《机器学习实战》学习笔记:K-近邻算法入门及实战|万字长文

2017 年 8 月 27 日 量子位 专注报道AI
作者:崔家华
东北大学|模式识别与智能系统研究生
量子位 已获授权编辑发布

在模式识别领域中,K-近邻算法(KNN算法)是一种用于分类和回归的非参数统计方法。

在这篇文章中,作者先详细介绍了K-近邻算法的基础知识,接着在Python 3中演示了约会网站配对实战和sklearn手写数字识别。形象生动,简明易懂。

在文章正式开始前,可能你需要这些信息——

Github代码获取:

https://github.com/Jack-Cherish/Machine-Learning/

Python版本: Python3.x

运行平台: Windows

IDE: Sublime text3

想入门的你还不快来上车。

一. 简单k-近邻算法

本文将从k-邻近算法的思想开始讲起,使用python3一步一步编写代码进行实战训练。并且,我也提供了相应的数据集,对代码进行了详细的注释。除此之外,本文也对sklearn实现k-邻近算法的方法进行了讲解。

实战实例:电影类别分类、约会网站配对效果判定、手写数字识别。
本文出现的所有代码和数据集,均可在我的github上下载,欢迎Follow、Star——

下载地址:

https://github.com/Jack-Cherish/Machine-Learning/tree/master/kNN

1.k-近邻法简介

k近邻法(k-nearest neighbor, k-NN)是1967年由Cover T和Hart P提出的一种基本分类与回归方法。

它的工作原理是:存在一个样本数据集合,也称作为训练样本集,并且样本集中每个数据都存在标签,即我们知道样本集中每一个数据与所属分类的对应关系。

输入没有标签的新数据后,将新的数据的每个特征与样本集中数据对应的特征进行比较,然后算法提取样本最相似数据(最近邻)的分类标签。一般来说,我们只选择样本数据集中前k个最相似的数据,这就是k-近邻算法中k的出处,通常k是不大于20的整数。

最后,选择k个最相似数据中出现次数最多的分类,作为新数据的分类。

举个简单的例子,我们可以使用k-近邻算法分类一个电影是爱情片还是动作片。

 表1.1 每部电影的打斗镜头数、接吻镜头数以及电影类型

表1.1 就是我们已有的数据集合,也就是训练样本集。这个数据集有两个特征,即打斗镜头数和接吻镜头数。除此之外,我们也知道每个电影的所属类型,即分类标签。用肉眼粗略地观察,接吻镜头多的,是爱情片。打斗镜头多的,是动作片。

以我们多年的看片经验,这个分类还算合理。如果现在给我一部电影,你告诉我这个电影打斗镜头数和接吻镜头数。

不告诉我这个电影类型,我可以根据你给我的信息进行判断,这个电影是属于爱情片还是动作片。而k-近邻算法也可以像我们人一样做到这一点,不同的地方在于,我们的经验更”牛逼”,而k-邻近算法是靠已有的数据。

比如,你告诉我这个电影打斗镜头数为2,接吻镜头数为102,我的经验会告诉你这个是爱情片,k-近邻算法也会告诉你这个是爱情片。

你又告诉我另一个电影打斗镜头数为49,接吻镜头数为51,我”邪恶”的经验可能会告诉你,这有可能是个”爱情动作片”,画面太美,我不敢想象。 (如果说,你不知道”爱情动作片”是什么?请评论留言与我联系,我需要你这样像我一样纯洁的朋友。)

但是k-近邻算法不会告诉你这些,因为在它的眼里,电影类型只有爱情片和动作片,它会提取样本集中特征最相似数据(最邻近)的分类标签,得到的结果可能是爱情片,也可能是动作片,但绝不会是”爱情动作片”。当然,这些取决于数据集的大小以及最近邻的判断标准等因素。

2.距离度量

我们已经知道k-近邻算法根据特征比较,然后提取样本集中特征最相似数据(最邻近)的分类标签。那么,如何进行比较呢?比如,我们还是以表1.1为例,怎么判断红色圆点标记的电影所属的类别呢? 如图1.1所示。

 图1.1 电影分类

我们可以从散点图大致推断,这个红色圆点标记的电影可能属于动作片,因为距离已知的那两个动作片的圆点更近。k-近邻算法用什么方法进行判断呢?

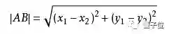
没错,就是距离度量。这个电影分类的例子有2个特征,也就是在2维实数向量空间,可以使用我们高中学过的两点距离公式计算距离,如图1.2所示。


通过计算,我们可以得到如下结果:

(101,20)->动作片(108,5)的距离约为16.55

(101,20)->动作片(115,8)的距离约为18.44

(101,20)->爱情片(5,89)的距离约为118.22

(101,20)->爱情片(1,101)的距离约为128.69

通过计算可知,红色圆点标记的电影到动作片 (108,5)的距离最近,为16.55。如果算法直接根据这个结果,判断该红色圆点标记的电影为动作片,这个算法就是最近邻算法,而非k-近邻算法。那么k-邻近算法是什么呢?k-近邻算法步骤如下:

计算已知类别数据集中的点与当前点之间的距离;

按照距离递增次序排序;

选取与当前点距离最小的k个点;

确定前k个点所在类别的出现频率;

返回前k个点所出现频率最高的类别作为当前点的预测分类。

比如,现在我这个k值取3,那么在电影例子中,按距离依次排序的三个点分别是动作片(108,5)、动作片(115,8)、爱情片(5,89)。在这三个点中,动作片出现的频率为三分之二,爱情片出现的频率为三分之一,所以该红色圆点标记的电影为动作片。

这个判别过程就是k-近邻算法。

3.Python3代码实现

我们已经知道了k-近邻算法的原理,那么接下来就是使用Python3实现该算法,依然以电影分类为例。

(1)准备数据集

对于表1.1中的数据,我们可以使用numpy直接创建,代码如下:

运行结果,如图1.3所示:

 图1.3 运行结果

(2)k-近邻算法

根据两点距离公式,计算距离,选择距离最小的前k个点,并返回分类结果。

运行结果,如图1.4所示:

 图1.4 运行结果

可以看到,分类结果根据我们的”经验”,是正确的,尽管这种分类比较耗时,用时1.4s。

到这里,也许有人早已经发现,电影例子中的特征是2维的,这样的距离度量可以用两 点距离公式计算,但是如果是更高维的呢?

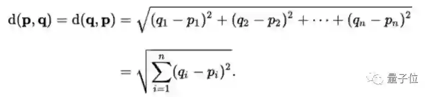
对,没错。我们可以用欧氏距离(也称欧几里德度量),如图1.5所示。我们高中所学的两点距离公式就是欧氏距离在二维空间上的公式,也就是欧氏距离的n的值为2的情况。

 图1.5 欧氏距离公式

看到这里,有人可能会问:“分类器何种情况下会出错?”或者“答案是否总是正确的?”答案是否定的,分类器并不会得到百分百正确的结果,我们可以使用多种方法检测分类器的正确率。此外分类器的性能也会受到多种因素的影响,如分类器设置和数据集等。

不同的算法在不同数据集上的表现可能完全不同。为了测试分类器的效果,我们可以使用已知答案的数据,当然答案不能告诉分类器,检验分类器给出的结果是否符合预期结果。

通过大量的测试数据,我们可以得到分类器的错误率-分类器给出错误结果的次数除以测试执行的总数。

错误率是常用的评估方法,主要用于评估分类器在某个数据集上的执行效果。完美分类器的错误率为0,最差分类器的错误率是1.0。

同时,我们也不难发现,k-近邻算法没有进行数据的训练,直接使用未知的数据与已知的数据进行比较,得到结果。因此,可以说k-邻近算法不具有显式的学习过程。

二.k-近邻算法实战之约会网站配对效果判定

上一小结学习了简单的k-近邻算法的实现方法,但是这并不是完整的k-近邻算法流程,k-近邻算法的一般流程:

  • 收集数据:可以使用爬虫进行数据的收集,也可以使用第三方提供的免费或收费的数据。一般来讲,数据放在txt文本文件中,按照一定的格式进行存储,便于解析及处理。

  • 准备数据:使用Python解析、预处理数据。

  • 分析数据:可以使用很多方法对数据进行分析,例如使用Matplotlib将数据可视化。

  • 测试算法:计算错误率。

  • 使用算法:错误率在可接受范围内,就可以运行k-近邻算法进行分类。

已经了解了k-近邻算法的一般流程,下面开始进入实战内容。

1.实战背景

海伦女士一直使用在线约会网站寻找适合自己的约会对象。尽管约会网站会推荐不同的任选,但她并不是喜欢每一个人。经过一番总结,她发现自己交往过的人可以进行如下分类:

  • 不喜欢的人

  • 魅力一般的人

  • 极具魅力的人

海伦收集约会数据已经有了一段时间,她把这些数据存放在文本文件datingTestSet.txt中,每个样本数据占据一行,总共有1000行。

datingTestSet.txt数据下载:

https://github.com/Jack-Cherish/Machine-Learning/blob/master/kNN/2.%E6%B5%B7%E4%BC%A6%E7%BA%A6%E4%BC%9A/datingTestSet.txt

海伦收集的样本数据主要包含以下3种特征:

每年获得的飞行常客里程数

玩视频游戏所消耗时间百分比

每周消费的冰淇淋公升数

这里不得不吐槽一句,海伦是个小吃货啊,冰淇淋公斤数都影响自己择偶标准。打开txt文本文件,数据格式如图2.1所示。

 图2.1 datingTestSet.txt格式

2.准备数据:数据解析

在将上述特征数据输入到分类器前,必须将待处理的数据的格式改变为分类器可以接收的格式。分类器接收的数据是什么格式的?

从上小结已经知道,要将数据分类两部分,即特征矩阵和对应的分类标签向量。在kNN_test02.py文件中创建名为file2matrix的函数,以此来处理输入格式问题。 将datingTestSet.txt放到与kNN_test02.py相同目录下,编写代码如下:

运行上述代码,得到的数据解析结果如图2.2所示。

 图2.2 数据解析结果

可以看到,我们已经顺利导入数据,并对数据进行解析,格式化为分类器需要的数据格式。接着我们需要了解数据的真正含义。可以通过友好、直观的图形化的方式观察数据。

3.分析数据:数据可视化

在kNN_test02.py文件中编写名为showdatas的函数,用来将数据可视化。编写代码如下:

运行上述代码,得到的数据解析结果如图2.2所示。

 图2.2 数据解析结果

可以看到,我们已经顺利导入数据,并对数据进行解析,格式化为分类器需要的数据格式。接着我们需要了解数据的真正含义。可以通过友好、直观的图形化的方式观察数据。

3.分析数据:数据可视化

在kNN_test02.py文件中编写名为showdatas的函数,用来将数据可视化。编写代码如下:

运行上述代码,可以看到可视化结果如图2.3所示。

 图2.3 数据可视化结果

通过数据可以很直观的发现数据的规律,比如以玩游戏所消耗时间占比与每年获得的飞行常客里程数,只考虑这二维的特征信息,给我的感觉就是海伦喜欢有生活质量的男人。

为什么这么说呢?每年获得的飞行常客里程数表明,海伦喜欢能享受飞行常客奖励计划的男人,但是不能经常坐飞机,疲于奔波,满世界飞。

同时,这个男人也要玩视频游戏,并且占一定时间比例。能到处飞,又能经常玩游戏的男人是什么样的男人?很显然,有生活质量,并且生活悠闲的人。我的分析,仅仅是通过可视化的数据总结的个人看法。我想,每个人的感受应该也是不尽相同。

4.准备数据:数据归一化

表2.1给出了四组样本,如果想要计算样本3和样本4之间的距离,可以使用欧拉公式计算。

 表2.1 约会网站样本数据

计算方法如图2.4所示。

 图2.4 计算公式

我们很容易发现,上面方程中数字差值最大的属性对计算结果的影响最大,也就是说,每年获取的飞行常客里程数对于计算结果的影响将远远大于表2.1中其他两个特征-玩视频游戏所耗时间占比和每周消费冰淇淋公斤数的影响。

而产生这种现象的唯一原因,仅仅是因为飞行常客里程数远大于其他特征值。但海伦认为这三种特征是同等重要的,因此作为三个等权重的特征之一,飞行常客里程数并不应该如此严重地影响到计算结果。

在处理这种不同取值范围的特征值时,我们通常采用的方法是将数值归一化,如将取值范围处理为0到1或者-1到1之间。下面的公式可以将任意取值范围的特征值转化为0到1区间内的值:

其中min和max分别是数据集中的最小特征值和最大特征值。虽然改变数值取值范围增加了分类器的复杂度,但为了得到准确结果,我们必须这样做。在kNN_test02.py文件中编写名为autoNorm的函数,用该函数自动将数据归一化。代码如下:

运行上述代码,得到结果如图2.4所示。

 图2.4 归一化函数运行结果

从图2.4的运行结果可以看到,我们已经顺利将数据归一化了,并且求出了数据的取值范围和数据的最小值,这两个值是在分类的时候需要用到的,直接先求解出来,也算是对数据预处理了。

5.测试算法:验证分类器

机器学习算法一个很重要的工作就是评估算法的正确率,通常我们只提供已有数据的90%作为训练样本来训练分类器,而使用其余的10%数据去测试分类器,检测分类器的正确率。

需要注意的是,10%的测试数据应该是随机选择的,由于海伦提供的数据并没有按照特定目的来排序,所以我么你可以随意选择10%数据而不影响其随机性。

为了测试分类器效果,在kNN_test02.py文件中创建函数datingClassTest,编写代码如下:

运行上述代码,得到结果如图2.5所示。

 图2.5 验证分类器结果

从图2.5验证分类器结果中可以看出,错误率是3%,这是一个想当不错的结果。我们可以改变函数datingClassTest内变量hoRatio和分类器k的值,检测错误率是否随着变量值的变化而增加。依赖于分类算法、数据集和程序设置,分类器的输出结果可能有很大的不同。

6.使用算法:构建完整可用系统

我们可以给海伦一个小段程序,通过该程序海伦会在约会网站上找到某个人并输入他的信息。程序会给出她对男方喜欢程度的预测值。

在kNN_test02.py文件中创建函数classifyPerson,代码如下:

在cmd中,运行程序,并输入数据(12,44000,0.5),预测结果是”你可能有些喜欢这个人”,也就是这个人魅力一般。一共有三个档次:讨厌、有些喜欢、非常喜欢,对应着不喜欢的人、魅力一般的人、极具魅力的人。结果如图2.6所示。

 图2.6 预测结果

三、k-近邻算法实战之sklearn手写数字识别

1.实战背景

对于需要识别的数字已经使用图形处理软件,处理成具有相同的色彩和大小:宽高是32像素x32像素。尽管采用本文格式存储图像不能有效地利用内存空间,但是为了方便理解,我们将图片转换为文本格式,数字的文本格式如图3.1所示。

 图3.1 数字的文本格式

与此同时,这些文本格式存储的数字的文件命名也很有特点,格式为:数字的值_该数字的样本序号,如图3.2所示。

 图3.2 文本数字的存储格式

对于这样已经整理好的文本,我们可以直接使用Python处理,进行数字预测。数据集分为训练集和测试集,使用上小结的方法,自己设计k-近邻算法分类器,可以实现分类。数据集和实现

代码下载地址:

https://github.com/Jack-Cherish/Machine-Learning/tree/master/kNN/3.%E6%95%B0%E5%AD%97%E8%AF%86%E5%88%AB

这里不再讲解自己用Python写的k-邻域分类器的方法,因为这不是本小节的重点。接下来,我们将使用强大的第三方Python科学计算库Sklearn构建手写数字系统。

2.sklearn简介

  • Scikit learn 也简称sklearn,是机器学习领域当中最知名的python模块之一。sklearn包含了很多机器学习的方式:

  • Classification 分类

  • Regression 回归

  • Clustering 非监督分类

  • Dimensionality reduction 数据降维

  • Model Selection 模型选择

  • Preprocessing 数据与处理

使用sklearn可以很方便地让我们实现一个机器学习算法。一个复杂度算法的实现,使用sklearn可能只需要调用几行API即可。所以学习sklearn,可以有效减少我们特定任务的实现周期。

3.sklearn安装

在安装sklearn之前,需要安装两个库,即numpy+mkl和scipy。不要使用pip3直接进行安装,因为pip3默安装的是numpy,而不是numpy+mkl。

第三方库下载地址:
http://www.lfd.uci.edu/~gohlke/pythonlibs/

这个网站的使用方法,我在之前的文章里有讲过:
http://blog.csdn.net/c406495762/article/details/60156205

找到对应python版本的numpy+mkl和scipy,下载安装即可,如图3.3和图3.4所示。

 图3.3 numpy+mkl

 图3.4 scipy

使用pip3安装好这两个whl文件后,使用如下指令安装sklearn。

4.sklearn实现k-近邻算法简介

官网英文文档:

http://scikit-learn.org/stable/modules/generated/sklearn.neighbors.KNeighborsClassifier.html

sklearn.neighbors模块实现了k-近邻算法,内容如图3.5所示。

 图3.5 sklearn.neighbors

我们使用sklearn.neighbors.KNeighborsClassifier就可以是实现上小结,我们实现的k-近邻算法。KNeighborsClassifier函数一共有8个参数,如图3.6所示。

 图3.6 KNeighborsClassifier

KNneighborsClassifier参数说明:

n_neighbors:默认为5,就是k-NN的k的值,选取最近的k个点。

weights:默认是uniform,参数可以是uniform、distance,也可以是用户自己定义的函数。uniform是均等的权重,就说所有的邻近点的权重都是相等的。distance是不均等的权重,距离近的点比距离远的点的影响大。用户自定义的函数,接收距离的数组,返回一组维数相同的权重。

algorithm:快速k近邻搜索算法,默认参数为auto,可以理解为算法自己决定合适的搜索算法。除此之外,用户也可以自己指定搜索算法ball_tree、kd_tree、brute方法进行搜索,brute是蛮力搜索,也就是线性扫描,当训练集很大时,计算非常耗时。

kd_tree,构造kd树存储数据以便对其进行快速检索的树形数据结构,kd树也就是数据结构中的二叉树。以中值切分构造的树,每个结点是一个超矩形,在维数小于20时效率高。

ball tree是为了克服kd树高纬失效而发明的,其构造过程是以质心C和半径r分割样本空间,每个节点是一个超球体。

leaf_size:默认是30,这个是构造的kd树和ball树的大小。这个值的设置会影响树构建的速度和搜索速度,同样也影响着存储树所需的内存大小。需要根据问题的性质选择最优的大小。

metric:用于距离度量,默认度量是minkowski,也就是p=2的欧氏距离(欧几里德度量)。

p:距离度量公式。在上小结,我们使用欧氏距离公式进行距离度量。除此之外,还有其他的度量方法,例如曼哈顿距离。这个参数默认为2,也就是默认使用欧式距离公式进行距离度量。也可以设置为1,使用曼哈顿距离公式进行距离度量。

metric_params:距离公式的其他关键参数,这个可以不管,使用默认的None即可。

n_jobs:并行处理设置。默认为1,临近点搜索并行工作数。如果为-1,那么CPU的所有cores都用于并行工作。

KNeighborsClassifier提供了以一些方法供我们使用,如图3.7所示。

 图3.5 KNeighborsClassifier的方法

由于篇幅原因,每个函数的怎么用,就不具体讲解了。官方手册已经讲解的很详细了,各位可以查看这个手册进行学习,我们直接讲手写数字识别系统的实现。

5.sklearn小试牛刀

我们知道数字图片是32x32的二进制图像,为了方便计算,我们可以将32x32的二进制图像转换为1x1024的向量。

对于sklearn的KNeighborsClassifier输入可以是矩阵,不用一定转换为向量,不过为了跟自己写的k-近邻算法分类器对应上,这里也做了向量化处理。然后构建kNN分类器,利用分类器做预测。创建kNN_test04.py文件,编写代码如下:

运行上述代码,得到如图3.8所示的结果。

 图3.8 sklearn运行结果

上述代码使用的algorithm参数是auto,更改algorithm参数为brute,使用暴力搜索,你会发现,运行时间变长了,变为10s+。更改n_neighbors参数,你会发现,不同的值,检测精度也是不同的。自己可以尝试更改这些参数的设置,加深对其函数的理解。

四、总结

1.kNN算法的优缺点

  • 优点

简单好用,容易理解,精度高,理论成熟,既可以用来做分类也可以用来做回归;

可用于数值型数据和离散型数据;

训练时间复杂度为O(n);无数据输入假定;

对异常值不敏感

  • 缺点

计算复杂性高;空间复杂性高;

样本不平衡问题(即有些类别的样本数量很多,而其它样本的数量很少);

一般数值很大的时候不用这个,计算量太大。但是单个样本又不能太少,否则容易发生误分。

最大的缺点是无法给出数据的内在含义。

2.其他

关于algorithm参数kd_tree的原理,可以查看《统计学方法 李航》书中的讲解;

关于距离度量的方法还有切比雪夫距离、马氏距离、巴氏距离等;

下篇文章将讲解决策树,欢迎各位的捧场!

如有问题,请留言。如有错误,还望指正,谢谢!

五.参考说明

本文中提到的电影类别分类、约会网站配对效果判定、手写数字识别实例和数据集,均来自于《机器学习实战》的第二章k-近邻算法。

本文的理论部分,参考自《统计学习方法 李航》的第三章k近邻法以及《机器学习实战》的第二章k-邻近算法。


点击左下角“阅读原文”处,可以进入作者的知乎专栏,可以查看高清完整版代码

还能解锁更多优质文章~

加入社群

量子位AI社群7群开始招募啦,欢迎对AI感兴趣的同学,加小助手微信qbitbot2入群;


此外,量子位专业细分群(自动驾驶、CV、NLP、机器学习等)正在招募,面向正在从事相关领域的工程师及研究人员。


进群请加小助手微信号qbitbot2,并务必备注相应群的关键词~通过审核后我们将邀请进群。(专业群审核较严,敬请谅解)

诚挚招聘

量子位正在招募编辑/记者,工作地点在北京中关村。期待有才气、有热情的同学加入我们!相关细节,请在量子位公众号(QbitAI)对话界面,回复“招聘”两个字。

量子位 QbitAI

վ'ᴗ' ի 追踪AI技术和产品新动态


登录查看更多
2

相关内容

专知会员服务
142+阅读 · 2020年5月19日
一份简短《图神经网络GNN》笔记,入门小册
专知会员服务
226+阅读 · 2020年4月11日
【干货书】机器学习Python实战教程,366页pdf
专知会员服务
347+阅读 · 2020年3月17日
六篇 CIKM 2019 必读的【图神经网络(GNN)】长文论文
专知会员服务
38+阅读 · 2019年11月3日
机器学习入门的经验与建议
专知会员服务
94+阅读 · 2019年10月10日
《机器学习实战》代码(基于Python3)
专知
33+阅读 · 2019年10月14日
赶紧收藏!西瓜书《机器学习》完整笔记来了
大数据技术
30+阅读 · 2019年8月24日
学术派整理,一份从基础到实战的 NLP 学习清单
人工智能头条
7+阅读 · 2019年2月13日
人脸识别入门实战
人工智能头条
4+阅读 · 2018年12月12日
推荐|一份不错的机器学习笔记!
全球人工智能
22+阅读 · 2017年11月20日
ML笔记 | 零基础学懂机器学习(六)
七月在线实验室
5+阅读 · 2017年11月2日
机器学习基础篇--监督学习经典案例(Python实现)
Python技术博文
8+阅读 · 2017年10月24日
支持向量机分类实战
全球人工智能
4+阅读 · 2017年10月18日
Arxiv
6+阅读 · 2018年4月4日
Arxiv
29+阅读 · 2017年12月6日
Arxiv
5+阅读 · 2015年9月14日
VIP会员
最新内容
BES:让语言模型通过双向进化搜索自我改进
专知会员服务
0+阅读 · 今天16:48
以色列-美国-伊朗战争中的无人机:关键要点
专知会员服务
3+阅读 · 今天14:04
《Palantir任务保障性软件安全标准(MA-S2)》
专知会员服务
6+阅读 · 今天13:49
基于声学的无人机检测技术综述
专知会员服务
5+阅读 · 今天13:37
《当代混合战争分析框架:俄乌战争经验教训》
专知会员服务
5+阅读 · 今天13:11
战略前沿人工智能的再思考(中文)
专知会员服务
7+阅读 · 5月29日
《量化地基防空系统间接效应的博弈论方法》
专知会员服务
5+阅读 · 5月29日
相关VIP内容
相关资讯
《机器学习实战》代码(基于Python3)
专知
33+阅读 · 2019年10月14日
赶紧收藏!西瓜书《机器学习》完整笔记来了
大数据技术
30+阅读 · 2019年8月24日
学术派整理,一份从基础到实战的 NLP 学习清单
人工智能头条
7+阅读 · 2019年2月13日
人脸识别入门实战
人工智能头条
4+阅读 · 2018年12月12日
推荐|一份不错的机器学习笔记!
全球人工智能
22+阅读 · 2017年11月20日
ML笔记 | 零基础学懂机器学习(六)
七月在线实验室
5+阅读 · 2017年11月2日
机器学习基础篇--监督学习经典案例(Python实现)
Python技术博文
8+阅读 · 2017年10月24日
支持向量机分类实战
全球人工智能
4+阅读 · 2017年10月18日
Top
微信扫码咨询专知VIP会员