AI初识:深度学习模型中的Normalization网络

2019 年 8 月 2 日 极市平台

加入极市专业CV交流群,与6000+来自腾讯,华为,百度,北大,清华,中科院等名企名校视觉开发者互动交流!更有机会与李开复老师等大牛群内互动!

同时提供每月大咖直播分享、真实项目需求对接、干货资讯汇总,行业技术交流。关注 极市平台 公众号 ,回复 加群,立刻申请入群~


作者:全能言有三

授权转载自公众号:有三AI


数据经过归一化和标准化后可以加快梯度下降的求解速度,这就是Batch Normalization等技术非常流行的原因,它使得可以使用更大的学习率更稳定地进行梯度传播,甚至增加网络的泛化能力。


1 什么是归一化/标准化


Normalization是一个统计学中的概念,我们可以叫它归一化或者规范化,它并不是一个完全定义好的数学操作(如加减乘除)。它通过将数据进行偏移和尺度缩放调整,在数据预处理时是非常常见的操作,在网络的中间层如今也很频繁的被使用。


1. 线性归一化


最简单来说,归一化是指将数据约束到固定的分布范围,比如8位图像的0~255像素值,比如0~1。


在数字图像处理领域有一个很常见的线性对比度拉伸操作:


X=(x-xmin)/(xmax-mxin)


它常常可以实现下面的增强对比度的效果。


不过以上的归一化方法有个非常致命的缺陷,当X最大值或者最小值为孤立的极值点,会影响性能。


2. 零均值归一化/Z-score标准化


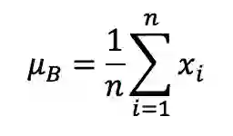
零均值归一化也是一个常见的归一化方法,被称为标准化方法,即每一变量值与其平均值之差除以该变量的标准差。


经过处理后的数据符合均值为0,标准差为1的分布,如果原始的分布是正态分布,那么z-score标准化就将原始的正态分布转换为标准正态分布,机器学习中的很多问题都是基于正态分布的假设,这是更加常用的归一化方法。


以上两种方法都是线性变换,对输入向量X按比例压缩再进行平移,操作之后原始有量纲的变量变成无量纲的变量。不过它们不会改变分布本身的形状,下面以一个指数分布为例:

如果要改变分布本身的形状,下面也介绍两种。


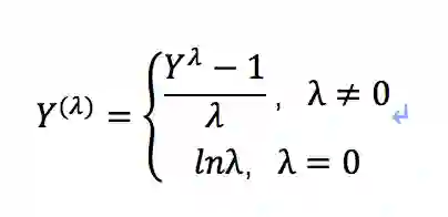
3.正态分布Box-Cox变换


box-cox变换可以将一个非正态分布转换为正态分布,使得分布具有对称性,变换公式如下:

在这里lamda是一个基于数据求取的待定变换参数,Box-Cox的效果如下。

4. 直方图均衡化


直方图均衡也可以将某一个分布归一化到另一个分布,它通过图像的灰度值分布,即图像直方图来对图像进行对比度进调整,可以增强局部的对比度。


它的变换步骤如下:

(1)计算概率密度和累积概率密度。

(2)创建累积概率到灰度分布范围的单调线性映射T。

(3)根据T进行原始灰度值到新灰度值的映射。


直方图均衡化将任意的灰度范围映射到全局灰度范围之间,对于8位的图像就是(0,255),它相对于直接线性拉伸,让分布更加均匀,对于增强相近灰度的对比度很有效,如下图。

综上,归一化数据的目标,是为了让数据的分布变得更加符合期望,增强数据的表达能力。


在深度学习中,因为网络的层数非常多,如果数据分布在某一层开始有明显的偏移,随着网络的加深这一问题会加剧(这在BN的文章中被称之为internal covariate shift),进而导致模型优化的难度增加,甚至不能优化。所以,归一化就是要减缓这个问题。


2 Batch Normalization


1、基本原理


现在一般采用批梯度下降方法对深度学习进行优化,这种方法把数据分为若干组,按组来更新参数,一组中的数据共同决定了本次梯度的方向,下降时减少了随机性。另一方面因为批的样本数与整个数据集相比小了很多,计算量也下降了很多。


Batch Normalization(简称BN)中的batch就是批量数据,即每一次优化时的样本数目,通常BN网络层用在卷积层后,用于重新调整数据分布。假设神经网络某层一个batch的输入为X=[x1,x2,...,xn],其中xi代表一个样本,n为batch size。


首先,我们需要求得mini-batch里元素的均值:

接下来,求取mini-batch的方差:

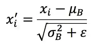
这样我们就可以对每个元素进行归一化。

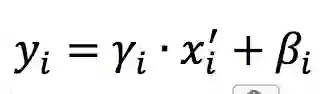
最后进行尺度缩放和偏移操作,这样可以变换回原始的分布,实现恒等变换,这样的目的是为了补偿网络的非线性表达能力,因为经过标准化之后,偏移量丢失。具体的表达如下,yi就是网络的最终输出。

假如gamma等于方差,beta等于均值,就实现了恒等变换。


从某种意义上来说,gamma和beta代表的其实是输入数据分布的方差和偏移。对于没有BN的网络,这两个值与前一层网络带来的非线性性质有关,而经过变换后,就跟前面一层无关,变成了当前层的一个学习参数,这更加有利于优化并且不会降低网络的能力。


对于CNN,BN的操作是在各个特征维度之间单独进行,也就是说各个通道是分别进行Batch Normalization操作的。


如果输出的blob大小为(N,C,H,W),那么在每一层normalization就是基于N*H*W个数值进行求平均以及方差的操作,记住这里我们后面会进行比较。


2.BN带来的好处。


(1) 减轻了对参数初始化的依赖,这是利于调参的朋友们的。

(2) 训练更快,可以使用更高的学习率。

(3) BN一定程度上增加了泛化能力,dropout等技术可以去掉。


3.BN的缺陷


从上面可以看出,batch normalization依赖于batch的大小,当batch值很小时,计算的均值和方差不稳定。研究表明对于ResNet类模型在ImageNet数据集上,batch从16降低到8时开始有非常明显的性能下降,在训练过程中计算的均值和方差不准确,而在测试的时候使用的就是训练过程中保持下来的均值和方差。


这一个特性,导致batch normalization不适合以下的几种场景。


(1)batch非常小,比如训练资源有限无法应用较大的batch,也比如在线学习等使用单例进行模型参数更新的场景。

(2)rnn,因为它是一个动态的网络结构,同一个batch中训练实例有长有短,导致每一个时间步长必须维持各自的统计量,这使得BN并不能正确的使用。在rnn中,对bn进行改进也非常的困难。不过,困难并不意味着没人做,事实上现在仍然可以使用的,不过这超出了咱们初识境的学习范围。


4.BN的改进


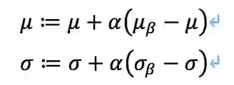
针对BN依赖于batch的这个问题,BN的作者亲自现身提供了改进,即在原来的基础上增加了一个仿射变换。

其中参数r,d就是仿射变换参数,它们本身是通过如下的方式进行计算的

其中参数都是通过滑动平均的方法进行更新

所以r和d就是一个跟样本有关的参数,通过这样的变换来进行学习,这两个参数在训练的时候并不参与训练。


在实际使用的时候,先使用BN进行训练得到一个相对稳定的移动平均,网络迭代的后期再使用刚才的方法,称为Batch Renormalization,当然r和d的大小必须进行限制。


3 Batch Normalization的变种


Normalization思想非常简单,为深层网络的训练做出了很大贡献。因为有依赖于样本数目的缺陷,所以也被研究人员盯上进行改进。说的比较多的就是Layer Normalization与Instance Normalization,Group Normalization了。


前面说了Batch Normalization各个通道之间是独立进行计算,如果抛弃对batch的依赖,也就是每一个样本都单独进行normalization,同时各个通道都要用到,就得到了Layer Normalization。


跟Batch Normalization仅针对单个神经元不同,Layer Normalization考虑了神经网络中一层的神经元。如果输出的blob大小为(N,C,H,W),那么在每一层Layer Normalization就是基于C*H*W个数值进行求平均以及方差的操作。


Layer Normalization把每一层的特征通道一起用于归一化,如果每一个特征层单独进行归一化呢?也就是限制在某一个特征通道内,那就是instance normalization了。


如果输出的blob大小为(N,C,H,W),那么在每一层Instance Normalization就是基于H*W个数值进行求平均以及方差的操作。对于风格化类的图像应用,Instance Normalization通常能取得更好的结果,它的使用本来就是风格迁移应用中提出。


Group Normalization是Layer Normalization和Instance Normalization 的中间体, Group Normalization将channel方向分group,然后对每个Group内做归一化,算其均值与方差。

如果输出的blob大小为(N,C,H,W),将通道C分为G个组,那么Group  Normalization就是基于G*H*W个数值进行求平均以及方差的操作。我只想说,你们真会玩,要榨干所有可能性。


在Batch Normalization之外,有人提出了通用版本Generalized Batch Normalization,有人提出了硬件更加友好的L1-Norm Batch Normalization等,不再一一讲述。


另一方面,以上的Batch Normalization,Layer Normalization,Instance Normalization都是将规范化应用于输入数据x,Weight normalization则是对权重进行规范化,感兴趣的可以自行了解,使用比较少,也不在我们的讨论范围。


这么多的Normalization怎么使用呢?有一些基本的建议吧,不一定是正确答案。


(1) 正常的处理图片的CNN模型都应该使用Batch Normalization。只要保证batch size较大(不低于32),并且打乱了输入样本的顺序。如果batch太小,则优先用Group Normalization替代。


(2)对于RNN等时序模型,有时候同一个batch内部的训练实例长度不一(不同长度的句子),则不同的时态下需要保存不同的统计量,无法正确使用BN层,只能使用Layer Normalization。


(3) 对于图像生成以及风格迁移类应用,使用Instance Normalization更加合适。


4 Batch Normalization的思考


最后是关于Batch Normalization的思考,应该说,normalization机制至今仍然是一个非常open的问题,相关的理论研究一直都有,大家最关心的是Batch Normalization怎么就有效了。


之所以只说Batch Normalization,是因为上面的这些方法的差异主要在于计算normalization的元素集合不同。Batch Normalization是N*H*W,Layer Normalization是C*H*W,Instance Normalization是H*W,Group Normalization是G*H*W。


关于Normalization的有效性,有以下几个主要观点:


(1) 主流观点,Batch Normalization调整了数据的分布,不考虑激活函数,它让每一层的输出归一化到了均值为0方差为1的分布,这保证了梯度的有效性,目前大部分资料都这样解释,比如BN的原始论文认为的缓解了Internal Covariate Shift(ICS)问题。


(2) 可以使用更大的学习率,文[2]指出BN有效是因为用上BN层之后可以使用更大的学习率,从而跳出不好的局部极值,增强泛化能力,在它们的研究中做了大量的实验来验证。


(3) 损失平面平滑。文[3]的研究提出,BN有效的根本原因不在于调整了分布,因为即使是在BN层后模拟ICS,也仍然可以取得好的结果。它们指出,BN有效的根本原因是平滑了损失平面。之前我们说过,Z-score标准化对于包括孤立点的分布可以进行更平滑的调整。


算了,让大佬先上吧。


[1] Ioffe S, Szegedy C. Batch normalization: Accelerating deep network training by reducing internal covariate shift[J]. arXiv preprint arXiv:1502.03167, 2015.

[2] Bjorck N, Gomes C P, Selman B, et al. Understanding batch normalization[C]//Advances in Neural Information Processing Systems. 2018: 7705-7716.

[3] Santurkar S, Tsipras D, Ilyas A, et al. How does batch normalization help optimization?[C]//Advances in Neural Information Processing Systems. 2018: 2488-2498.


总结


BN层技术的出现确实让网络学习起来更加简单了,降低了调参的工作量,不过它本身的作用机制还在被广泛研究中。几乎就像是深度学习中没有open问题的一个缩影,BN到底为何,还无定论,如果你有兴趣和时间,不妨也去踩一坑。



-完-




*延伸阅读



添加极市小助手微信(ID : cv-mart),备注:进-姓名-研究方向即可申请加入极市技术交流群,更有每月大咖直播分享、真实项目需求对接、干货资讯汇总,行业技术交流,一起来让思想之光照的更远吧~


△长按添加极市小助手


△长按关注极市平台



觉得有用麻烦给个在看啦~  

登录查看更多
0

相关内容

最新《自动微分手册》77页pdf
专知会员服务
104+阅读 · 2020年6月6日
【CVPR 2020-商汤】8比特数值也能训练卷积神经网络模型
专知会员服务
26+阅读 · 2020年5月7日
【CVPR2020】MSG-GAN:用于稳定图像合成的多尺度梯度GAN
专知会员服务
29+阅读 · 2020年4月6日
【伯克利】再思考 Transformer中的Batch Normalization
专知会员服务
41+阅读 · 2020年3月21日
【模型泛化教程】标签平滑与Keras, TensorFlow,和深度学习
专知会员服务
21+阅读 · 2019年12月31日
深度学习算法与架构回顾
专知会员服务
84+阅读 · 2019年10月20日
深度学习在图像处理的应用一览
极市平台
17+阅读 · 2019年11月21日
初学者的 Keras:实现卷积神经网络
Python程序员
24+阅读 · 2019年9月8日
网络宽度对深度学习模型性能有什么影响?
极市平台
15+阅读 · 2019年7月7日
那些酷炫的深度学习网络图怎么画出来的?
极市平台
28+阅读 · 2019年6月16日
深度学习优化算法总结(SGD,AdaGrad,Adam等)
极市平台
34+阅读 · 2019年4月30日
详解深度学习中的Normalization,不只是BN(1)
PaperWeekly
5+阅读 · 2018年2月6日
[深度学习] AlexNet,GoogLeNet,VGG,ResNet简化版
机器学习和数学
20+阅读 · 2017年10月13日
干货 | 深度学习之损失函数与激活函数的选择
机器学习算法与Python学习
15+阅读 · 2017年9月18日
Layer Normalization原理及其TensorFlow实现
深度学习每日摘要
32+阅读 · 2017年6月17日
Arxiv
7+阅读 · 2018年11月6日
Arxiv
7+阅读 · 2018年3月22日
Arxiv
5+阅读 · 2018年1月30日
VIP会员
最新内容
《美陆军条例:陆军指挥政策(2026版)》
专知会员服务
10+阅读 · 4月21日
《军用自主人工智能系统的治理与安全》
专知会员服务
5+阅读 · 4月21日
《系统簇式多域作战规划范畴论框架》
专知会员服务
10+阅读 · 4月20日
高效视频扩散模型:进展与挑战
专知会员服务
5+阅读 · 4月20日
乌克兰前线的五项创新
专知会员服务
8+阅读 · 4月20日
 军事通信系统与设备的技术演进综述
专知会员服务
7+阅读 · 4月20日
《北约标准:医疗评估手册》174页
专知会员服务
6+阅读 · 4月20日
相关VIP内容
最新《自动微分手册》77页pdf
专知会员服务
104+阅读 · 2020年6月6日
【CVPR 2020-商汤】8比特数值也能训练卷积神经网络模型
专知会员服务
26+阅读 · 2020年5月7日
【CVPR2020】MSG-GAN:用于稳定图像合成的多尺度梯度GAN
专知会员服务
29+阅读 · 2020年4月6日
【伯克利】再思考 Transformer中的Batch Normalization
专知会员服务
41+阅读 · 2020年3月21日
【模型泛化教程】标签平滑与Keras, TensorFlow,和深度学习
专知会员服务
21+阅读 · 2019年12月31日
深度学习算法与架构回顾
专知会员服务
84+阅读 · 2019年10月20日
相关资讯
深度学习在图像处理的应用一览
极市平台
17+阅读 · 2019年11月21日
初学者的 Keras:实现卷积神经网络
Python程序员
24+阅读 · 2019年9月8日
网络宽度对深度学习模型性能有什么影响?
极市平台
15+阅读 · 2019年7月7日
那些酷炫的深度学习网络图怎么画出来的?
极市平台
28+阅读 · 2019年6月16日
深度学习优化算法总结(SGD,AdaGrad,Adam等)
极市平台
34+阅读 · 2019年4月30日
详解深度学习中的Normalization,不只是BN(1)
PaperWeekly
5+阅读 · 2018年2月6日
[深度学习] AlexNet,GoogLeNet,VGG,ResNet简化版
机器学习和数学
20+阅读 · 2017年10月13日
干货 | 深度学习之损失函数与激活函数的选择
机器学习算法与Python学习
15+阅读 · 2017年9月18日
Layer Normalization原理及其TensorFlow实现
深度学习每日摘要
32+阅读 · 2017年6月17日
相关论文
Top
微信扫码咨询专知VIP会员