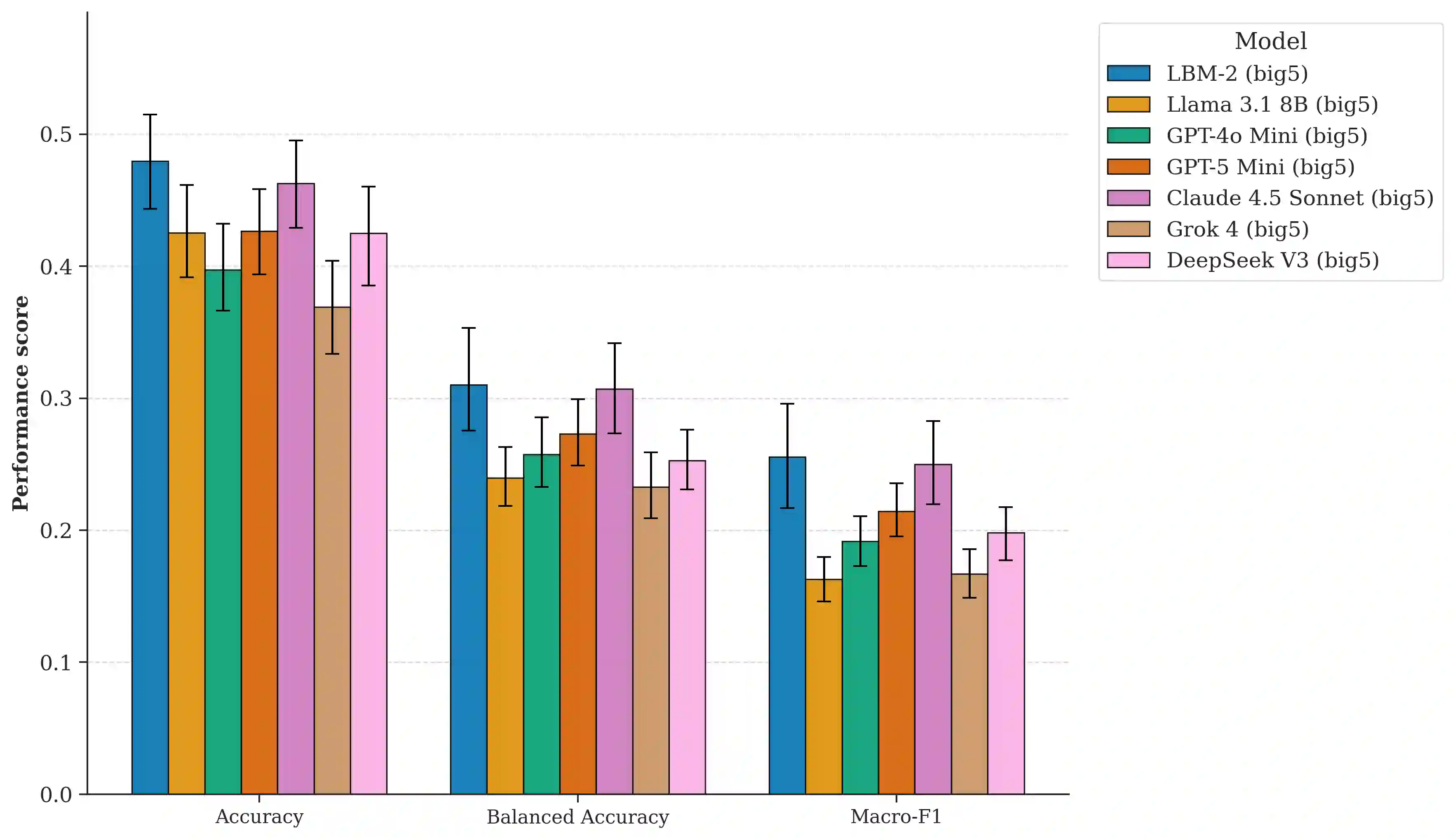
Predicting human decision-making in high-stakes environments remains a central challenge for artificial intelligence. While large language models (LLMs) demonstrate strong general reasoning, they often struggle to generate consistent, individual-specific behavior, particularly when accurate prediction depends on complex interactions between psychological traits and situational constraints. Prompting-based approaches can be brittle in this setting, exhibiting identity drift and limited ability to leverage increasingly detailed persona descriptions. To address these limitations, we introduce the Large Behavioral Model (LBM), a behavioral foundation model fine-tuned to predict individual strategic choices with high fidelity. LBM shifts from transient persona prompting to behavioral embedding by conditioning on a structured, high-dimensional trait profile derived from a comprehensive psychometric battery. Trained on a proprietary dataset linking stable dispositions, motivational states, and situational constraints to observed choices, LBM learns to map rich psychological profiles to discrete actions across diverse strategic dilemmas. In a held-out scenario evaluation, LBM fine-tuning improves behavioral prediction relative to the unadapted Llama-3.1-8B-Instruct backbone and performs comparably to frontier baselines when conditioned on Big Five traits. Moreover, we find that while prompting-based baselines exhibit a complexity ceiling, LBM continues to benefit from increasingly dense trait profiles, with performance improving as additional trait dimensions are provided. Together, these results establish LBM as a scalable approach for high-fidelity behavioral simulation, enabling applications in strategic foresight, negotiation analysis, cognitive security, and decision support.


翻译:在高风险环境中预测人类决策仍然是人工智能的核心挑战。尽管大型语言模型(LLM)展现出强大的通用推理能力,但在生成一致且个体特异的行为方面仍存在困难,尤其当准确预测依赖于心理特质与情境约束间的复杂交互时。基于提示的方法在此场景下表现脆弱,存在身份漂移问题,且难以有效利用日益详细的人物描述。为克服这些局限,我们提出了大型行为模型(LBM)——一种经过微调的行为基础模型,旨在实现高保真的个体战略选择预测。LBM通过基于结构化高维特质剖面进行条件化生成,实现了从瞬时人物提示向行为嵌入的范式转变,该特质剖面源自综合心理测量指标体系。通过在关联稳定倾向、动机状态、情境约束与观测选择的专有数据集上进行训练,LBM学会了将丰富的心理特征映射到多样化战略困境中的离散行为。在留出式场景评估中,相较于未适配的Llama-3.1-8B-Instruct骨干模型,LBM微调显著提升了行为预测性能;当以大五人格特质为条件时,其表现与前沿基线模型相当。此外,我们发现基于提示的基线方法存在复杂度上限,而LBM能够持续受益于日益密集的特质剖面,随着额外特质维度的加入,其预测性能持续提升。综上,这些成果确立了LBM作为高保真行为模拟的可扩展方法,为战略预见、谈判分析、认知安全及决策支持等应用领域提供了新的可能性。

0
下载
关闭预览

相关内容

AgentOps综述:分类、挑战与未来方向
专知会员服务
38+阅读 · 2025年8月6日
基于大型语言模型的人机系统综述
专知会员服务
26+阅读 · 2025年5月12日
结合知识增强的大型语言模型复杂问题求解综述
专知会员服务
16+阅读 · 2025年5月7日
《基于大语言模型的军事不确定场景决策:模拟研究》
专知会员服务
52+阅读 · 2025年4月26日
《以人为中心的大型语言模型(LLM)研究综述》
专知会员服务
41+阅读 · 2024年11月25日
重新思考不确定性:大语言模型时代的关键综述与分析
专知会员服务
39+阅读 · 2024年11月20日
《人工智能安全测评白皮书》,99页pdf
专知
36+阅读 · 2022年2月26日
用深度学习揭示数据的因果关系
专知
28+阅读 · 2019年5月18日
国家自然科学基金
4+阅读 · 2015年12月31日
国家自然科学基金
0+阅读 · 2015年12月31日
国家自然科学基金
3+阅读 · 2015年12月31日
国家自然科学基金
2+阅读 · 2015年12月31日
国家自然科学基金
6+阅读 · 2015年12月31日
国家自然科学基金
1+阅读 · 2015年12月31日
国家自然科学基金
43+阅读 · 2014年12月31日
国家自然科学基金
6+阅读 · 2014年12月31日
国家自然科学基金
0+阅读 · 2014年12月31日
国家自然科学基金
4+阅读 · 2014年12月31日
VIP会员
最新内容
战略前沿人工智能的再思考(中文)
专知会员服务
4+阅读 · 5月29日
《量化地基防空系统间接效应的博弈论方法》
专知会员服务
4+阅读 · 5月29日
“史诗怒火行动”中美军损失的作战飞机
专知会员服务
4+阅读 · 5月29日
ICML 2026 | 理解上下文持续学习中的泛化与遗忘
专知会员服务
5+阅读 · 5月28日
Agent Harness综述:大模型智能体执行器工程全景
专知会员服务
14+阅读 · 5月28日
《基于理论的威慑效能评估》
专知会员服务
8+阅读 · 5月28日
相关VIP内容
相关基金
国家自然科学基金
4+阅读 · 2015年12月31日
国家自然科学基金
0+阅读 · 2015年12月31日
国家自然科学基金
3+阅读 · 2015年12月31日
国家自然科学基金
2+阅读 · 2015年12月31日
国家自然科学基金
6+阅读 · 2015年12月31日
国家自然科学基金
1+阅读 · 2015年12月31日
国家自然科学基金
43+阅读 · 2014年12月31日
国家自然科学基金
6+阅读 · 2014年12月31日
国家自然科学基金
0+阅读 · 2014年12月31日
国家自然科学基金
4+阅读 · 2014年12月31日
Top
微信扫码咨询专知VIP会员