论文浅尝 | 图神经网络综述:方法及应用

2019 年 2 月 14 日 开放知识图谱

论文链接:https://arxiv.org/pdf/1812.08434.pdf

GNN相关论文列表链接:https://github.com/thunlp/GNNPapers

 

近日,清华刘知远老师组在arXiv上发表了一篇关于图神经网络的综述,本次论文浅尝在分享这篇论文的基础上,对图神经网络的相关方法及应用作一次梳理。

一、前言

图神经网络(GraphNeural Networks, GNNs),主要针对非欧几里得空间结构(图结构)的数据进行处理。具有以下特点:

  • 忽略节点的输入顺序;

  • 在计算过程中,节点的表示受其周围邻居节点的影响,而图本身连接不变;

  • 图结构的表示,使得可以进行基于图的推理。

二、图神经网络模型

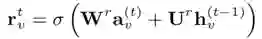
通常,图神经网络由两个模块组成:传播模块(PropagationModule)和输出模块(Output Module),具体地:

1Propagation Module:图中节点之间传递信息并更新状态;

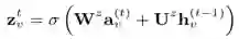
  • aggregator: 对于一个节点v, 通过聚合其周围节点的信息,学习其潜在表示h_v (state embedding)

其中,x_v为节点vfeaturesx_co[v]为其周围边的featuresh_ne[v]表示节点v周围邻居节点的state embeddingx_ne[v]表示周围节点的features

  • updater: 更新节点的stateembedding

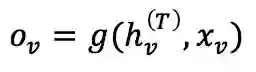
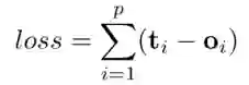
2Output Module:基于节点和边的向量表示根据不同的任务定义目标函数

在监督学习场景中,对于一个特定的节点,其监督信号表示为:t_vlossfunction定义为:


常见的图神经网络有:图卷积神经网络(GraphConvolutional Networks, GCNs),门控图神经网络(Gated Graph Neural Networks,GGNNs)以及基于Attention机制的GraphAttention Networks(GAT),下面详细介绍这三种网络:

 

1、图卷积神经网络(GCN

1)基于谱方法(Spectral Methods):

相关论文:<ICLR-17> Kipf T N, Welling M.Semi-supervised classification with graph convolutional networks.

      通过计算图拉普拉斯算子(Graph Laplacian)的特征分解,在Fourier域定义卷积计算。对于输入信号x和卷积核𝑔_𝜃=𝑑𝑖𝑎𝑔(𝜃):

其中,表示图结构的Graph Laplacian矩阵可分解为:

      上式的计算将卷积核近似为切比雪夫多项式,并进行化简:

最终得到GCN网络中的表示:

  • aggregator:

  • updater:

      但是以上方法有几点不足,卷积核的学习依赖图拉普拉斯矩阵的特征分解,对于图结构有一定的要求,在固定结构上学习的模型,无法迁移到其他结构的模型上。

 

2)基于非谱方法(Non-spectral Methods):

在图上直接定义卷积计算,将不同size的邻居节点考虑在内,同时保持像CNN一样的局部卷积不变性。

  • DCNNs:基于扩散卷积的思想的网络;

  • GraphSAGE:采样固定size的邻居节点,同时通过mean,LSTM, pooling等方式聚合周围节点的信息。

2、门控图神经网络(GGNN

相关论文:<ICLR-16> Li Y, Tarlow D, Brockschmidt M,et al. Gated graph sequence neural networks.

  • 提高图结构信息的long-term传播能力

  • 将图中的edge信息考虑在内

   将图矩阵作如下表示,不同类型的边采用不同类型的传播矩阵,同时,用 A^(out)和 A^(in) 分别表示节点的入度信息和出度信息。

     

计算图传播信息:

1Propagation module

  • initialization step


  • pass information:矩阵A中包含了当前节点与其他节点的交互信息


节点的state embedding h_{v^(t-1)},与其他节点的交互信息a_{v^(t)}通过GRU单元进行融合:

  • update gate


  • reset gate


  • activate

2Output module

  • node-level


  • graph-level


            其中,i,j表示两个全连接神经网络。

 

3、注意力图神经网络(GAT

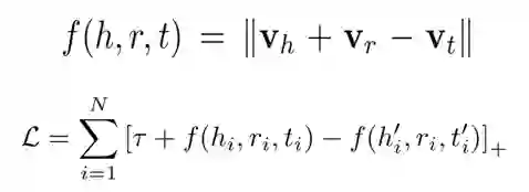
相关论文:<ICLR-18> Velickovic, Petar, et al. Graphattention networks.

  • 为节点的不同的邻居节点指定不同权重

  • 节点-邻居节点对的计算可并行化,相比于GCN等网络,速度较快


       节点权重的计算:

       节点信息的更新:

      由“Attentionis all you need”一文中提出的head attentionGAT网络中也使用了headattention


 

三、图神经网络应用


1Structural Scenarios

主要应用于其数据结构为图结构的场景,如蛋白质分子结构图、KnowledgeGraph等。

KnowledgeGraph中应用GNN为例:

 

相关论文:<IJCAI-17> Hamaguchi T, et al. Knowledgetransfer for out-of-knowledge-base entities: a graph neural network approach.

      论文主要针对KG中的out-of-knowledge-base(OOKB)实体,进行知识库补全等任务。

aOOKB实体定义:

在训练过程中未被训练到的实体,无法得到其embedding表示,从而无法预测其与知识库中其他实体之间的关系。如下图中在测试期间新出现的实体“Blade-Runner”,或者说新出现的三元组“(Blade-Runner,based-on, Do-Androids-Dream-of-Electric-Sheep?)”(图中红线所示部分)。

我们的任务则定义为:基于知识库中已存在的三元组(2)和当前新出现的三元组(1),预测当前新实体与知识库中其他实体之间的关系(即三元组3)。

同时,OOKB实体即哪些与知识库中已存在的实体直接相连的实体,基于此,可以通过知识库中现有的实体表示得到OOKB实体表示。

 

b、这篇文章利用GNN中节点表示的方式,对OOKB实体进行表示:

其中,T_head表示以OOKB实体为尾实体的三元组集合,T_tail表示以OOKB实体为头实体的三元组集合,通过其周围邻居的头尾实体对当前实体进行表示。

            T_head, T_tail分别表示聚合三元组信息的函数,论文中为batchnormalization function

            GNN传播的节点状态表示为:

c、模型的输出模块利用TransE等经典模型,进行知识库补全任务。

2Non-structural Scenarios

主要应用于其数据结构为非图结构的场景,如图片、文本等。在此类场景中,应用GNN通常有两种方式:

  • 利用具有图结构信息的外部资源,如KnowledgeGraph等;

  • 探索此类数据中隐含的图结构,如文本的句法数结构。

 

1)图片相关任务:

  • Image Classification, i.e., zero-shot, few-shot

  • Visual Reasoning, i.e., VQA

  • Semantic Segmentation

其中,图片分类任务零样本学习和少样本学习的相关论文有:

  • Zero-shot recognition via semantic embeddings and knowledge graphs

  • Rethinking knowledge graph propagation for zero-shot learning

  • Multi-label zero-shot learning with structured knowledge graphs

  • The more you know: Using knowledge graphs forimage classification

  • Few-shot learning with graph neural networks

2NLP相关任务:

  • Text Classification

  • Sequence Labeling

  • Neural machine translation

  • Relation Extraction

  • Event Extraction

 

以机器翻译的一篇论文为例,通过将sourcelanguage的句法结构图输 GNN 进行 encode,继而附加 Attention layerdecoder 层,输出 target language 序列。

 

相关论文:<ACL-18> Beck D, Haffari G, Cohn T.Graph-to-sequence learning using gated graph neural networks.

           

    这篇文章以“Graph tosequence”为要点,实验部分包括两个任务,其中一个是AMR图输出序列,另一个做syntax-aware的机器翻译任务。

     其中,AMR Graph为从句子的句法表示中抽象出来的语义表示语言,具体相似语义的句子有相同的AMR Graph。如下图左所示。

      模型在Seq2seq模型的基础上,以AMR graph为输入,通过GGNN网络进行encode,经过Attention层和RNNdecoder输出序列。GGNN encoder部分表示为:

其中, 表示当前节点与周围节点相连边的参数,l_e 表示不同边的类型。

     但随着Graph中边类型的增多,很容易引起参数爆炸的问题,因此,本文提出了一种融合Graphedge信息的方式,即将edge转化为附加的节点(no labelled edges)。具体地,通过将Graph转化为对应的二分图。上图中的句法结构图对应的二分图如下所示:

由此,graph中的边的类型只有一种。

 

四、Open problems

         图神经网络目前虽被广泛利用,但存在不少问题亟待解决:

1Shallowstructure:多层的图神经网络,可能会导致over-smoothing的问题,如GCN等网络,一些论文中也尝试用Skip connection的方式加以解决;

2DynamicgraphsGNN目前仅能处理一些静态图,对于实时增加/减少的节点和边则无法很好地处理;

3Non-structuralscenarios:在处理非图结构的数据时,希望利用其中内在的结构,而目前从raw data中生成graph的方法仍需改善;

4Scalability

 

五、总结

本文中总结了近年来常用的几种图神经网络模型,并就其应用场景进行了进一步的探讨。总的来说,图神经网络强大的计算能力,对图结构数据的友好处理,深受研究者们的喜爱,但其仍存在很多需要解决的问题,也是我们可以进一步研究的方向。

 


笔记整理:耿玉霞,浙江大学直博生。研究方向:知识图谱,零样本学习,自然语言处理等。

 



OpenKG.CN


中文开放知识图谱(简称OpenKG.CN)旨在促进中文知识图谱数据的开放与互联,促进知识图谱和语义技术的普及和广泛应用。

点击阅读原文,进入 OpenKG 博客。

登录查看更多
114

相关内容

图神经网络 (GNN) 是一种连接模型,它通过图的节点之间的消息传递来捕捉图的依赖关系。与标准神经网络不同的是,图神经网络保留了一种状态,可以表示来自其邻域的具有任意深度的信息。近年来,图神经网络(GNN)在社交网络、知识图、推荐系统、问答系统甚至生命科学等各个领域得到了越来越广泛的应用。

知识荟萃

精品入门和进阶教程、论文和代码整理等

更多

查看相关VIP内容、论文、资讯等
最新《多任务学习》综述,39页pdf
专知会员服务
266+阅读 · 2020年7月10日
【MIT-ICML2020】图神经网络的泛化与表示的局限
专知会员服务
43+阅读 · 2020年6月23日
近期必读的12篇KDD 2019【图神经网络(GNN)】相关论文
专知会员服务
63+阅读 · 2020年1月10日
必读的7篇 IJCAI 2019【图神经网络(GNN)】相关论文
专知会员服务
92+阅读 · 2020年1月10日
论文浅尝 | ICLR2020 - 基于组合的多关系图卷积网络
开放知识图谱
21+阅读 · 2020年4月24日
GraphSAGE: GCN落地必读论文
AI100
29+阅读 · 2019年8月15日
赛尔笔记 | 一文读懂图神经网络
哈工大SCIR
84+阅读 · 2019年7月12日
图神经网络综述:方法及应用 | Deep Reading
AI100
36+阅读 · 2019年3月17日
清华大学孙茂松组:图神经网络必读论文列表
机器之心
46+阅读 · 2018年12月27日
清华大学图神经网络综述:模型与应用
机器之心
76+阅读 · 2018年12月26日
图神经网络综述:模型与应用
PaperWeekly
198+阅读 · 2018年12月26日
论文浅尝 | 用图网络做小样本学习
开放知识图谱
66+阅读 · 2018年6月30日
Arxiv
15+阅读 · 2019年6月25日
Arxiv
16+阅读 · 2019年4月4日
Arxiv
30+阅读 · 2019年3月13日
Simplifying Graph Convolutional Networks
Arxiv
12+阅读 · 2019年2月19日
Deep Graph Infomax
Arxiv
17+阅读 · 2018年12月21日
Arxiv
11+阅读 · 2018年2月4日
Arxiv
5+阅读 · 2017年4月12日
VIP会员
最新内容
ICML2026 | 重新思考顺序知识编辑中的正则化
专知会员服务
2+阅读 · 5月27日
《用于兵力发展选项优先排序的成本效益模型》
AutoResearch AI综述:迈向AI驱动的科学发现自动化
《Palantir边缘人工智能》手册
专知会员服务
22+阅读 · 5月26日
美军“国防自主作战群”(DAWG)概念解析
专知会员服务
3+阅读 · 5月26日
“史诗怒火”行动中的无人机与反无人机作战
专知会员服务
16+阅读 · 5月25日
相关资讯
论文浅尝 | ICLR2020 - 基于组合的多关系图卷积网络
开放知识图谱
21+阅读 · 2020年4月24日
GraphSAGE: GCN落地必读论文
AI100
29+阅读 · 2019年8月15日
赛尔笔记 | 一文读懂图神经网络
哈工大SCIR
84+阅读 · 2019年7月12日
图神经网络综述:方法及应用 | Deep Reading
AI100
36+阅读 · 2019年3月17日
清华大学孙茂松组:图神经网络必读论文列表
机器之心
46+阅读 · 2018年12月27日
清华大学图神经网络综述:模型与应用
机器之心
76+阅读 · 2018年12月26日
图神经网络综述:模型与应用
PaperWeekly
198+阅读 · 2018年12月26日
论文浅尝 | 用图网络做小样本学习
开放知识图谱
66+阅读 · 2018年6月30日
相关论文
Arxiv
15+阅读 · 2019年6月25日
Arxiv
16+阅读 · 2019年4月4日
Arxiv
30+阅读 · 2019年3月13日
Simplifying Graph Convolutional Networks
Arxiv
12+阅读 · 2019年2月19日
Deep Graph Infomax
Arxiv
17+阅读 · 2018年12月21日
Arxiv
11+阅读 · 2018年2月4日
Arxiv
5+阅读 · 2017年4月12日
Top
微信扫码咨询专知VIP会员