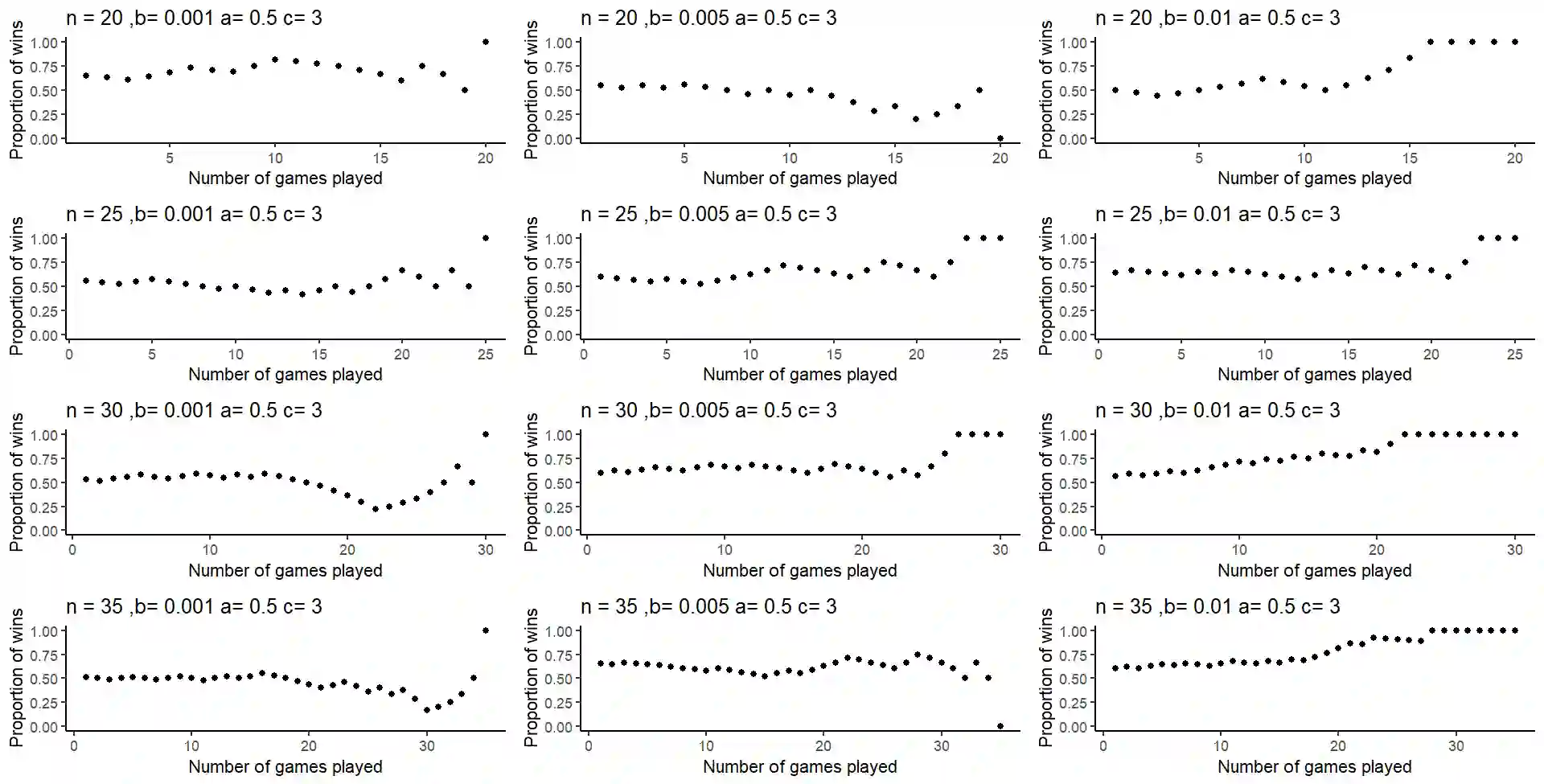
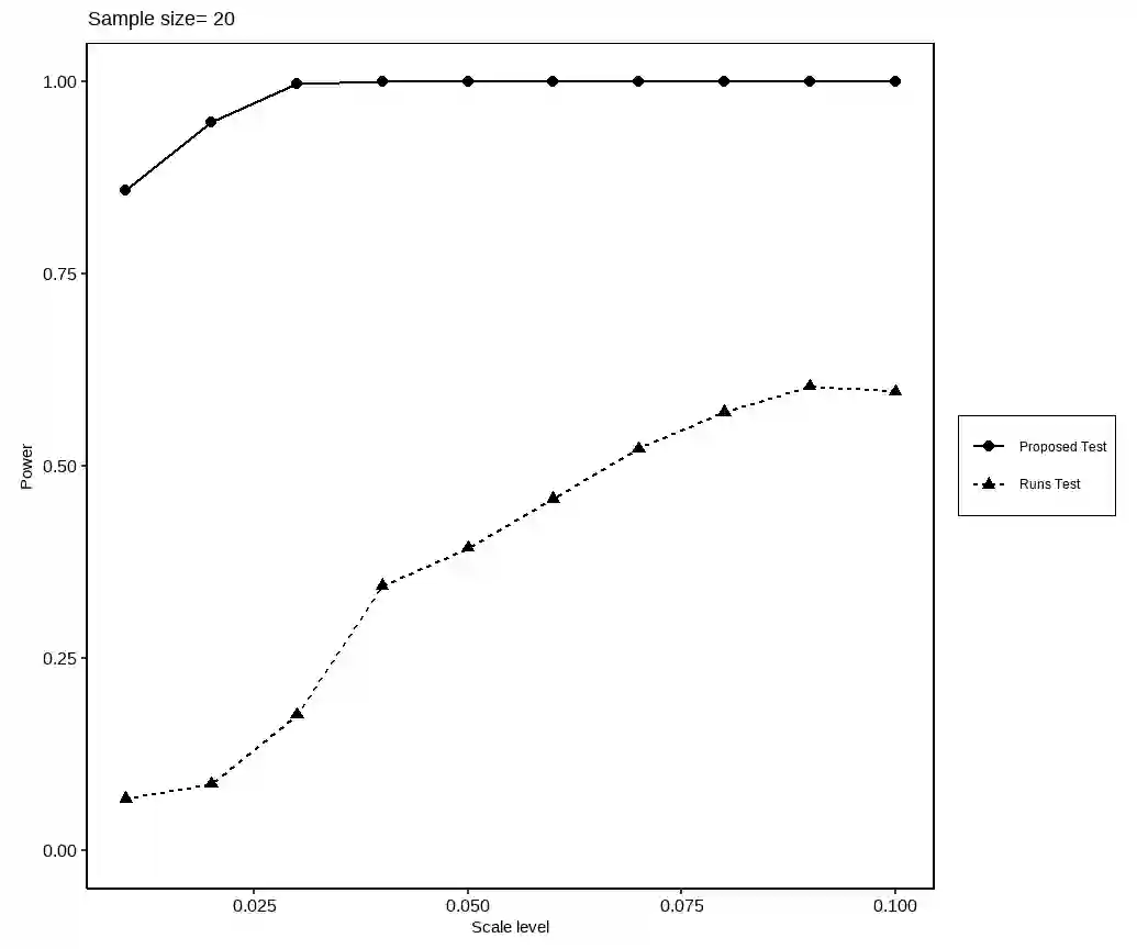
In many circumstances given an ordered sequence of one or more types of elements/ symbols, the objective is to determine any existence of randomness in occurrence of one of the elements,say type 1 element. Such a method can be useful in determining existence of any non-random pattern in the wins or loses of a player in a series of games played. Existing methods of tests based on total number of runs or tests based on length of longest run (Mosteller (1941)) can be used for testing the null hypothesis of randomness in the entire sequence, and not a specific type of element. Additionally, the Runs Test tends to show results contradictory to the intuition visualised by the graphs of say, win proportions over time due to method used in computation of runs. This paper develops a test approach to address this problem by computing the gaps between two consecutive type 1 elements and thereafter following the idea of "pattern" in occurrence and "directional" trend (increasing, decreasing or constant), employs the use of exact Binomial test, Kenall's Tau and Siegel-Tukey test for scale problem. Further modifications suggested by Jan Vegelius(1982) have been applied in the Siegel Tukey test to adjust for tied ranks and achieve more accurate results. This approach is distribution-free and suitable for small sizes. Also comparisons with the conventional runs test shows the superiority of the proposed approach under the null hypothesis of randomness in the occurrence of type 1 elements.


翻译:在许多情况下,给定一个由一种或多种类型元素/符号组成的有序序列,目标是确定其中某一类元素(例如类型1元素)出现时是否存在随机性。这类方法可用于判断玩家在一系列比赛中胜负结果是否存在非随机模式。现有基于游程总数或最长游程长度的检验方法(Mosteller, 1941)仅适用于检验整个序列的随机性原假设,而无法针对特定类型元素。此外,由于游程计算方式的差异,游程检验的结果往往与直观观察(例如随时间变化的胜率图)相矛盾。本文提出一种解决该问题的检验方法:首先计算连续类型1元素之间的间隔,随后基于“模式”出现与“方向性”趋势(递增、递减或恒定)的概念,采用精确二项检验、Kendall's Tau 及 Siegel-Tukey 尺度检验。在 Siegel-Tukey 检验中,应用了 Jan Vegelius(1982)提出的改进方案以处理秩次结(ties)并获得更精确结果。该方法无分布假设且适用于小样本。与传统游程检验的对比表明,在类型1元素出现的随机性原假设下,本方法具有更优性能。

0
下载
关闭预览

相关内容

【ACL2020】多模态信息抽取,365页ppt
专知会员服务
151+阅读 · 2020年7月6日
FlowQA: Grasping Flow in History for Conversational Machine Comprehension
专知会员服务
34+阅读 · 2019年10月18日
Keras François Chollet 《Deep Learning with Python 》, 386页pdf
专知会员服务
164+阅读 · 2019年10月12日
强化学习最新教程,17页pdf
专知会员服务
182+阅读 · 2019年10月11日
【SIGGRAPH2019】TensorFlow 2.0深度学习计算机图形学应用
专知会员服务
41+阅读 · 2019年10月9日
学习自然语言处理路线图
专知会员服务
140+阅读 · 2019年9月24日
RL解决'BipedalWalkerHardcore-v2' (SOTA)
CreateAMind
31+阅读 · 2019年7月17日
强化学习的Unsupervised Meta-Learning
CreateAMind
18+阅读 · 2019年1月7日
meta learning 17年:MAML SNAIL
CreateAMind
11+阅读 · 2019年1月2日
利用动态深度学习预测金融时间序列基于Python
量化投资与机器学习
18+阅读 · 2018年10月30日
disentangled-representation-papers
CreateAMind
26+阅读 · 2018年9月12日
STRCF for Visual Object Tracking
统计学习与视觉计算组
15+阅读 · 2018年5月29日
Focal Loss for Dense Object Detection
统计学习与视觉计算组
12+阅读 · 2018年3月15日
IJCAI | Cascade Dynamics Modeling with Attention-based RNN
KingsGarden
13+阅读 · 2017年7月16日
国家自然科学基金
2+阅读 · 2015年12月31日
国家自然科学基金
0+阅读 · 2015年12月31日
国家自然科学基金
1+阅读 · 2015年12月31日
国家自然科学基金
2+阅读 · 2015年12月31日
国家自然科学基金
0+阅读 · 2015年12月31日
国家自然科学基金
0+阅读 · 2014年12月31日
国家自然科学基金
0+阅读 · 2014年12月31日
国家自然科学基金
0+阅读 · 2014年12月31日
国家自然科学基金
0+阅读 · 2014年12月31日
国家自然科学基金
3+阅读 · 2014年12月31日
VIP会员
最新内容
BES:让语言模型通过双向进化搜索自我改进
专知会员服务
3+阅读 · 5月30日
以色列-美国-伊朗战争中的无人机:关键要点
专知会员服务
4+阅读 · 5月30日
《Palantir任务保障性软件安全标准(MA-S2)》
专知会员服务
12+阅读 · 5月30日
基于声学的无人机检测技术综述
专知会员服务
8+阅读 · 5月30日
《当代混合战争分析框架:俄乌战争经验教训》
战略前沿人工智能的再思考(中文)
专知会员服务
8+阅读 · 5月29日
《量化地基防空系统间接效应的博弈论方法》
专知会员服务
6+阅读 · 5月29日
相关资讯
RL解决'BipedalWalkerHardcore-v2' (SOTA)
CreateAMind
31+阅读 · 2019年7月17日
强化学习的Unsupervised Meta-Learning
CreateAMind
18+阅读 · 2019年1月7日
meta learning 17年:MAML SNAIL
CreateAMind
11+阅读 · 2019年1月2日
利用动态深度学习预测金融时间序列基于Python
量化投资与机器学习
18+阅读 · 2018年10月30日
disentangled-representation-papers
CreateAMind
26+阅读 · 2018年9月12日
STRCF for Visual Object Tracking
统计学习与视觉计算组
15+阅读 · 2018年5月29日
Focal Loss for Dense Object Detection
统计学习与视觉计算组
12+阅读 · 2018年3月15日
IJCAI | Cascade Dynamics Modeling with Attention-based RNN
KingsGarden
13+阅读 · 2017年7月16日
相关基金
国家自然科学基金
2+阅读 · 2015年12月31日
国家自然科学基金
0+阅读 · 2015年12月31日
国家自然科学基金
1+阅读 · 2015年12月31日
国家自然科学基金
2+阅读 · 2015年12月31日
国家自然科学基金
0+阅读 · 2015年12月31日
国家自然科学基金
0+阅读 · 2014年12月31日
国家自然科学基金
0+阅读 · 2014年12月31日
国家自然科学基金
0+阅读 · 2014年12月31日
国家自然科学基金
0+阅读 · 2014年12月31日
国家自然科学基金
3+阅读 · 2014年12月31日
Top
微信扫码咨询专知VIP会员