PyG实战图分类

2021 年 12 月 1 日 图与推荐


“他山之石,可以攻玉”,站在巨人的肩膀才能看得更高,走得更远。在科研的道路上,更需借助东风才能更快前行。为此,我们特别搜集整理了一些实用的代码链接,数据集,软件,编程技巧等,开辟“他山之石”专栏,助你乘风破浪,一路奋勇向前,敬请关注。

来源:知乎—wwwyb

地址:https://zhuanlan.zhihu.com/p/435945714

在本教程中,我们将仔细研究如何将图神经网络 (GNN) 应用于图分类任务。图分类是指给一个图数据集,根据某些结构图对整个图进行分类的问题。
这里,我们想要嵌入整个图,我们想要嵌入这些图的方式是这样的,它们是线性可分的给定一个任务。
最常见的任务是分子特性预测,其中分子用图表示,任务可能是推断一个分子是否抑制了HIV病毒的复制。
TUDatasets 有很多不同的图分类任务,通过 torch_geometric.datasets.TUDataset  可以获得。让我们加载并检查较小的数据集之一,即 MUTAG数据集:
import torchfrom torch_geometric.datasets import TUDataset
dataset = TUDataset('data/TUDataset', name = 'MUTAG')
print()print(f'Dataset: {dataset}:')print('====================')print(f'Number of graphs: {len(dataset)}')print(f'Number of features: {dataset.num_features}')print(f'Number of classes: {dataset.num_classes}')
data = dataset[0] # Get the first graph object.
print()print(data)print('=============================================================')
# Gather some statistics about the first graph.print(f'Number of nodes: {data.num_nodes}')print(f'Number of edges: {data.num_edges}')print(f'Average node degree: {data.num_edges / data.num_nodes:.2f}')print(f'Has isolated nodes: {data.has_isolated_nodes()}')print(f'Has self-loops: {data.has_self_loops()}')print(f'Is undirected: {data.is_undirected()}')# 输出结果Dataset: MUTAG(188):====================Number of graphs: 188Number of features: 7Number of classes: 2
Data(edge_index=[2, 38], x=[17, 7], edge_attr=[38, 4], y=[1])=============================================================Number of nodes: 17Number of edges: 38Average node degree: 2.24Has isolated nodes: FalseHas self-loops: FalseIs undirected: True


 
   


这个数据集有188张不同的图,任务是把图分类分为两类
通过观察数据集的第一张图的实例,我们可以看到它有 17 个节点(带有 7 维特征向量)和 38 条边(平均节点度为2.24)。它还带有一个图标签( y=[1] ),并且除了之前的数据集之外,还提供了额外的 4 维边缘特征 ( edge_attr=[38, 4] )。但是,为了简单起见,我们不会使用它们。
PyTorch Geometric 为处理图数据集提供了一些有用的实用程序,例如,我们可以打乱数据集并使用前 150 个图作为训练图,同时使用其余的图进行测试:
torch.manual_seed(12345)dataset = dataset.shuffle()
train_dataset = dataset[:150]test_dataset = dataset[150:]
print(f'Number of training graphs: {len(train_dataset)}')print(f'Number of test graphs: {len(test_dataset)}')# 输出结果Number of training graphs: 150Number of test graphs: 38



01


图的Mini-batch
由于图分类数据集中的图通常很小,一个好主意是在将图输入到图神经网络之前对图进行批处理,以确保充分利用 GPU。在图像或自然语言领域,这个过程通常是通过将每个实例重新缩放(rescaling)或者padding填充为一组相同大小的形状来实现,然后将示例分组到额外的维度中。这个维度的长度等于分组在一个小批中的示例数量,通常称为 batch_size 。
然而对于GNN来说,上述两种方式要么不可行,要么可能导致大量不必要的内存消耗。因此Pytorch Geometirc选择了另一种方式来实现多个实例的并行化。邻接矩阵以对角化方式堆叠(创建一个包含多个独立子图的巨大图),节点和目标特征中节点维度简单的连接起来
与其他批处理程序相比,此程序具有一些关键优势:
1. 依赖于消息传递方案的GNN算子不需要修改,因为消息不在属于不同图的两个节点之间交换。
2. 由于邻接矩阵以仅包含非零条目(即边)的稀疏方式保存,因此没有计算或内存开销。
在 torch_geometricy.data.dataloader 类的帮助下,PyTorch Geometric自动地将多个图形批处理成一个巨大的图形:
# from torch_geometric.loader import DataLoader
# train_loader = DataLoader(train_dataset, batch_size=64, shuffle=True)# test_loader = DataLoader(test_dataset, batch_size=64, shuffle=False)
# for step, data in enumerate(train_loader):# print(f'Step {step + 1}:')# print('=======')# print(f'Number of graphs in the current batch: {data.num_graphs}')# print(data)# print()from torch_geometric.loader import DataLoader
train_loader = DataLoader(train_dataset, batch_size=64, shuffle=True)test_loader = DataLoader(test_dataset, batch_size=64, shuffle=False)
for step, data in enumerate(train_loader): print(f'Step {step + 1}:') print('=======') print(f'Number of graphs in the current batch: {data.num_graphs}') print(data) print()# 输出结果Step 1:=======Number of graphs in the current batch: 64DataBatch(edge_index=[2, 2624], x=[1185, 7], edge_attr=[2624, 4], y=[64], batch=[1185], ptr=[65])
Step 2:=======Number of graphs in the current batch: 64DataBatch(edge_index=[2, 2538], x=[1146, 7], edge_attr=[2538, 4], y=[64], batch=[1146], ptr=[65])
Step 3:=======Number of graphs in the current batch: 22DataBatch(edge_index=[2, 832], x=[383, 7], edge_attr=[832, 4], y=[22], batch=[383], ptr=[23])


 
   


我们选择 batch_size 为64的,导致3(随机打算)的mini-batches,   张图。
此外,每个 Batch 对象都配备了一个批处理向量 batch vector,它将每个节点映射到批处理中的相应图:
   



02


训练一个图神经网络(GNN)
训练用于图分类的 GNN 通常遵循一个简单的方法:
1. 通过执行多轮消息传递嵌入每个节点
2. 将节点嵌入聚合到一个统一的图嵌入(readout layer)中
3. 在图嵌入上训练最终分类器
在文献中有多种readout layer的方法,但是最常见的是简单的取节点嵌入(Node Embedding)的平均值



Pytorch Geometirc通过 torch_geometric.nn.global_mean_pool 提供了这一功能,通过它采用 mini-batch 中所有节点的节点嵌入和分配向量 batch ,为批次中的每个图计算大小为 [batch_size, hidden_channels] 的图嵌入。
将 GNN 应用于图分类任务的最终架构如下所示,并允许完整的端到端训练:
from torch.nn import Linearimport torch.nn.functional as Ffrom torch_geometric.nn import GCNConvfrom torch_geometric.nn import global_mean_pool
class GCN(torch.nn.Module): def __init__(self, hidden_channels): super(GCN, self).__init__() torch.manual_seed(12345) self.conv1 = GCNConv(dataset.num_node_features, hidden_channels) self.conv2 = GCNConv(hidden_channels, hidden_channels) self.conv3 = GCNConv(hidden_channels, hidden_channels) self.lin = Linear(hidden_channels, dataset.num_classes)
def forward(self, x, edge_index, batch): # 1. 获得节点嵌入 x = self.conv1(x, edge_index) x = x.relu() x = self.conv2(x, edge_index) x = x.relu() x = self.conv3(x, edge_index)
# 2. Readout layer x = global_mean_pool(x, batch) # [batch_size, hidden_channels]
# 3. 分类器 x = F.dropout(x, p=0.5, training=self.training) x = self.lin(x)
return x
model = GCN(hidden_channels=64)print(model)# 输出结果GCN( (conv1): GCNConv(7, 64) (conv2): GCNConv(64, 64) (conv3): GCNConv(64, 64) (lin): Linear(in_features=64, out_features=2, bias=True))
在这里 ,我们再次使用 GCNConv 和     激活来获得局部节点嵌入,然后我们将最终分类器应用于readout layer。
接下来看看它在训练和测 试集上的表现如何:


  
  
    


model = GCN(hidden_channels=64)optimizer = torch.optim.Adam(model.parameters(), lr=0.01)criterion = torch.nn.CrossEntropyLoss()
def train(): model.train() for data in train_loader: optimizer.zero_grad() out = model(data.x, data.edge_index, data.batch) loss = criterion(out, data.y)
loss.backward() optimizer.step()
def test(loader): model.eval() correct = 0 for data in loader: # 批遍历测试集数据集。 out = model(data.x, data.edge_index, data.batch) # 一次前向传播 pred = out.argmax(dim=1) # 使用概率最高的类别 correct += int((pred == data.y).sum()) # 检查真实标签 return correct / len(loader.dataset)
for epoch in range(1, 121): train() train_acc = test(train_loader) test_acc = test(test_loader)    print(f'Epoch: {epoch:03d}, Train Acc: {train_acc:.4f}, Test Acc: {test_acc:.4f}')
...


  
  
    


Epoch: 108, Train Acc: 0.7933, Test Acc: 0.7368Epoch: 109, Train Acc: 0.8200, Test Acc: 0.7632Epoch: 110, Train Acc: 0.7933, Test Acc: 0.7632Epoch: 111, Train Acc: 0.7867, Test Acc: 0.7368Epoch: 112, Train Acc: 0.7800, Test Acc: 0.7368Epoch: 113, Train Acc: 0.7867, Test Acc: 0.7368Epoch: 114, Train Acc: 0.8000, Test Acc: 0.7368Epoch: 115, Train Acc: 0.7933, Test Acc: 0.7368Epoch: 116, Train Acc: 0.7800, Test Acc: 0.7368Epoch: 117, Train Acc: 0.8000, Test Acc: 0.7632Epoch: 118, Train Acc: 0.8000, Test Acc: 0.7368Epoch: 119, Train Acc: 0.8067, Test Acc: 0.7632Epoch: 120, Train Acc: 0.8200Test Acc: 0.7632



我们可以看到,我们的模型可以达到76%的测试准确率。精度波动的原因可以用较小的数据集(只有38个测试图)来解释,一旦gnn应用到较大的数据集,通常会消失。



03


提升准确率
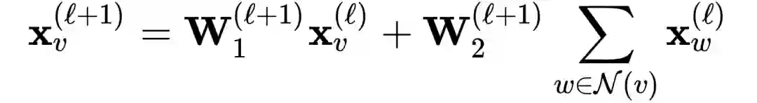
许多篇论文指出( Xu et al. (2018) Morris et al. (2018) ),应用邻域归一化会降低 GNN 在区分某些图结构方面的表现力。另一种公式( Morris et al. (2018) )完全省略了邻域归一化,并为 GNN 层添加了一个简单的跳跃连接,以保留中心节点信息:



该层在 PyTorch Geometric 中以 GraphConv  的名称实现。


  
  
    


from torch_geometric.nn import GraphConv
class GNN(torch.nn.Module): def __init__(self, hidden_channels): super(GNN, self).__init__() torch.manual_seed(12345) self.conv1 = GraphConv(dataset.num_node_features, hidden_channels) self.conv2 = GraphConv(hidden_channels, hidden_channels) self.conv3 = GraphConv(hidden_channels, hidden_channels) self.lin = Linear(hidden_channels, dataset.num_classes)
def forward(self, x, edge_index, batch): x = self.conv1(x, edge_index) x = x.relu() x = self.conv2(x, edge_index) x = x.relu() x = self.conv3(x, edge_index)
x = global_mean_pool(x, batch)
x = F.dropout(x, p=0.5, training=self.training) x = self.lin(x) return x
model = GNN(hidden_channels=64)print(model)
GNN( (conv1): GraphConv(7, 64) (conv2): GraphConv(64, 64) (conv3): GraphConv(64, 64) (lin): Linear(in_features=64, out_features=2, bias=True))
model = GNN(hidden_channels=64)print(model)optimizer = torch.optim.Adam(model.parameters(), lr=0.01)
for epoch in range(1, 201): train() train_acc = test(train_loader) test_acc = test(test_loader) print(f'Epoch: {epoch:03d}, Train Acc: {train_acc:.4f}, Test Acc: {test_acc:.4f}')# 输出结果GNN( (conv1): GraphConv(7, 64) (conv2): GraphConv(64, 64) (conv3): GraphConv(64, 64) (lin): Linear(in_features=64, out_features=2, bias=True))...省略结果输出Epoch: 191, Train Acc: 0.9467, Test Acc: 0.8421Epoch: 192, Train Acc: 0.9467, Test Acc: 0.8421Epoch: 193, Train Acc: 0.9467, Test Acc: 0.8158Epoch: 194, Train Acc: 0.9400, Test Acc: 0.8421Epoch: 195, Train Acc: 0.9467, Test Acc: 0.8421Epoch: 196, Train Acc: 0.9467, Test Acc: 0.8421Epoch: 197, Train Acc: 0.9467, Test Acc: 0.8421Epoch: 198, Train Acc: 0.9467, Test Acc: 0.8421Epoch: 199, Train Acc: 0.9467, Test Acc: 0.8421Epoch: 200, Train Acc: 0.9467, Test Acc: 0.8421



04


总结
这一节主要学习了


  • 将GNN应用到图分类任务上
  • 图数据的批处理
  • 使用readout layer获得图的嵌入


登录查看更多
16

相关内容

【图神经网络实用介绍】A practical introduction to GNNs - Part 1
【UAI2021教程】贝叶斯最优学习,65页ppt
专知会员服务
65+阅读 · 2021年8月7日
专知会员服务
54+阅读 · 2021年6月17日
系列教程GNN-algorithms之七:《图同构网络—GIN》
专知会员服务
48+阅读 · 2020年8月9日
一份简单《图神经网络》教程,28页ppt
专知会员服务
127+阅读 · 2020年8月2日
专知会员服务
119+阅读 · 2020年7月22日
【WWW2020】DGL深度图神经网络实战教程,PPT+代码
专知会员服务
176+阅读 · 2020年4月12日
TensorFlow Lite指南实战《TensorFlow Lite A primer》,附48页PPT
专知会员服务
70+阅读 · 2020年1月17日
【GitHub实战】Pytorch实现的小样本逼真的视频到视频转换
专知会员服务
36+阅读 · 2019年12月15日
直接上代码! PyG的使用及踩坑
图与推荐
4+阅读 · 2021年11月25日
PyTorch & PyTorch Geometric图神经网络(GNN)实战
专知
81+阅读 · 2019年6月1日
PyTorch 学习笔记(一):让PyTorch读取你的数据集
极市平台
16+阅读 · 2019年4月24日
图分类:结合胶囊网络Capsule和图卷积GCN(附代码)
中国人工智能学会
36+阅读 · 2019年2月26日
专栏 | 手把手教你用DGL框架进行批量图分类
机器之心
14+阅读 · 2019年1月29日
实战 | 用Python做图像处理(三)
七月在线实验室
15+阅读 · 2018年5月29日
实战 | 用Python做图像处理(一)
七月在线实验室
25+阅读 · 2018年5月23日
国家自然科学基金
0+阅读 · 2013年12月31日
国家自然科学基金
0+阅读 · 2013年12月31日
国家自然科学基金
3+阅读 · 2013年12月31日
国家自然科学基金
1+阅读 · 2012年12月31日
国家自然科学基金
0+阅读 · 2012年12月31日
国家自然科学基金
1+阅读 · 2012年12月31日
国家自然科学基金
0+阅读 · 2012年12月31日
国家自然科学基金
0+阅读 · 2011年12月31日
国家自然科学基金
0+阅读 · 2009年12月31日
Arxiv
0+阅读 · 2022年4月17日
Arxiv
19+阅读 · 2021年2月4日
Arxiv
23+阅读 · 2018年10月1日
Arxiv
26+阅读 · 2018年2月27日
VIP会员
最新内容
以色列-美国-伊朗战争中的无人机:关键要点
专知会员服务
1+阅读 · 今天14:04
《Palantir任务保障性软件安全标准(MA-S2)》
专知会员服务
5+阅读 · 今天13:49
基于声学的无人机检测技术综述
专知会员服务
3+阅读 · 今天13:37
《当代混合战争分析框架:俄乌战争经验教训》
专知会员服务
4+阅读 · 今天13:11
战略前沿人工智能的再思考(中文)
专知会员服务
7+阅读 · 5月29日
《量化地基防空系统间接效应的博弈论方法》
专知会员服务
5+阅读 · 5月29日
“史诗怒火行动”中美军损失的作战飞机
专知会员服务
6+阅读 · 5月29日
ICML 2026 | 理解上下文持续学习中的泛化与遗忘
专知会员服务
5+阅读 · 5月28日
相关VIP内容
【图神经网络实用介绍】A practical introduction to GNNs - Part 1
【UAI2021教程】贝叶斯最优学习,65页ppt
专知会员服务
65+阅读 · 2021年8月7日
专知会员服务
54+阅读 · 2021年6月17日
系列教程GNN-algorithms之七:《图同构网络—GIN》
专知会员服务
48+阅读 · 2020年8月9日
一份简单《图神经网络》教程,28页ppt
专知会员服务
127+阅读 · 2020年8月2日
专知会员服务
119+阅读 · 2020年7月22日
【WWW2020】DGL深度图神经网络实战教程,PPT+代码
专知会员服务
176+阅读 · 2020年4月12日
TensorFlow Lite指南实战《TensorFlow Lite A primer》,附48页PPT
专知会员服务
70+阅读 · 2020年1月17日
【GitHub实战】Pytorch实现的小样本逼真的视频到视频转换
专知会员服务
36+阅读 · 2019年12月15日
相关资讯
直接上代码! PyG的使用及踩坑
图与推荐
4+阅读 · 2021年11月25日
PyTorch & PyTorch Geometric图神经网络(GNN)实战
专知
81+阅读 · 2019年6月1日
PyTorch 学习笔记(一):让PyTorch读取你的数据集
极市平台
16+阅读 · 2019年4月24日
图分类:结合胶囊网络Capsule和图卷积GCN(附代码)
中国人工智能学会
36+阅读 · 2019年2月26日
专栏 | 手把手教你用DGL框架进行批量图分类
机器之心
14+阅读 · 2019年1月29日
实战 | 用Python做图像处理(三)
七月在线实验室
15+阅读 · 2018年5月29日
实战 | 用Python做图像处理(一)
七月在线实验室
25+阅读 · 2018年5月23日
相关基金
国家自然科学基金
0+阅读 · 2013年12月31日
国家自然科学基金
0+阅读 · 2013年12月31日
国家自然科学基金
3+阅读 · 2013年12月31日
国家自然科学基金
1+阅读 · 2012年12月31日
国家自然科学基金
0+阅读 · 2012年12月31日
国家自然科学基金
1+阅读 · 2012年12月31日
国家自然科学基金
0+阅读 · 2012年12月31日
国家自然科学基金
0+阅读 · 2011年12月31日
国家自然科学基金
0+阅读 · 2009年12月31日
Top
微信扫码咨询专知VIP会员