以处理多功能网络,最后提出了动态教师网络选择的新战略。这些修改使OFAV2提高了其小图像网络数据集的准确性性能,比原始版本高12.07 %,同时保持灵活性和优势。

0
下载
关闭预览

相关内容

跳跃连接可以解决网络层数较深的情况下梯度消失的问题,同时有助于梯度的反向传播,加快训练过程。
强化学习最新教程,17页pdf
专知会员服务
182+阅读 · 2019年10月11日
机器学习入门的经验与建议
专知会员服务
94+阅读 · 2019年10月10日
【哈佛大学商学院课程Fall 2019】机器学习可解释性
专知会员服务
105+阅读 · 2019年10月9日
VCIP 2022 Call for Demos
CCF多媒体专委会
1+阅读 · 2022年6月6日
征稿 | CFP:Special Issue of NLP and KG(JCR Q2,IF2.67)
开放知识图谱
1+阅读 · 2022年4月4日
Hierarchically Structured Meta-learning
CreateAMind
27+阅读 · 2019年5月22日
Transferring Knowledge across Learning Processes
CreateAMind
29+阅读 · 2019年5月18日
强化学习的Unsupervised Meta-Learning
CreateAMind
18+阅读 · 2019年1月7日
无监督元学习表示学习
CreateAMind
27+阅读 · 2019年1月4日
Unsupervised Learning via Meta-Learning
CreateAMind
44+阅读 · 2019年1月3日
A Technical Overview of AI & ML in 2018 & Trends for 2019
待字闺中
18+阅读 · 2018年12月24日
disentangled-representation-papers
CreateAMind
26+阅读 · 2018年9月12日
国家自然科学基金
0+阅读 · 2014年12月31日
国家自然科学基金
0+阅读 · 2013年12月31日
国家自然科学基金
0+阅读 · 2012年12月31日
国家自然科学基金
0+阅读 · 2012年12月31日
国家自然科学基金
0+阅读 · 2011年12月31日
国家自然科学基金
0+阅读 · 2011年12月31日
国家自然科学基金
0+阅读 · 2009年12月31日
Meta-Learning with Implicit Gradients
Arxiv
13+阅读 · 2019年9月10日
VIP会员
最新内容
《美陆军条例:陆军指挥政策(2026版)》
专知会员服务
0+阅读 · 3分钟前
《军用自主人工智能系统的治理与安全》
专知会员服务
0+阅读 · 11分钟前
《系统簇式多域作战规划范畴论框架》
专知会员服务
6+阅读 · 4月20日
高效视频扩散模型:进展与挑战
专知会员服务
2+阅读 · 4月20日
乌克兰前线的五项创新
专知会员服务
7+阅读 · 4月20日
 军事通信系统与设备的技术演进综述
专知会员服务
5+阅读 · 4月20日
《北约标准:医疗评估手册》174页
专知会员服务
5+阅读 · 4月20日
相关资讯
VCIP 2022 Call for Demos
CCF多媒体专委会
1+阅读 · 2022年6月6日
征稿 | CFP:Special Issue of NLP and KG(JCR Q2,IF2.67)
开放知识图谱
1+阅读 · 2022年4月4日
Hierarchically Structured Meta-learning
CreateAMind
27+阅读 · 2019年5月22日
Transferring Knowledge across Learning Processes
CreateAMind
29+阅读 · 2019年5月18日
强化学习的Unsupervised Meta-Learning
CreateAMind
18+阅读 · 2019年1月7日
无监督元学习表示学习
CreateAMind
27+阅读 · 2019年1月4日
Unsupervised Learning via Meta-Learning
CreateAMind
44+阅读 · 2019年1月3日
A Technical Overview of AI & ML in 2018 & Trends for 2019
待字闺中
18+阅读 · 2018年12月24日
disentangled-representation-papers
CreateAMind
26+阅读 · 2018年9月12日
相关基金
国家自然科学基金
0+阅读 · 2014年12月31日
国家自然科学基金
0+阅读 · 2013年12月31日
国家自然科学基金
0+阅读 · 2012年12月31日
国家自然科学基金
0+阅读 · 2012年12月31日
国家自然科学基金
0+阅读 · 2011年12月31日
国家自然科学基金
0+阅读 · 2011年12月31日
国家自然科学基金
0+阅读 · 2009年12月31日
Top
微信扫码咨询专知VIP会员