论文浅尝 | Generative QA: Learning to Answer the Whole Question

2019 年 2 月 9 日 开放知识图谱

链接: https://openreview.net/forum?id=Bkx0RjA9tX


传统的机器阅读理解的模型都是给定 context 和 question, 找出最有可能回答该 question 的 answer,用概率表示为 p(a|q,c),这其实是一个判别模型。判别模型在大多数任务上可以取得比生成模型更好的准确率,但问题在于判别模型会利用一切能提升准确率的数据特征来做预测,这在机器阅读中会造成模型并未完全理解question和context,而是利用训练集中的一些数据漏洞来预测。如下图所示,模型只需要question中有下划线的词即可预测出正确答案,无须完全理解问题。在 SQuAD 中另一个典型的情况是:问题的疑问词是when或者who,而context中只有一个日期或者人名,这时模型只需要根据question的疑问词,context中的日期或人名即可回答问题,不用完全理解 question和context。

因此,本文的作者提出基于生成模型架构的机器阅读模型,其优化的目标是:给定context,最大化question和answer的联合概率,用概率表示为p(a,q|c)。该概率可以分解为p(a|c)p(q|a,c)。对于这两部分,分别训练两个模型,最后在预测时,遍历所有候选的answer选出最大化联合概率p(a,q|c)的answer作为预测结果。

首先训练p(a|c)部分,即给定context,选出最有可能出现的候选的answer。根据context的不同,采用不同的方式。

(1)  如果context是文档,例如SQuAD数据集,那么用ELMo得到context的表示后,该表示经过全连接层映射得到一个score(记为),该score在和候选answer的长度指标(),这两个score按如下公式得到每个候选answer的概率

(2)  如果context是图片,例如CLEVR数据集,那么在预训练的RESNet上fine tuning得到图片的表示,对所有候选answer分类得到每个answer出现的概率。

其次是p(q|a,c)部分,本文将其看做是文本生成问题,即采用Encoder-Decoder架构,根据answer, context的encoding结果,采用decoder生成question。模型采用的Decoder的架构为:

其主要包含一个循环N词的decoder block,每个block内部t时刻生成的词的embedding会先经过self-attention和attention计算,得到的结果再经过一个LSTM单元,如此重复N次并最终依存t+1时刻的词。为了解决稀疏词的问题,在预测每个词被生成的概率时采用了character级别的embedding和pointer-generator机制。

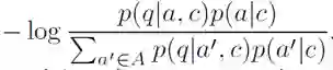
到这里模型已经介绍完毕。但是论文中提到了按照上述目标函数和模型结构训练完后,还有一个fine-tuning的步骤,这一步的目标是通过人为构造question和answer的负组合,来强化模型生成question时和answer的关联。Fine-tuning的目标函数是最小化如下式子:

其中A是由p(a|c)选出的在当前context下最有可能的top k个候选answer。

模型的实验结果如下所示,在SQuAD和CLEVR上都取得了仅次于当前state-of-the-art的判别式机器阅读模型的效果:

可以看到生成模型的效果要比效果最好的判别模型略差,但是本文的论点在于生成模型对question和context有更全面的理解,从而让模型有更好的泛化能力和应对对抗样本的能力。为了验证模型的泛化能力,本文作者构建了一个SQuAD的子集,该子集中训练样本中的context都只包含一个日期,数字或者人名类实体,但是在测试样本中有多个。如果模型在训练时仅依赖context中特殊类型的实体作为答案的数据特征,那么在测试集上就会表现很差。

可以看到在该数据集上生成模型有很大的优势。

在包含对抗样本的数据集Adversarial SQuAD上的表现也好过判别模型。

 

论文笔记整理:王梁,浙江大学硕士,研究方向为知识图谱,自然语言处理。



OpenKG.CN


中文开放知识图谱(简称OpenKG.CN)旨在促进中文知识图谱数据的开放与互联,促进知识图谱和语义技术的普及和广泛应用。

点击阅读原文,进入 OpenKG 博客。

登录查看更多
2

相关内容

判别模型,也称为条件模型或反向模型,是一类用于分类或回归的监督机器学习。这些方法通过从观测数据中推断知识来区分决策边界。这与生成模型或正向模型的想法不同,区别模型对底层数据分布的假设更少,而更依赖数据质量。
零样本文本分类,Zero-Shot Learning for Text Classification
专知会员服务
97+阅读 · 2020年5月31日
FlowQA: Grasping Flow in History for Conversational Machine Comprehension
专知会员服务
34+阅读 · 2019年10月18日
最新BERT相关论文清单,BERT-related Papers
专知会员服务
53+阅读 · 2019年9月29日
论文浅尝 | Global Relation Embedding for Relation Extraction
开放知识图谱
12+阅读 · 2019年3月3日
论文浅尝 | 用对抗学习做知识表示(NAACL2018)
开放知识图谱
5+阅读 · 2019年1月2日
论文浅尝 | Zero-Shot Transfer Learning for Event Extraction
开放知识图谱
26+阅读 · 2018年11月1日
论文浅尝 | 问题生成(QG)与答案生成(QA)的结合
开放知识图谱
16+阅读 · 2018年7月15日
论文浅尝 | 使用变分推理做KBQA
开放知识图谱
13+阅读 · 2018年4月15日
论文浅尝 | Question Answering over Freebase
开放知识图谱
19+阅读 · 2018年1月9日
论文浅尝 | CFO: Conditional Focused Neural Question Answering
开放知识图谱
6+阅读 · 2017年12月15日
论文浅尝 | Reinforcement Learning for Relation Classification
开放知识图谱
9+阅读 · 2017年12月10日
Question Generation by Transformers
Arxiv
5+阅读 · 2019年9月14日
Learning to Focus when Ranking Answers
Arxiv
5+阅读 · 2018年8月8日
Arxiv
6+阅读 · 2018年4月21日
VIP会员
最新内容
美陆军设想无人系统司令部
专知会员服务
0+阅读 · 今天13:45
【博士论文】已对齐人工智能系统的持久脆弱性
专知会员服务
0+阅读 · 今天13:52
扭曲还是编造?视频大语言模型幻觉研究综述
专知会员服务
0+阅读 · 今天13:41
《采用系统思维应对混合战争》125页
专知会员服务
2+阅读 · 今天12:47
战争机器学习:数据生态系统构建(155页)
专知会员服务
6+阅读 · 今天8:10
内省扩散语言模型
专知会员服务
5+阅读 · 4月14日
国外反无人机系统与技术动态
专知会员服务
4+阅读 · 4月14日
相关VIP内容
零样本文本分类,Zero-Shot Learning for Text Classification
专知会员服务
97+阅读 · 2020年5月31日
FlowQA: Grasping Flow in History for Conversational Machine Comprehension
专知会员服务
34+阅读 · 2019年10月18日
最新BERT相关论文清单,BERT-related Papers
专知会员服务
53+阅读 · 2019年9月29日
相关资讯
论文浅尝 | Global Relation Embedding for Relation Extraction
开放知识图谱
12+阅读 · 2019年3月3日
论文浅尝 | 用对抗学习做知识表示(NAACL2018)
开放知识图谱
5+阅读 · 2019年1月2日
论文浅尝 | Zero-Shot Transfer Learning for Event Extraction
开放知识图谱
26+阅读 · 2018年11月1日
论文浅尝 | 问题生成(QG)与答案生成(QA)的结合
开放知识图谱
16+阅读 · 2018年7月15日
论文浅尝 | 使用变分推理做KBQA
开放知识图谱
13+阅读 · 2018年4月15日
论文浅尝 | Question Answering over Freebase
开放知识图谱
19+阅读 · 2018年1月9日
论文浅尝 | CFO: Conditional Focused Neural Question Answering
开放知识图谱
6+阅读 · 2017年12月15日
论文浅尝 | Reinforcement Learning for Relation Classification
开放知识图谱
9+阅读 · 2017年12月10日
Top
微信扫码咨询专知VIP会员