找到反例!博士后数学家推翻困扰数学界80多年的单位猜想

2021 年 5 月 3 日 机器之心
选自Quanta Magazine
作者:Erica Klarreich
机器之心编译
强大的理论本身就有其美丽和优雅,但如果一切都是死板的,那岂不是非常枯燥?


近日,一位名为 Giles Gardam 的博士后数学家就单位猜想(unit conjecture)的问题进行了一场在线讲座。他仔细地阐述了该猜想的发展历程,并解释了其与强大代数机制「K 理论」之间的联系。然后,在演讲的最后几分钟,他推翻了令人困惑 80 多年的单位猜想。


Giles Gardam

Gardam 首先抛出一个比较简单的问题:在一个广泛的代数结构族中,哪些元素具有乘法逆元(multiplicative inverses)呢?

乘法逆元是成对存在的,例如 7 和 1/7,它们相乘得 1。但是单位猜想涉及的是 “群代数” 中的元素的乘法逆元。其中,「群代数」是一种将数字系统与一个群结合起来的结构。

早在八十多年前,数学家们就曾猜想过,这种结构只有最简单的元素才能具有乘法逆元。后来,20 世纪中叶的研究人员使用大量的纸笔计算,试图寻找具有乘法逆元的更复杂元素,但他们最终没能证明这一猜想或是提出反例。

牛津大学的 Dawid Kielak 说:“在过去的几十年中,单位猜想及两个联合猜想被视为 “令人绝望的东西”。” 许多数学家放弃证明这三个猜想。如今,来自明斯特大学的 Gardam 通过在特定三维晶体学形状的对称性基础上建立群代数,找到了反例“单位”,即具有乘法逆元的元素,推翻了单位猜想,并发表了一篇论文说明找到的反例。


论文地址:https://arxiv.org/abs/2102.11818


“这是一项了不起的工作”,南安普顿大学的 Peter Kropholler 称赞道。现在,研究人员的主要目标将是理解 Gardam 的 “复杂单位” 背后的原理。Kielak 表示:“这非常令人兴奋,我们看到了新的希望,一切皆有可能。”


难以预测的抵消


单位猜想借助了群论的通用性,该理论研究与 “两个元素“相乘” 以获得新元素”有关的一些理论概念。只要乘法操作表现得当,一个集合成为群将只需要两个要求:(1)该集合必须包含一个特殊元素(通常标记为“ 1”),当它与其他元素相乘时,保持其他元素不变;(2)每个元素 g 必须具有一个乘法逆元(写为 g−1),使得 g 乘 g−1 等于 1。


群的世界是庞大的,包含矩阵群、对称变换群、物理学和密码学等领域的群。在许多群中,只存在一种有意义的算术运算。但矩阵不同,除了乘法运算,矩阵还可以进行加法、数乘等运算。矩阵是理解线性对象和变换的关键,因此数学家和物理学家经常通过将群元素表示为矩阵的方法研究与群有关的理论。

大约一个世纪前,群论学家提出问题:“如果我们要以矩阵的形式表示群的元素,为什么不将矩阵的某些特殊属性封装在原始群的结构中呢?具体地讲,为什么不把群元素相加或把它们与某个数字系统的系数相乘呢?例如,如果 a 和 b 是两个群元素,那至少可以写下 12a + 7b 或 4a3 − 2ab2 这样的和。

这些和对于原始群而言通常并没有意义,但这并不妨碍对这种形式的和进行代数运算。数学家称这种形式的和的集合为“群代数”,而这种将群和系数数字系统编织在一起的结构,如 Gardam 在邮件中所说,“它将关于群的矩阵表示的信息打包在了一起”。

在许多方面,群代数中的元素类似于高中代数中熟悉的多项式:x2 − 4x + 53x3y5 + 2 之类的表达式。但有一个关键的区别是如果将两个多项式相乘,则某些项可能会抵消,但指数最高的项将始终无法抵消。例如,(x − 1)(x + 1) = x2 + x − x − 1,当 x 和 - x 项互相抵消时,x2 仍然存在。而在群代数中,群元素之间的关系会导致一些难以预测的抵消。

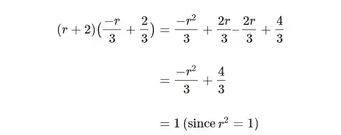
例如,假设我们的群是字母 “ A” 的对称变换的集合。该群仅包含两个元素:将每个点保持不变 (在我们的组中为“ 1”)、在中心垂直轴上的反射(记为 r)。两次反射将每个点还原到其原始位置,因此在这个群乘法的语义中,r 乘 r 等于 1。这种关系会导致群代数中出现各种意外的结果。例如,如果 r+2 乘 ((-r/3)+(2/3)),结果会全部抵消至 1。



也就是说,(r+2)和 ((-r/3)+(2/3))即是乘法逆元。


早在 1940 年,代数学家 Graham Higman 在他的博士论文中提出了一个大胆的猜想:只有当构建群代数的群中包含一些幂为 1 的元素的时候才会出现这种不合理的抵消情况,如上例中的 r。在所有其他群代数中,只含一项的元素(例如 7a 或 8b)可以具有乘法逆元,而具有多个项的和(例如 r + 2 或 3r-5s)的元素则不具有乘法逆元。由于具有乘法逆元的元素被称为单位,因此 Higman 的猜想被称为单位猜想。

在随后的几十年中,20 世纪最主要的数学家之一欧文 • 卡普兰斯基(Irving Kaplansky)将单位猜想与零因子猜想(zero divisor)和幂等猜想(idempotent conjecture)联系在一起并进行了推广。这三个猜想于是被称为卡普兰斯基猜想。总的来说,这三个猜想指出群代数与我们习惯的数字或多项式相乘的代数并没有太大的区别。

欧文 • 卡普兰斯基

不过有趣的是,来自牛津大学的 Kielak 说:「尽管卡普兰斯基一直在呼吁人们注意这些猜想,但他自己却未必相信这些猜想。」对于缺乏反例的情况,Kielak 相信一定是遗漏了某些基本原理。


Hantzsche-Wendt 群与 21 个项的反例


20 世纪下半叶,代数 K 理论被引入这个问题。借助 K 理论,数学家们可以将单位猜想与何时可以将拓扑形状转换为另一种形状的问题联系起来。研究人员也许能够证明某些 K 理论猜想对零因子猜想和幂等猜想有意义,但单位猜想却不能,它是三个猜想中最难以突破的。

在 Gardam 的证明中,他用到了一个被称为 Hantzsche-Wendt 的群。这个群描绘了一种被物理学家认为是宇宙形状的可能模型的对称性,而这种形状是通过将三维晶体的侧面粘合起来而建立的。

Hantzsche-Wendt 群似乎是寻找单位猜想反例的地方。但寻找的过程并不容易。这个群具有无限多个元素,因此元素的代数和也有无限多个。在 2010 年,数学家们曾表明就算该群有一个反例,也不会出现在这些简单的代数和中。

而现在,Gardam 在由 Hantzsche-Wendt 群建立的群代数中,找到了一对分别具有 21 个项的乘法逆元。找到这一对乘法逆元需要计算机进行复杂的搜索,但要验证它们是互逆的并不复杂,只需要将它们相乘,然后检查乘积中 441 个项的和是否可以简化为数字 1。在 Gardam 发表其算法的详细信息之后,数学家们将会进一步探究 Hantzsche-Wendt 群以及其他潜在的群。

Gardam 找到的反例将扭转许多数学家的思维方式。Kielak 说:「一年之内我们将找到无限多个反例。」此外,数学家们还将进一步探索是否存在违背卡普兰斯基另外两个猜想的群。

但毫无疑问的是,对于 Gardam 来说,花了多年时间寻找反例终于成功,这份探索得来的喜悦是无价的。


亚马逊云科技线上黑客松2021


这是一场志同道合的磨练,这是一场高手云集的组团竞技。秀脑洞、玩创意,3月26日至5月31日,实战的舞台为你开启,「亚马逊云科技线上黑客松2021」等你来战!

为了鼓励开发者的参与和创新,本次大赛为参赛者准备了丰厚的奖品,在一、二、三等奖之外,还特设prActIcal奖、creAtIve奖、锦鲤极客奖、阳光普照奖,成功提交作品的团队均可获赠奖品。

识别二维码,立即报名参赛。

© THE END 

转载请联系本公众号获得授权

投稿或寻求报道:[email protected]

登录查看更多
0

相关内容

数学家是以研究或应用数学为职业的人。著名数学家有阿基米德、欧拉、高斯、伽罗华、黎曼、格罗腾迪克等。
专知会员服务
129+阅读 · 2021年6月23日
【干货书】从初等问题看数学的本质,400页pdf
专知会员服务
66+阅读 · 2021年5月28日
【2021新书】线性与矩阵代数导论,492页pdf阐述
专知会员服务
102+阅读 · 2021年5月24日
【经典书】线性代数,286页pdf
专知会员服务
132+阅读 · 2021年2月28日
专知会员服务
128+阅读 · 2020年11月25日
最新《生成式对抗网络数学导论》,30页pdf
专知会员服务
80+阅读 · 2020年9月3日
专知会员服务
203+阅读 · 2020年9月1日
机器学习速查手册,135页pdf
专知会员服务
345+阅读 · 2020年3月15日
卷积神经网络数学原理解析
算法与数学之美
20+阅读 · 2019年8月23日
深入卷积神经网络背后的数学原理
人工智能学家
10+阅读 · 2019年4月26日
可视化理解四元数,愿你不再掉头发
计算机视觉life
31+阅读 · 2019年1月2日
丘成桐:攻克物理难题的数学大师
科技导报
5+阅读 · 2018年7月23日
“花书”的佐餐,你的线性代数笔记
量子位
5+阅读 · 2018年3月29日
三味Capsule:矩阵Capsule与EM路由
PaperWeekly
10+阅读 · 2018年3月2日
傅里叶变换和拉普拉斯变换的物理解释及区别
算法与数学之美
11+阅读 · 2018年2月5日
量化金融简史
算法与数学之美
11+阅读 · 2017年9月12日
Arxiv
0+阅读 · 2021年6月23日
Arxiv
0+阅读 · 2021年6月19日
Arxiv
0+阅读 · 2021年6月17日
VIP会员
最新内容
《美陆军条例:陆军指挥政策(2026版)》
专知会员服务
8+阅读 · 今天8:10
《军用自主人工智能系统的治理与安全》
专知会员服务
5+阅读 · 今天8:02
《系统簇式多域作战规划范畴论框架》
专知会员服务
9+阅读 · 4月20日
高效视频扩散模型:进展与挑战
专知会员服务
5+阅读 · 4月20日
乌克兰前线的五项创新
专知会员服务
8+阅读 · 4月20日
 军事通信系统与设备的技术演进综述
专知会员服务
7+阅读 · 4月20日
《北约标准:医疗评估手册》174页
专知会员服务
6+阅读 · 4月20日
相关VIP内容
专知会员服务
129+阅读 · 2021年6月23日
【干货书】从初等问题看数学的本质,400页pdf
专知会员服务
66+阅读 · 2021年5月28日
【2021新书】线性与矩阵代数导论,492页pdf阐述
专知会员服务
102+阅读 · 2021年5月24日
【经典书】线性代数,286页pdf
专知会员服务
132+阅读 · 2021年2月28日
专知会员服务
128+阅读 · 2020年11月25日
最新《生成式对抗网络数学导论》,30页pdf
专知会员服务
80+阅读 · 2020年9月3日
专知会员服务
203+阅读 · 2020年9月1日
机器学习速查手册,135页pdf
专知会员服务
345+阅读 · 2020年3月15日
相关资讯
卷积神经网络数学原理解析
算法与数学之美
20+阅读 · 2019年8月23日
深入卷积神经网络背后的数学原理
人工智能学家
10+阅读 · 2019年4月26日
可视化理解四元数,愿你不再掉头发
计算机视觉life
31+阅读 · 2019年1月2日
丘成桐:攻克物理难题的数学大师
科技导报
5+阅读 · 2018年7月23日
“花书”的佐餐,你的线性代数笔记
量子位
5+阅读 · 2018年3月29日
三味Capsule:矩阵Capsule与EM路由
PaperWeekly
10+阅读 · 2018年3月2日
傅里叶变换和拉普拉斯变换的物理解释及区别
算法与数学之美
11+阅读 · 2018年2月5日
量化金融简史
算法与数学之美
11+阅读 · 2017年9月12日
Top
微信扫码咨询专知VIP会员