自动驾驶功能安全评估:基于仿真的故障注入 | 厚势汽车

2018 年 9 月 11 日 厚势


本文译自《2017 IEEE International Conference on Vehicular Electronics and Safety (ICVES) 》

所收录文章《Safety Assessment of Automated Vehicle Functions by Simulation-based Fault Injection 》

原作者:Garazi Juez , Estibaliz Amparan 


编者按:在依据现有版本 ISO 26262 进行汽车功能安全概念阶段分析时,多采用例如 FMEA(失效模式与影响分析)、FTA(故障树分析法)、DFA(相关失效分析)等理论方法来分析失效影响,并据此推导得到安全目标及安全要求。但在面对自动驾驶汽车这一复杂系统时,一个失效的影响并不一定是事先可知的


针对这一问题,在已知故障类型的前提下,本文作者引入故障注入(Fault Inject,FI)仿真试验作为上述安全分析方法的补充,依据试验数据完善失效影响,安全目标及安全要求。



随着自动驾驶汽车的发展,在故障的情况下确保车辆安全变得越来越重要。本文提出了一种基于仿真试验的故障注入方法(Sabotage),以在 ISO 26262 的概念阶段作为传统安全分析方法的补充,依据试验数据得到失效影响,并完善安全目标及安全要求。


之后,将该方法应用于自动驾驶汽车横向控制系统的安全分析中,得到其模型中出现的故障的影响,基于最大横向误差及「转向饱和」得到故障容错时间间隔(Fault Tolerant Time Interval,FTTI),并推导得到安全目标及安全要求。


*「转向饱和」:指转向控制量达到饱和后,无法继续转动。



一、 自动驾驶汽车控制架构


本文是针对高级自动驾驶汽车(HAV)的功能安全研究。HAV 架构主要分为横向和纵向控制。本文研究针对横向控制系统,该系统目的是引导车辆沿着最佳路径行驶,由三个基本的功能组成:


  • 行为规划:依据车辆行为(如车道保持、变道或者避障)来选择最好的路径;

  • 轨迹控制:通过控制算法进行计算并保持车辆在正确的轨迹上;

  • 转向:控制方向盘来使车辆按规划路径行驶,其输入为轨迹控制模块计算得的校正值。



二、基于 ISO 26262 的 SABOTAGE 框架


1. 框架:SABOTAGE


现有版本的 ISO 26262 的概念阶段,主要通过例如 FMEA 等安全分析方法进行安全评估,由于自动驾驶汽车系统的复杂性,某一失效的影响不一定预先可知,这导致分析结果的不完整。


故障注入则提供了一种评估高级自动驾驶系统安全性和可控性的有效的补充方法。在已知故障类型的条件下,利用故障注入可以得到系统运行期间发生某一故障的影响及相关故障数据。



图 1:Sabotage:基于仿真的故障注入框架


图 1 展示了基于故障注入仿真的自动驾驶汽车功能安全分析方法,该方法可作为评估早期设计阶段某个架构安全性的补充手段。通过分析仿真数据,可以在数个较优的安全概念之间加以权衡和选择。


依据该框架,本研究所提 Sabotage 方法的大致流程为:


第一步,识别失效模式。首先,必须已知相关项的主要功能及其故障类型。然后正确识别功能失效模式,以获得关于其影响的数据(在系统/整车层级)。这意味着如果这些失效模式定义在系统层,其影响便体现在整车上。这些故障/失效模式与保存在通用故障模型库中的通用故障模型(遗漏 Omission,冻结 Frozen,延迟 Delay ,翻转 Invert,振荡 Oscillation,随机 Random)相关联。这些通用故障模型是预先设置的,是模拟任何组件/系统功能失效模式的特定故障模型。


第二步,配置故障注入试验。在对系统进行初步分析后,必须配置故障注入试验,将其作为工作负载生成器(Workload Generator)的一部分,这包括设置试验和驾驶场景,以及生成故障列表:


  • 目标:在何处注入故障?

  • 故障模型:何为代表该功能失效模式的最佳故障模型?

  • 触发:如何在系统中触发故障?

  • 何为故障影响的观测点?

  • 如何定义使车辆失去其可控性的条件?


对于用户想要注入的每个故障,必须在故障列表中明确涉及的故障模型、目标信号(故障定位)、基于时间或路径位置坐标(X,Y)的故障触发条件以及故障持续时间。这些信息是生成故障发生器(Saboteur)的基础。故障发生器是为了故障注入而添加到系统行为模型中的组件。每产生一个目标信号,一个故障便被注入。


试验的配置包括车辆的选择及运行情况(Operational Situation)的定义:


  • 地点:高速公路,城市;

  • 道路状况:上坡,弯道;

  • 环境条件:良好,暴雨;

  • 交通状况:流畅;

  • 车速;

  • 行为:停车,超车,车道保持;

  • 潜在风险参与者:司机,乘客,行人;


试验场景由场景配置器基于先前定义的运行情况选择场景目录中的最佳驾驶场景,以便将其加载到 Dynacar 平台中(一个实时车辆动力学仿真系统)。


第三步,创建故障化被测系统(Faulty System Under Test)。为此,故障注入器模块根据故障列表的信息及通用故障模型模板,创建故障发生器代码。该过程可以基于库和列表的数据自动化实现。


第四步,将故障化被测系统与无故障系统的模拟结果进行比较,分析故障影响,从而可以导出适当的安全目标及安全要求。



2. 在 ISO 26262 概念阶段使用 Sabotage


上节所提 Sabotage 方法可以应用于 ISO 26262 的概念阶段。在已知相关项功能及故障类型的前提下,通过故障注入仿真在危害分析和风险评估流程中得到某一故障产生的影响,并据此细化安全目标,并在功能安全概念流程中,推导得到安全要求。其具体的应用为:


  • 通过故障注入而不是 FMEA 等安全分析方法进行危害识别。通过 Dynacar 虚拟环境可以直观地看到危害(例如在应该转弯时车辆没有转弯)。

  • 根据仿真结果和危害识别细化安全目标。

  • FTTI 和安全状态的确定。如图 2 所示,FTTI 是从一个故障被注入到危害发生之间的时间。对于高级自动驾驶系统,FTTI 决定了使车辆不会失去控制所需的容错等级(如冗余、功能降级)。

  • 比较无故障和有故障的仿真模拟结果,安全要求可由两种仿真间的最大差异推导得到。

  • 根据先前结果,将安全要求将被划分到功能安全概念中。



 图 2:故障-错误-失效链及 FTTI 的定义



三、横向控制系统的安全评估


本节为将 Sabotage 应用于基于 ISO 2626 概念阶段的对现有横向控制系统(其为高级自动驾驶车辆车道保持功能的一部分)的安全评估的实例。由于该模型没有适当的安全机制,通过分析 FI 仿真结果可以解决以下问题:


  • 根据故障注入仿真的结果,获取特定故障在车辆和相关项层级的影响数据。

  • 完成安全分析:确定安全目标(包括 FTTI 值及安全状态)、功能安全要求和安全概念。


以下为本次研究在 ISO 26262 概念阶段各流程的分析过程及结果:



1. 相关项定义


如第二章所述,本文所提方法的应用前提是在 ISO 26262 的相关项定义流程中明确相关项功能及其故障类型:横向控制相关项可以分解为多个功能和子功能,其故障包括:转向(遗漏错误Omission、委托错误 Commission),轨迹控制(遗漏或委托错误),行为规划器(不需要的局部规划,不需要的感知, 不需要的决策)。



2. 危害分析和风险评估


FI 仿真结果可以作为该流程在安全分析方法外的一个补充办法,主要是依据仿真进行危害识别,并得到安全目标(以 FTTI 值为主)。


本次研究所做 FI 仿真试验为在交通流畅的城市环境下,以 45km/h 的恒定速度行驶并开启车道保持功能的车辆,当车辆在弯道上行驶时将触发故障,再现与差分 GPS(DGPS)和转向系统相关的功能失效模式。实验中所设置故障列表如表 1 所示。


表 1:故障列表示例


该表格仅为本次研究中故障列表的部分示例,故与表 2 并非一一对应


按照第二章的步骤,故障发生器基于先前建立的故障列表自动注入故障。为了使故障产生最严重影响,这些故障在几个曲线点触发,以得到最严重的影响。由于我们仿真的主要目的是计算横向控制的 FTTI 值,因此被观测信号为横向误差和转向饱和。图 3 描绘了转向控制的 FTTI 的的计算原理。



图 3:FTTI 的计算原理


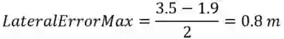
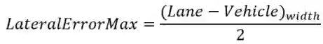
使用如下公式定义的最大横向误差作为系统失控的标准: 




表 2 描述了基于 FI 的仿真结果得到的危害识别信息。通过通用故障模型对不同相关项层级的失效进行建模, 以测量其在整车层级的影响和导致的危害行为。


表 2:整车层失效的影响



根据表 2 和仿真试验数据,可以分析得到危害分析和风险评估的部分结果,如表 3 所示,其中包括根据图 2 和图 3 计算得到的特定功能的最严重失效模式(表示为故障模型)的 FTTI 值。而故障持续时间即以一种适当的方式处理故障(过渡到安全状态)的时间。例如,与轨迹控制器相关的故障可以在危害事件发生之前在系统中存在 400ms:其中 240ms 以检测和反应,160ms 来控制故障,这样可做到不违反安全目标。表 3 中具体的安全目标定义如表 4 所示


表 3:危害分析和风险评估



表 4:安全目标



3. 功能安全概念


在上一流程所得安全目标的基础上,结合 FI 仿真结果推导得到功能安全要求,如表 5所示。其中最大横向误差的计算公式如下所示:




表 5:安全要求



至此,功能安全要求通过模拟数据而非传统的相关失效分析(Dependent Failure Analysis,DFA)得到。其主要结论是在当前的横向控制设计不能保证系统不受干扰,因此,需要重新设计其架构以确保该属性,即转向系统应是冗余的,以达到所需的可用水平。具体而言:基于表 3 的数据,为了防止危险的发生,必须将与转向功能相关的故障控制在 196ms 内。车辆如果翻转或旋转,乘客就可能受伤,因此,转向功能必须在 70ms 内可用。关于与行为规划相关的失效,例如由于 DGPS 故障导致失效,其反应时间为 155ms,因此可能需要适当的功能降级。最后,必须正确划分不同的功能,以避免发生级联故障。



四、结论


以上介绍了一种基于模拟的故障注入方法,以评估自动车辆功能的安全性。并将该方法应用到嵌入自动横向控制功能的城市车辆案例中。本文将重点放在基于最大横向误差和转向饱和的永久性故障的 FTTI 值的确定上。本文所提方法的一个主要优点是它可以作为安全分析方法的补充,实现一个 ISO 26262 兼容的安全评估过程。


-END-


文章精选


企业家

马斯克和贾跃亭 福特CEO下台正道汽车仰融

任正非裁员电池大牛凯尔提离开特斯拉

智能驾驶

BBC自动驾驶纪录片

为什么说百度阿波罗画虎不成反类犬

车载雷达通信系统综述

智能时代测绘与位置服务领域的挑战与机遇

新能源汽车

全国50个新能源汽车项目大盘点

锂电池发展趋势中国汽车产业电动化进程

苹果收购特斯拉?丰田和特斯拉决裂

新能源乘用车的补贴综述及展望 

新能源汽车驱动电机发展现状及趋势分析

项目和评论

以色列最强10家自动驾驶创业公司

 37个汽车分时项目盘点百度投资蔚来汽车

马化腾或为共享单车最大赢家汽车产业3大趋势

Momenta获$4000万B轮

百度系自动驾驶初创公司 Pony.ai 的突围之路

这些大神从Google出走,创办了五家(命运各异的)无人车公司

无需基础知识,理解自动驾驶高精度行车定位技术


为您对接资本和产业

新能源汽车 自动驾驶 车联网




联系邮箱

[email protected]

点击阅读原文,查看文章无人驾驶汽车是一场「科学试验」

登录查看更多
14

相关内容

安全评估分狭义和广义二种。狭义指对一个具有特定功能的工作系统中固有的或潜在的危险及其严重程度所进行的分析与评估,并以既定指数、等级或概率值作出定量的表示,最后根据定量值的大小决定采取预防或防护对策。广义指利用系统工程原理和方法对拟建或已有工程、系统可能存在的危险性及其可能产生的后果进行综合评价和预测,并根据可能导致的事故风险的大小,提出相应的安全对策措施,以达到工程、系统安全的过程。安全评估又称风险评估、危险评估,或称安全评价、风险评价和危险评价。
最新《深度学习自动驾驶》技术综述论文,28页pdf
专知会员服务
156+阅读 · 2020年6月14日
华为发布《自动驾驶网络解决方案白皮书》
专知会员服务
130+阅读 · 2020年5月22日
最新《智能交通系统的深度强化学习》综述论文,22页pdf
基于视觉的三维重建关键技术研究综述
专知会员服务
166+阅读 · 2020年5月1日
【北京大学】面向5G的命名数据网络物联网研究综述
专知会员服务
38+阅读 · 2020年4月26日
【综述】基于图的对抗式攻击和防御,附22页论文下载
专知会员服务
69+阅读 · 2020年3月5日
【综述】自动驾驶领域中的强化学习,附18页论文下载
专知会员服务
176+阅读 · 2020年2月8日
智能交通大数据最新论文综述-附PDF下载
专知会员服务
106+阅读 · 2019年12月25日
【白皮书】“物联网+区块链”应用与发展白皮书-2019
专知会员服务
94+阅读 · 2019年11月13日
自动驾驶技术解读——自动驾驶汽车决策控制系统
智能交通技术
30+阅读 · 2019年7月7日
自动驾驶车辆定位技术概述|厚势汽车
厚势
10+阅读 · 2019年5月16日
Video-to-Video Synthesis
Arxiv
9+阅读 · 2018年8月20日
Arxiv
5+阅读 · 2016年12月29日
VIP会员
最新内容
战略前沿人工智能的再思考(中文)
专知会员服务
6+阅读 · 5月29日
《量化地基防空系统间接效应的博弈论方法》
专知会员服务
5+阅读 · 5月29日
“史诗怒火行动”中美军损失的作战飞机
专知会员服务
5+阅读 · 5月29日
ICML 2026 | 理解上下文持续学习中的泛化与遗忘
专知会员服务
5+阅读 · 5月28日
Agent Harness综述:大模型智能体执行器工程全景
专知会员服务
15+阅读 · 5月28日
《基于理论的威慑效能评估》
专知会员服务
8+阅读 · 5月28日
相关VIP内容
最新《深度学习自动驾驶》技术综述论文,28页pdf
专知会员服务
156+阅读 · 2020年6月14日
华为发布《自动驾驶网络解决方案白皮书》
专知会员服务
130+阅读 · 2020年5月22日
最新《智能交通系统的深度强化学习》综述论文,22页pdf
基于视觉的三维重建关键技术研究综述
专知会员服务
166+阅读 · 2020年5月1日
【北京大学】面向5G的命名数据网络物联网研究综述
专知会员服务
38+阅读 · 2020年4月26日
【综述】基于图的对抗式攻击和防御,附22页论文下载
专知会员服务
69+阅读 · 2020年3月5日
【综述】自动驾驶领域中的强化学习,附18页论文下载
专知会员服务
176+阅读 · 2020年2月8日
智能交通大数据最新论文综述-附PDF下载
专知会员服务
106+阅读 · 2019年12月25日
【白皮书】“物联网+区块链”应用与发展白皮书-2019
专知会员服务
94+阅读 · 2019年11月13日
Top
微信扫码咨询专知VIP会员