苏宁易购基于机器学习预测流量波动趋势的实践经验

2019 年 10 月 17 日 AI前线


作者 | 脱利锋
编辑 | Natalie
AI 前线导读: 本实践基于电商网站“苏宁易购”的业务访问流量进行深入的数据挖掘。在此基础上,建立机器学习或统计算法模型,进行离线分析,选取最优模型,对流量波动趋势进行实时预测,实现智能化的异常流量预警。

更多优质内容请关注微信公众号“AI 前线”(ID:ai-front)
1 概述
1.1 流量预测的价值

流量预测是流控的重要环节,也是流控迈向智能化的关键一步。对苏宁易购而言,业务系统流量趋势的预测、异常流量的及时预警极为重要,它能够及时提醒用户验证是否有 CC 攻击、黄牛刷单、爬虫等危害企业网络正常经营活动的行为。

1.2 流量预测的几大难点

对于流量波动趋势预测、异常流量检测,存在以下难点:

  • 需要检测的流量系统种类繁多流量特征各不相同。 苏宁易购业务系统众多,每一个系统每分钟产生的流量大小、流量趋势不同,每一分钟的访问业务系统个数不同。
  • 流量受业务系统经营活动影响较大。 活动力度大、活动频繁,则流量大且稳定;活动力度大、活动稀疏,则流量波动大。面向易购的销售系统,则流量大且稳定;面向内部用户系统,则流量小且波动大。
  • 不同用户对流量异常的关注点不同,流量预测难以满足所有场景需求。 促销、CC 攻击、黄牛刷单、爬虫等,都有可能带来流量的暴增异常。不同人员的关注点不同:运维人员关注流量的暴增是否带来了系统压力;用户则关注流量的异常是否存在某种刷单,是否会带来经济损失;安全人员则关心是否存在某种攻击及信息泄露。要做到一种检测,多方满足,实则难度很大。
  • 流量预测需要较高的实时性、有效性。 及时感知异常流量,方能及时的进行有效的流控。易购业务总流量 TPS 大,大促期间流量暴增。需要一种实时高效的计算框架,进行流量的实时计算、在线训练,及时发出异常预警,流量的预测检测才有实际意义。
2 应用系统流量趋势特征分析
2.1 横向流量的按天规律性波动

流量受到不同时间段的用户行为影响较大。不同时间段的流量阈值、峰值不同。白天 08-18 点用户多、流量大,夜间 00-08 流量下降。

2.2 横向阶段性流量规律分析
  1. 夜间流量小,波动大,如下图所示夜间 00-06 点流量图(按分钟统计):

  1. 白天流量大,波动小。如下图所示白天 11-18 点流量图(按分钟统计):

2.3 纵向按分钟周特征分析

取某系统每天同时刻流量数据,取一周数据(按分钟统计):

由上图可知,同系统按天同时刻流量,一周时间内,波动很大,无明显时间规律,因此不利于进行未知流量预测。

2.4 纵向按分钟月特征分析

取某系统每天同时刻流量数据,取一个月数据(按分钟统计):

由上图可知,同系统按天同时刻流量,一个月时间内,波动很大,无明显时间规律,因此不利于进行未知流量预测。

3 异常流量预测算法

对于业务域名系统流量的研究,本质是基于时间序列的研究。我们分别使用 ARMA(自回归滑动平均模型)/LSTM(长短期记忆网络)/MAD(绝对中位差)+Mean(均值)进行了深入探索。

3.1 ARMA 模型
算法简介

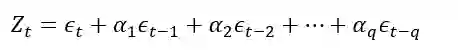
自回归滑动平均模型(Autoregressive moving average model),是 自回归模型(简称 AR 模型)与移动平均模型(简称 MA 模型)的组合模型。

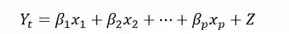
将预测指标随时间排列而形成的数据序列看作是一个随机序列,这组 随机变量 所具有的依存关系体现着原始数据在时间上的延续性。一方面,影响因素的影响,另一方面,又有自身变动规律,假定影响因素为 x1,x2,…,xk,由 回归分析:

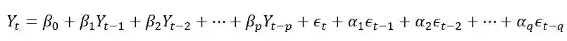
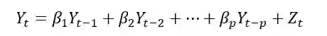
其中 Y 是预测对象的观测值,Z 为误差。作为预测对象受到自身变化的影响,其规律可由下式体现:

误差项在不同时期具有依存关系,由下式表示:

由此,获得 ARMA 模型表达式:

拟合误差方程

其中 t 时刻的准确率 ratio,真实值 Yt,预测值 Ypt。

特征工程
  1. 取某业务系统域名某一天 08-10 点的按分钟统计的流量总量时序数据进行训练,流量趋势如下:(时序数据的统计时间间隔可以为天 / 小时 / 分钟 / 秒等,按分钟统计及预测是最符合系统流量预测场景需求的,以下研究都是基于按分钟统计的时序数据)

  1. 平稳性判断及处理,对序列进行一阶差分处理,序列处于平稳状态,处理后的流量趋势图如下(判断 / 处理平稳性方法略):

效果查看

按分钟预测,不同时间长度后的预测拟合效果如下:

优缺点分析

优点:

  1. 存在成熟的预测接口,可直接预测多步时间间隔数据
  2. 距离当前时间越近,准确率越高

缺点:

  1. 距离当前时间越久,准确性越差
  2. 波动较大的序列经过二阶差分后仍然不平稳,序列平稳性处理有误差,导致模型预测出现误差
  3. 模型训练耗时长,不适合大规模批量实时预测
  4. 不同系统的流量趋势不同,存在众多域名系统,难以训练某一个模型可以全部满足所有的流量系统
3.2 LSTM 模型
算法简介

长短期记忆网络(LSTM,Long Short-Term Memory)是一种时间循环神经网络。它是 RNN 的优化模型,可以解决 RNN 模型的梯度消失与不可记忆长时间依赖问题,是目前解决序列问题最常用的方式。

拟合误差方程

其中 t 时刻的准确率 ratio,真实值 Yt,预测值 Ypt。

特征工程

同 ARMA 模型一致,选取某业务域名系统某一天 08-10 点的按分钟统计的流量总量时序数据进行训练,并切割训练集、测试集,流量序列趋势不再赘述,特征工程处理步骤如下:

  1. 差分处理:基于平稳性的考虑,进行一阶差分处理
  2. 监督式转换:使用 pandas shift 操作,进行 1 位位移,X 为序列的一阶差分结果(a 中的结果),Y 为一阶差分后的 shift(1),如下所示

  1. 数据集切割:略
  2. 标准化转换:MinMaxScaler 将数据处理至 [-1,1 区间]
效果查看
  1. 将数据集转换成有监督学习后,测试集数据的预测结果表现如下:

  1. 一次训练,多步叠加预测结果:(注:LSTM 无多步预测接口,可讲新预测数据添加到原始数据序列最后,又作为原始数据进行预测,如此反复循环,得到多步预测结果)

优缺点分析

优点:

  1. 距离当前时间越近,准确率越高

缺点:

  1. 距离当前时间越久,准确性越差
  2. 无多步预测接口。需以新预测数据为新的时序数据,不断叠代方可预测完成
  3. 模型训练耗时长,不适合大规模批量实时预测
  4. 不同系统的流量趋势不同,存在众多域名系统,难以训练某一个模型可以全部满足所有的流量系统
MAD 估计值模型
算法简介

采用统计学习方法对流量进行预测,计算 MAD(绝对中位差)估计值,算法原理如下:

k 为比例因子常量(可视为流量预测的波动系数),值取决于分布类型,流量预测具体值为离散型随机变量。流量序列繁多,统一按正态分布数据计算,对于正态分布,k 值为:

也就是标准正态分布 Z=X/σ的分位函数的倒数(也称为逆累积分布函数)。数值 3/4 是为了包含标准正态累积分布函数的 50%(从 1/4 到 3/4 的范围值)。

预测值 = 历史七天预测时间点数值集合σ + 当前时刻流量值

误差方程

其中 t 时刻的准确率 ratio,真实值 Yt,预测值 Ypt。

特征工程

效果查看
  1. 预测 2min 的数据拟合情况:

  1. 预测 4min 的数据拟合情况:

  1. 预测 8min 的数据拟合情:

以上三幅图分别为预测 2min/4min/8min 以后的拟合曲线,通过开始时间、峰值等时间点可以看出,时间步长越长,拟合效果越差。

优缺点分析

优点:

  1. 特征工程简单
  2. 支持实时快速计算,可进行所有流量序列的实时预测

缺点:

预测步长距离当前时间越久,准确性越差。因为后 2min 的预测强依赖当前总量,步长越长,当前总量的关联性越弱

4 分析总结

本篇主要介绍了流量预测的横向分析,因为横向数据与当前时间点的流量关联最为密切。纵向数据时间跨度大,具有一定的规律性,但是实时关联性不高。比如大促期间流量较平时会成倍增长。因此纵向数据波动性大,不确定因素众多,不利于进行流量预测。

易购的众多业务系统流量存在两大普遍特征:1. 白天流量趋势稳定,数据量大;夜间流量趋势波动大,数量量小;2. 以天为单位,业务系统呈现规律性波动。

算法最终选择了统计模型,原因为特征工程简单、时效性强、拟合准确率高。ARMA、LSTM 均不能满足时效性要求。不论是选择机器学习算法、深度学习神经网络,或者统计模型,在多步长预测问题上,预测效果均会变差。

本例中未使用 RMSE、MAE、MSE 等方差类统计指标进行模型评估,原因为不同的业务系统,流量趋势、总量不一致,计算出的均方误差等结果差别大,难以确定统一的阈值评判预测结果的好坏。本篇采用了自定义的误差结果计算方法:

对单用户的预测结果进行误差判别,实践中可以取得良好效果。

5 展望

正如开篇所讲流量预测的几大难点之一,不同用户对流量波动的关注点不同,流量预测难以满足所有场景需求。促销、CC 攻击、黄牛刷单、爬虫、用户轨迹异常等,都有可能带来流量的暴增异常。针对异常行为做机器学习分类判断、建立统计学模型等,借助与 flink、spark 等大数据分析框架,实现快速异常定位,是流量预测的下一阶段——异常检测的重要研究方向。

作者介绍:

脱利锋,苏宁科技集团云计算研发中心算法工程师,毕业于江西理工大学信息安全专业,目前致力于苏宁 AI 方向的 web 安全防护工作,主要研究方向为异常流量的预测、检测、识别。


你也「在看」吗?👇

登录查看更多
15

相关内容

专知会员服务
81+阅读 · 2020年6月20日
【硬核书】可扩展机器学习:并行分布式方法
专知会员服务
86+阅读 · 2020年5月23日
专知会员服务
126+阅读 · 2020年3月26日
【大数据白皮书 2019】中国信息通信研究院
专知会员服务
138+阅读 · 2019年12月12日
人工智能应用实践与趋势
人工智能学家
13+阅读 · 2019年9月20日
去哪儿智能故障预测与应用健康管理实践
DBAplus社群
15+阅读 · 2019年9月2日
【智能金融】机器学习在反欺诈中应用
产业智能官
35+阅读 · 2019年3月15日
【知识图谱】基于知识图谱的用户画像技术
产业智能官
103+阅读 · 2019年1月9日
【推荐系统】搜狐个性化视频推荐架构设计和实践
产业智能官
9+阅读 · 2017年12月26日
VIP会员
最新内容
人工智能在战场行动中的演进及伊朗案例
专知会员服务
2+阅读 · 今天13:08
美AI公司Anthropic推出网络安全模型“Mythos”
专知会员服务
2+阅读 · 今天12:58
【博士论文】面向城市环境的可解释计算机视觉
专知会员服务
0+阅读 · 今天12:57
大语言模型的自改进机制:技术综述与未来展望
专知会员服务
0+阅读 · 今天12:50
《第四代军事特种作战部队选拔与评估》
专知会员服务
1+阅读 · 今天6:23
不对称优势上升:自主系统如何强化海上拒止
专知会员服务
1+阅读 · 今天5:51
相关资讯
人工智能应用实践与趋势
人工智能学家
13+阅读 · 2019年9月20日
去哪儿智能故障预测与应用健康管理实践
DBAplus社群
15+阅读 · 2019年9月2日
【智能金融】机器学习在反欺诈中应用
产业智能官
35+阅读 · 2019年3月15日
【知识图谱】基于知识图谱的用户画像技术
产业智能官
103+阅读 · 2019年1月9日
【推荐系统】搜狐个性化视频推荐架构设计和实践
产业智能官
9+阅读 · 2017年12月26日
Top
微信扫码咨询专知VIP会员