AAAI2020 | DIoU和CIoU:IoU在目标检测中的正确打开方式

2020 年 1 月 17 日 CVer

点击上方“CVer”,选择加"星标"或“置顶”

重磅干货,第一时间送达

本文授权转载自:晓飞的算法工程笔记

论文提出了IoU-based的DIoU loss和CIoU loss,以及建议使用DIoU-NMS替换经典的NMS方法,充分地利用IoU的特性进行优化。并且方法能够简单地迁移到现有的算法中带来性能的提升,实验在YOLOv3上提升了5.91mAP,值得学习

论文:Distance-IoU Loss: Faster and Better Learning for Bounding Box Regression

  • 论文地址:https://arxiv.org/abs/1911.08287
  • 代码地址:https://github.com/Zzh-tju/DIoU

Introduction


IoU

  IoU是目标检测里面很重要的一个指标,通过预测的框和GT间的交集与并集的比例进行计算,经常用于评价bbox的优劣 。但一般对bbox的精调都采用L2范数,而一些研究表明这不是最优化IoU的方法,因此出现了IoU loss

IoU loss

  IoU loss顾名思义就是直接通过IoU计算梯度进行回归,论文提到IoU loss的无法避免的缺点:当两个box无交集时,IoU=0,很近的无交集框和很远的无交集框的输出一样,这样就失去了梯度方向,无法优化。IoU loss的实现形式有很多种,除公式2外,还有UnitBox的交叉熵形式和IoUNet的Smooth-L1形式
  这里论文主要讨论的类似YOLO的检测网络,按照GT是否在cell判断当前bbox是否需要回归,所以可能存在无交集的情况。而一般的two stage网络,在bbox regress的时候都会卡 ,不会对无交集的框进行回归

GIoU loss

   GIou loss在IoU loss的基础上增加一个惩罚项, 为包围预测框 的最小区域大小,当bbox的距离越大时,惩罚项将越大

   尽管GIoU解决了IoU的梯度问题,但他仍然存在几个限制:

  • 如图1所示,在训练过程中,GIoU倾向于先增大bbox的大小来增大与GT的交集,然后通过公式3的IoU项引导最大化bbox的重叠区域
  • 如图2中的包含情况,GIoU会退化成IoU
  • 由于很大程度依赖IoU项,GIoU需要更多的迭代次数来收敛,特别是水平和垂直的bbox(后面会分析)。一般地,GIoU loss不能很好地收敛SOTA算法,反而造成不好的结果

DIoU

  综合上面的分析,论文提出Distance-IoU(DIoU) loss,简单地在IoU loss基础上添加一个惩罚项,该惩罚项用于最小化两个bbox的中心点距离。如图1所示,DIoU收敛速度和效果都很好,而且DIoU能够用于NMS的计算中,不仅考虑了重叠区域,还考虑了中心点距离。另外,论文考虑bbox的三要素,重叠区域,中心点距离和长宽比,进一步提出了Complete IoU(CIoU) loss,收敛更快,效果更好

Analysis to IoU and GIoU Losses


  为了全面地分析IoU loss和GIoU的性能,论文进行了模拟实验,模拟不同的距离、尺寸和长宽比的bbox的回归情况

Simulation Experiment

  如图3所示,实验选择7个不同长宽比(1:4, 1:3, 1:2, 1:1, 2:1, 3:1, 4:1)的单元box(area=1)作为GT,单元框的中心点固定在(7, 7),而实验共包含5000 x 7 x 7个bbox,且分布是均匀的:

  • Distance:在中心点半径3的范围内均匀分布5000中心点,每个点带上7种scales和7种长宽比
  • Scale:每个中心点的尺寸分别为0.5, 0.67, 0.75, 1, 1.33, 1.5, 2
  • Aspect ratio:每个中心点的长宽比(=为1:4, 1:3, 1:2, 1:1, 2:1, 3:1, 4:1

  给定一个loss函数 ,可以通过梯度下降来模拟bbox优化的过程。对于预测的bbox 阶段的结果, 的梯度,使用 来加速收敛。bbox的优化评价使用 -norm,共训练200轮,error曲线如图3b所示

Limitations of IoU and GIoU Losses

  论文将5000个中心点上的bbox在最后阶段的total error进行了可视化。IoU loss只对与target box有交集的bbox有效,因为无交集的bbox的 为0。而GIoU由于增加了惩罚函数,盆地区域明显增大,但是垂直和水平的区域依然保持着高错误率,这是由于GIoU的惩罚项经常很小甚至为0,导致训练需要更多的迭代来收敛

The Proposed Method


  一般而言,IoU-based loss可以定义为公式5, 是预测box 的惩罚项

Distance-IoU Loss

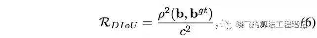
  论文提出了能减少两个box中心点间的距离的惩罚项, 分别表示 的中心点。 是欧氏距离, 是最小包围两个bbox的框的对角线长度

  DIoU loss的完全定义如公式7

  DIoU loss的惩罚项能够直接最小化中心点间的距离,而GIoU loss意在减少外界包围框的面积   DIoU loss保留了IoU loss和GIoU loss的一些属性:

  • DIoU loss依然是尺寸无关的,不会大尺寸产生大的loss,小尺寸产生小的loss那样
  • 类似于GIoU loss,DIoU loss能够为无交集的bbox提供梯度方向
  • 当bbox完全重合时, ,当bbox很远时,

  在模拟实验中,发现DIoU loss也有一些独有的属性:

  • 如图1和图3所示,DIoU loss能够直接最小化bbox的中心点距离。因此,他的收敛很快
  • 在包含的情况下,或垂直和水平的情况下,DIoU loss的收敛非常快,而GIoU loss则几乎退化成了IoU loss

Complete IoU loss

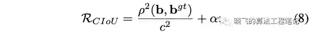
  论文考虑到bbox回归三要素中的长宽比还没被考虑到计算中,因此,进一步在DIoU的基础上提出了CIoU。其惩罚项如公式8,其中 是权重函数,而 用来度量长宽比的相似性

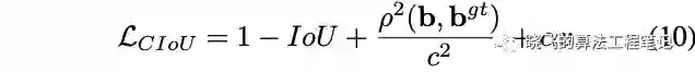
  完整的损失函数定义如公式10

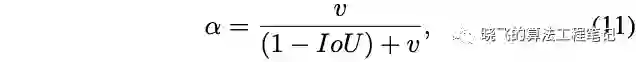
   的定义如公式11,重叠区域能够控制权重的大小

  最后,CIoU loss的梯度类似于DIoU loss,但还要考虑 的梯度。在长宽在 的情况下, 的值通常很小,会导致梯度爆炸,因此在实现时将 替换成1

Non-Maximum Suppression using DIoU

  在原始的NMS中,IoU指标用于抑制多余的检测框,但由于仅考虑了重叠区域,经常会造成错误的抑制,特别是在bbox包含的情况下。因此,可以使用DIoU作为NMS的标准,不仅考虑重叠区域,还考虑了中心点距离

  其中 是分类置信度, 为NMS阈值, 为最高置信度的框。DIoU-NMS倾向于中心点距离较远的box存在不同的对象,而且仅需改几行代码,DIoU-NMS就能够很简单地集成到目标检测算法中

Experimental Results


YOLO v3 on PASCAL VOC

  在YOLOv3上进行实验对比,DIoU loss和CIoU的效果都很显著,mAP分别提升3.29%和5.67%,而AP75则分别提升6.40%和8.43%,而使用DIoU-NMS则能进一步提升,幅度达到5.91%和9.88%

SSD on PASCAL VOC

  在SSD-FPN上进行实验对比,因为本身模型已经精度很好了,DIoU loss和CIoU的效果不是很显著,但仍有提升。mAP分别提升0.59%和0.84%,而AP75则分别提升1.77%和2.59%,而使用DIoU-NMS则能进一步提升效果

Faster R-CNN on MS COCO

  在Faster R-CNN ResNet-50-FPN上,由于Faster R-CNN本身提供的bbox质量都比较高(即在图4的盆地),因此,GIoU的优化都很小,但此时DIoU和CIoU则表现了不错的优化效果。注意到,CIoU在小物体上的性能都有所下降,可能由于长宽比对小物体的检测贡献不大,因为此时中心点比长宽比重要

  图7对GIoU和CIoU的结果进行了可视化,可以看到,在中大型物体检测上,CIoU的结果比GIoU要准确

Discussion on DIoU-NMS

  如图8所示,DIoU-NMS能够更好地引导bbox的消除

  为了进一步验证DIoU-NMS的效果,进行了对比实验。如图9所示,DIoU-NMS的整体性能都比原生的NMS效果要好

Conclusion


  论文提出了两种新的IoU-based损失函数,DIoU loss和CIoU loss:DIoU loss最小化bbox间的中心点距离,从而使得函数快速收敛;CIoU loss则在DIoU loss的基础上加入长宽比的考量,能够进一步地快速收敛和提升性能。另外论文提出DIoU-NMS来代替原生的NMS,充分地利用IoU的特性进行优化,从实验结果来看,效果也是很好的

重磅!CVer-目标检测交流群已成立


扫码可添加CVer助手,可申请加入CVer大群和细分方向群,细分方向已涵盖:目标检测、图像分割、目标跟踪、人脸检测&识别、OCR、姿态估计、超分辨率、SLAM、医疗影像、Re-ID、GAN、NAS、深度估计、自动驾驶、强化学习、车道线检测、模型剪枝&压缩、去噪、去雾、去雨、风格迁移、遥感图像、行为识别、视频理解、图像融合、图像检索等群。


一定要备注:研究方向+地点+学校/公司+昵称(如目标检测+上海+上交+卡卡),根据格式备注,可更快被通过且邀请进群

▲长按加群


▲长按关注我们

麻烦给我一个在看!

登录查看更多
0

相关内容

【CVPR2020】跨模态哈希的无监督知识蒸馏
专知会员服务
61+阅读 · 2020年6月25日
少标签数据学习,54页ppt
专知会员服务
205+阅读 · 2020年5月22日
3D目标检测进展综述
专知会员服务
193+阅读 · 2020年4月24日
CVPR 2019:精确目标检测的不确定边界框回归
AI科技评论
13+阅读 · 2019年9月16日
CVPR 2018|Cascade R-CNN:向高精度目标检测器迈进
极市平台
10+阅读 · 2018年7月20日
从YOLOv1到YOLOv3,目标检测的进化之路
AI100
9+阅读 · 2018年6月4日
Soft-NMS – Improving Object Detection With One Line of Code
统计学习与视觉计算组
6+阅读 · 2018年3月30日
论文 | 用于密集对象检测的 Focal Loss 函数
七月在线实验室
9+阅读 · 2018年1月4日
Arxiv
6+阅读 · 2018年7月9日
Arxiv
8+阅读 · 2018年5月17日
Arxiv
5+阅读 · 2018年5月16日
Arxiv
7+阅读 · 2018年1月24日
VIP会员
最新内容
《美陆军条例:陆军指挥政策(2026版)》
专知会员服务
3+阅读 · 今天8:10
《军用自主人工智能系统的治理与安全》
专知会员服务
3+阅读 · 今天8:02
《系统簇式多域作战规划范畴论框架》
专知会员服务
7+阅读 · 4月20日
高效视频扩散模型:进展与挑战
专知会员服务
3+阅读 · 4月20日
乌克兰前线的五项创新
专知会员服务
7+阅读 · 4月20日
 军事通信系统与设备的技术演进综述
专知会员服务
6+阅读 · 4月20日
《北约标准:医疗评估手册》174页
专知会员服务
5+阅读 · 4月20日
相关资讯
CVPR 2019:精确目标检测的不确定边界框回归
AI科技评论
13+阅读 · 2019年9月16日
CVPR 2018|Cascade R-CNN:向高精度目标检测器迈进
极市平台
10+阅读 · 2018年7月20日
从YOLOv1到YOLOv3,目标检测的进化之路
AI100
9+阅读 · 2018年6月4日
Soft-NMS – Improving Object Detection With One Line of Code
统计学习与视觉计算组
6+阅读 · 2018年3月30日
论文 | 用于密集对象检测的 Focal Loss 函数
七月在线实验室
9+阅读 · 2018年1月4日
Top
微信扫码咨询专知VIP会员