论文 | 中文词向量论文综述(三)

2018 年 8 月 29 日 黑龙江大学自然语言处理实验室

| 作者:黑龙江大学nlp实验室研究生刘宗林


导读

一、Learning Chinese Word Representations From Glyphs Of Characters

论文来源

这是一篇2017年发表在EMNLP(Empirical Methods in Natural Language Processing)会议上的论文,作者来自于台湾大学 --- Tzu-Ray Su 和 Hung-Yi Lee。


Abstract


这篇论文的出发点也很新颖,中文汉字可以认为是由图形组件组成的,具有丰富的语义信息,基于此,提出了一个新的学习中文词向量的方法,通过图形字符(character glyphs)来增强词的表示,character glyphs通过图像卷积从位图(bitmaps)中编码得来,character glyphs特征加强了word的表示,也提高了character embedding。這篇论文虽然是在繁体中文进行的改进,不过idea同样也可以应用在简体中文中。在 Word Similarity 和 Word Analogy 上验证了其实验效果。


Model


這篇论文的模型参考了CWE模型和MGE模型,模型部分也是分为了几个阶段,第一个阶段是通过convAE从位图中抽取glyph特征,第二阶段是在已有的中文词向量模型中进行改进提高,像CWE,MGW模型,第三阶段是直接使用glyph特征学习中文词向量表示。


Character Bitmap Feature Extraction


前期把字符全部转换成图像,通过convAE对图像抽取特征,convAE的模型结构图如下图所示,通过convAE最后的输出得到的512维的特征,character的glyph特征表示为g_k。



Glyph-Enhanced Word Embedding (GWE)


在這部分对CWE模型做了两个调整分别构建了CWE+ctxG模型和CWE+tarG模型。

  1. Enhanced by Context Word Glyphs --- CWE+ctxG模型
    在CWE的基础之上增加了上下文词的glyph特征, 模型图如下所示,



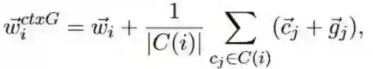
其中,W(ctxG)_i的表示如下,其实计算就是word embedding + avgall(character embedding + glyph embedding),



Enhanced by Target Word Glyphs --- CWE+tarG模型


CWE+tarG模型和上文差不多,不过这个加入的是目标词的glyph特征,具体的模型图如下。



Directly Learn From Character Glyph Features


在这部分仅仅通过glyph特征与RNN循环神经网络构建了两个模型,分别是 RNN-Skipgram 和 RNN-Glove。

  1. RNN-Skipgram
    RNN-Skipgram是把RNN和skipgram结合,通过RNN对glyph特征进行编码,产生隐层表示,然后把隐层表示作为skipgram的输入,进行预测,具体的模型结构图如下图所示。



RNN-Glove


通过两个RNN循环神经网络,输入分别是中心词和上下文词的glyph特征,与RNN-Skipgram有微小的差别,输入中心词的网络后连接的是一个共享网络,输入上下文词的网络后面是全连接层,然后两个的输出的内积就是log(X_ij)的预测。



Experiment Result


在 Word Similarity 和 Word Analogy 上验证了其实验效果,由于以前的评测文件都是基于简体中文的,他们对其手工翻译成繁体中文的数据集进行评测。
Word Similarity采用的评测文件是wordsim-240,wordsim-296,由于中文简体和繁体在翻译过程中产生的歧义性,他们手工构建了SimLex-999评测文件,并把SimLex-999作为第三个评测文件,具体的实验结果如下图。



Word Analogy采用的是Chen 2015年构造的评测文件,但是增加了一个Job&Place,具体的实验结果如下图。 




二、 Joint Embeddings of Chinese Words, Characters, and Subcharacter Components


论文来源


这是一篇2017年发表在EMNLP(Empirical Methods in Natural Language Processing)会议上的论文,作者来自于香港科技大学 --- Jinxing Yu。


Abstract


与西方语言不同,中文汉字包含了丰富的语义信息,这篇论文提出了一个联合学习word,character和更加细粒度的subcharacter的方法来学习word embedding。在Word Similarity 和 Word Analogy任务上验证其优越性。


Model


提出了一个联合( Chinese words, characters, and subcharacter components)学习word embedding的模型,称之为JWE模型,JWE模型也是基于CBOW来进行的完善,模型结构如下图。根据下图,只是在输入端多了一些改变,w_i代表目标词;w_i+1,w_i-1代表上下文词;c_i-1,c_i+1代表上下文词的character;s_i+1,s_i-1代表上下文词的subcharacter(radical),s_i代表目标词的subcharacter(radical)。



损失函数有所不同,为三者的相加,具体公式如下,其中h_i1,h_i2,h_i3分别代表context word,context character,context subcharacter,h_i1,h_i2,h_i3分别取三者的平均值作为表示,例如h_i1如下图2所示,v_wi代表的是context word。



Experiment Result


在 Word Similarity 和 Word Analogy 上验证了其优越性。
论文在模型上尝试了不同的组合来进行实验,具体如下:

  1. +c   :代表的是component特征

  2. +r    :代表的是radical特征

  3. +p   :代表的是subcharacter components 特征

  4. +p1 :代表的是使用上下文词的subcharacter components 特征

  5. +p2 :代表的是使用目标词的subcharacter components 特征

  6. +p3 :代表的是使用上下文词和目标词的subcharacter components 的特征

  7. -n    :代表的是仅仅使用character

  8. 具体来说上面提到的component,radical(偏旁),subcharacter,比如照这个汉字,它的radical是 灬,component是日、刀、口,subcharacter是subcharacter components,应该是所有的components(包含radical)。


Word Similarity采用的评测文件是wordsim-240,wordsim-295,wordsim-296移除了评测文件中没有出现在训练语料中的一个词,变为评测文件wordsim-295,具体的实验结果如下图。



Word Analogy采用的是Chen 2015年构造的评测文件,具体的实验结果如下图。


References


[1] Learning Chinese Word Representations From Glyphs Of Characters
[2] Joint Embeddings of Chinese Words, Characters, and Fine-grained Subcharacter Components



推荐阅读

基础 | TreeLSTM Sentiment Classification

基础 | 详解依存树的来龙去脉及用法

基础 | 基于注意力机制的seq2seq网络

原创 | Simple Recurrent Unit For Sentence Classification

原创 | Attention Modeling for Targeted Sentiment

原创 | cw2vec理论及其实现

基础 | 中英文词向量评测理论与实践


欢迎关注交流




登录查看更多
2

相关内容

BERT进展2019四篇必读论文
专知会员服务
70+阅读 · 2020年1月2日
2019->2020必看的十篇「深度学习领域综述」论文
专知会员服务
275+阅读 · 2020年1月1日
深度学习自然语言处理综述,266篇参考文献
专知会员服务
231+阅读 · 2019年10月12日
【综述】智能医疗综述,48页论文详述医学AI最新进展
专知会员服务
71+阅读 · 2019年9月1日
论文浅尝 | 基于属性嵌入的知识图谱间实体对齐方法
开放知识图谱
30+阅读 · 2019年3月26日
论文浅尝 | 图神经网络综述:方法及应用
开放知识图谱
114+阅读 · 2019年2月14日
论文 | 中文词向量论文综述(一)
黑龙江大学自然语言处理实验室
7+阅读 · 2018年8月13日
Attention模型方法综述 | 多篇经典论文解读
PaperWeekly
107+阅读 · 2018年6月11日
Arxiv
14+阅读 · 2018年5月15日
Arxiv
3+阅读 · 2018年3月14日
Arxiv
5+阅读 · 2017年10月27日
Arxiv
151+阅读 · 2017年8月1日
VIP会员
最新内容
人工智能在战场行动中的演进及伊朗案例
专知会员服务
2+阅读 · 今天13:08
美AI公司Anthropic推出网络安全模型“Mythos”
专知会员服务
2+阅读 · 今天12:58
【博士论文】面向城市环境的可解释计算机视觉
专知会员服务
0+阅读 · 今天12:57
大语言模型的自改进机制:技术综述与未来展望
专知会员服务
0+阅读 · 今天12:50
《第四代军事特种作战部队选拔与评估》
专知会员服务
1+阅读 · 今天6:23
相关资讯
论文浅尝 | 基于属性嵌入的知识图谱间实体对齐方法
开放知识图谱
30+阅读 · 2019年3月26日
论文浅尝 | 图神经网络综述:方法及应用
开放知识图谱
114+阅读 · 2019年2月14日
论文 | 中文词向量论文综述(一)
黑龙江大学自然语言处理实验室
7+阅读 · 2018年8月13日
Attention模型方法综述 | 多篇经典论文解读
PaperWeekly
107+阅读 · 2018年6月11日
Top
微信扫码咨询专知VIP会员