【PID】PID控制中P、I、D参数的作用究竟是什么? PID控制算法精华和参数整定三大招

2020 年 6 月 1 日 产业智能官

PID控制中P、I、D参数的作用究竟是什么?

源 | 技成培训


导读:PID控制中有P、I、D三个参数,只有明白这三个参数的含义和作用才能完成控制器PID参数整定,让控制器到达最佳控制效果。能熟练进行PID参数整定,将自动控制系统投自动,这代表着工程技术人员的自动化技能水平,但很多人并未真正掌握PID控制和PID参数整定。


本文给大家介绍PID控制中P、I、D参数的作用。

比例作用

比例控制器实际上就是个放大倍数可调的放大器,即△P=Kp×e,式中Kp为比例增益,即Kp可大于1,也可小于1;e为控制器的输入,也就是测量值与给定值之差,又称为偏差。


要说明的是,对于大多数模拟控制器而言,都不采用比例增益Kp作为刻度,而是用比例度来刻度,即δ=1/Kc×100%。也就是说比例度与控制器的放大倍数的倒数成比例;控制器的比例度越小,它的放大倍数越大,偏差放大的能力越大,反之亦然。


明白了上述关系,就可知道:比例度越大,控制器的放大倍数越小,被控参数的曲线越平稳;比例度越小,控制器的放大倍数越大,被控参数的曲线越波动。


比例控制有个缺点,就是会产生余差,要克服余差就必须引入积分作用。


积分作用

控制器的积分作用就是为了消除自控系统的余差而设置的。所谓积分,就是随时间进行累积的意思,即当有偏差输入e存在时,积分控制器就要将偏差随时间不断累积起来,也就是积分累积的快慢与偏差e的大小和积分速度成正比。只要有偏差e存在,积分控制器的输出就要改变,也就是说积分总是起作用的,只有偏差不存在时,积分才会停止。


对于恒定的偏差,调整积分作用的实质就是改变控制器输出的变化速率,这个速率是通过积分作用的输出等于比例作用的输出所需的一段时问来衡量的。积分时间小,表示积分速度大,积分作用就强;反之,积分时问大,则积分作用就弱。如果积分时间无穷大,表示没有积分作用,控制器就成为纯比例控制器。


实际上积分作用很少单独使用,通常与比例作用一起使用,使其既具有把偏差放大(或缩小)的比例作用,又具有将偏差随时间累积的积分作用,且其作用方向是一致的。这时控制器的输出为:△P=Ke+△Pi,式中△P为控制器输出值的变化;Ke为比例作用引起的输出;△Pi为积分作用引起的输出。


微分作用

微分作用主要是用来克服被控对象的滞后,常用于温度控制系统。除采用微分作用外,在使用控制系统时要注意测量传送的滞后问题,如温度测量元件的选择和安装位置等。


在常规PID控制器中,微分作用的输出变化与微分时间和偏差变化的速度成比例,而与偏差的大小无关,偏差变化的速度越大,微分时间越长,则微分作用的输出变化越大。但如果微分作用过强,则可能由于变化太快而由其自身引起振荡,使控制器输出中产生明显的“尖峰”或“突跳”。为了避免这一扰动,在PID调节器和DCS中可使用微分先行PID运算规律,即只对测量值PV进行微分,当人工改变控制器的给定值SP时,不会造成控制器输出的突变,避免了改变SP的瞬间给控制系统带来的扰动。如TDC-3000,则在常规PID算法中增加一个软开关,组态时供用户选择控制器对偏差、还是测量值进行微分。


当输入阶跃信号后,微分器一开始输出的最大变化值与微分作用消失后的输出变化的比值就是微分放大倍数Kd,即微分增益,微分増益的单位是时间,设置微分时间(或者微分增益)为零会取消微分的功能。


为便于记住比例、积分、微分三个作用,特抄录三个顺口溜供大家参考。


比例作用顺口溜
 

比例州节器,像个放大器;

一个偏差来,放大送出去;

放大是多少,旋钮看仔细;

比例度旋大,放大倍数低。

积分作用顺口溜

重定调节器,累积有本领;

只要偏差在,累积不停止;  

累积快与慢,旋钮看仔细;

积分时间长,累积速度低。

微分作用顺口溜  

说起微分器,一点不神秘; 

阶跃输入来,输出跳上去;

下降快与慢,旋钮看仔细;

微分时间长,下降就慢些。


关于重定调节器的说明:重定就是重新给定的意思,因为控制器中积分作用就是完成重定工作的。以前把比例积分控制器叫做重定调节器。





PID控制算法精华和参数整定三大招

源 | 技成培训


在过程控制中,按偏差的比例(P)、积分(I)和微分(D)进行控制的PID控制器是应用最为广泛的一种自动控制器。它具有原理简单,易于实现,适用面广,控制参数相互独立,参数的选定比较简单等优点;而且在理论上可以证明,对于过程控制的典型对象──“一阶滞后+纯滞后”与“二阶滞后+纯滞后”的控制对象,PID控制器是一种最优控制。PID调节规律是连续系统动态品质校正的一种有效方法,它的参数整定方式简便,结构改变灵活(PI、PD、…)。

PID是闭环控制算法

因此要实现PID算法,必须在硬件上具有闭环控制,就是得有反馈。比如控制一个电机的转速,就得有一个测量转速的传感器,并将结果反馈到控制路线上,下面也将以转速控制为例。

PID是比例(P)、积分(I)、微分(D)控制算法

但并不是必须同时具备这三种算法,也可以是PD,PI,甚至只有P算法控制。我以前对于闭环控制的一个最朴素的想法就只有P控制,将当前结果反馈回来,再与目标相减,为正的话,就减速,为负的话就加速。现在知道这只是最简单的闭环控制算法。

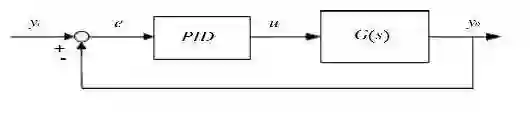
PID控制器结构
PID控制系统原理结构框图

对偏差信号进行比例、积分和微分运算变换后形成一种控制规律。“利用偏差,纠正偏差”。

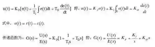
模拟PID控制器
模拟PID控制器结构图

PID控制器的输入输出关系为:


比例(P)、积分(I)、微分(D)控制算法各有作用

比例,反应系统的基本(当前)偏差e(t),系数大,可以加快调节,减小误差,但过大的比例使系统稳定性下降,甚至造成系统不稳定;

积分,反应系统的累计偏差,使系统消除稳态误差,提高无差度,因为有误差,积分调节就进行,直至无误差;

微分,反映系统偏差信号的变化率e(t)-e(t-1),具有预见性,能预见偏差变化的趋势,产生超前的控制作用,在偏差还没有形成之前,已被微分调节作用消除,因此可以改善系统的动态性能。但是微分对噪声干扰有放大作用,加强微分对系统抗干扰不利。 积分和微分都不能单独起作用,必须与比例控制配合。

控制器的P,I,D项选择


下面将常用的各种控制规律的控制特点简单归纳一下:

(1)、比例控制规律P:采用P控制规律能较快地克服扰动的影响,它的作用于输出值较快,但不能很好稳定在一个理想的数值,不良的结果是虽较能有效的克服扰动的影响,但有余差出现。它适用于控制通道滞后较小、负荷变化不大、控制要求不高、被控参数允许在一定范围内有余差的场合。如:金彪公用工程部下设的水泵房冷、热水池水位控制;油泵房中间油罐油位控制等。

(2)、比例积分控制规律(PI):在工程中比例积分控制规律是应用最广泛的一种控制规律。积分能在比例的基础上消除余差,它适用于控制通道滞后较小、负荷变化不大、被控参数不允许有余差的场合。如:在主线窑头重油换向室中F1401到F1419号枪的重油流量控制系统;油泵房供油管流量控制系统;退火窑各区温度调节系统等。

(3)、比例微分控制规律(PD):微分具有超前作用,对于具有容量滞后的控制通道,引入微分参与控制,在微分项设置得当的情况下,对于提高系统的动态性能指标,有着显著效果。因此,对于控制通道的时间常数或容量滞后较大的场合,为了提高系统的稳定性,减小动态偏差等可选用比例微分控制规律。如:加热型温度控制、成分控制。需要说明一点,对于那些纯滞后较大的区域里,微分项是无能为力,而在测量信号有噪声或周期性振动的系统,则也不宜采用微分控制。如:大窑玻璃液位的控制。

(4)、例积分微分控制规律(PID):PID控制规律是一种较理想的控制规律,它在比例的基础上引入积分,可以消除余差,再加入微分作用,又能提高系统的稳定性。它适用于控制通道时间常数或容量滞后较大、控制要求较高的场合。如温度控制、成分控制等。

鉴于D规律的作用,我们还必须了解时间滞后的概念,时间滞后包括容量滞后与纯滞后。其中容量滞后通常又包括:测量滞后和传送滞后。测量滞后是检测元件在检测时需要建立一种平衡,如热电偶、热电阻、压力等响应较慢产生的一种滞后。而传送滞后则是在传感器、变送器、执行机构等设备产生的一种控制滞后。纯滞后是相对与测量滞后的,在工业上,大多的纯滞后是由于物料传输所致,如:大窑玻璃液位,在投料机动作到核子液位仪检测需要很长的一段时间。

总之,控制规律的选用要根据过程特性和工艺要求来选取,决不是说PID控制规律在任何情况下都具有较好的控制性能,不分场合都采用是不明智的。如果这样做,只会给其它工作增加复杂性,并给参数整定带来困难。当采用PID控制器还达不到工艺要求,则需要考虑其它的控制方案。如串级控制、前馈控制、大滞后控制等。

Kp,Ti,Td三个参数的设定是PID控制算法的关键问题。一般说来编程时只能设定他们的大概数值,并在系统运行时通过反复调试来确定最佳值。因此调试阶段程序须得能随时修改和记忆这三个参数。

数字PID控制器

(1)模拟PID控制规律的离散化  

(2)数字PID控制器的差分方程


参数的自整定

在某些应用场合,比如通用仪表行业,系统的工作对象是不确定的,不同的对象就得采用不同的参数值,没法为用户设定参数,就引入参数自整定的概念。实质就是在首次使用时,通过N次测量为新的工作对象寻找一套参数,并记忆下来作为以后工作的依据。具体的整定方法有三种:临界比例度法、衰减曲线法、经验法。

1、临界比例度法(Ziegler-Nichols)

1.1  在纯比例作用下,逐渐增加增益至产生等副震荡,根据临界增益和临界周期参数得出PID控制器参数,步骤如下:

(1)将纯比例控制器接入到闭环控制系统中(设置控制器参数积分时间常数Ti =∞,实际微分时间常数Td =0)。

(2)控制器比例增益K设置为最小,加入阶跃扰动(一般是改变控制器的给定值),观察被调量的阶跃响应曲线。

(3)由小到大改变比例增益K,直到闭环系统出现振荡。

(4)系统出现持续等幅振荡时,此时的增益为临界增益(Ku),振荡周期(波峰间的时间)为临界周期(Tu)。

(5) 由表1得出PID控制器参数。


                    表1


1.2  采用临界比例度法整定时应注意以下几点:

(1)在采用这种方法获取等幅振荡曲线时,应使控制系统工作在线性区,不要使控制阀出现开、关的极端状态,否则得到的持续振荡曲线可能是“极限循环”,从线性系统概念上说系统早已处于发散振荡了。

(2)由于被控对象特性的不同,按上表求得的控制器参数不一定都能获得满意的结果。对于无自平衡特性的对象,用临界比例度法求得的控制器参数往住使系统响应的衰减率偏大(ψ>0.75 )。而对于有自平衡特性的高阶等容对象,用此法整定控制器参数时系统响应衰减率大多偏小(ψ<0.75 )。为此,上述求得的控制器参数,应针对具体系统在实际运行过程中进行在线校正。

(3) 临界比例度法适用于临界振幅不大、振荡周期较长的过程控制系统,但有些系统从安全性考虑不允许进行稳定边界试验,如锅炉汽包水位控制系统。还有某些时间常数较大的单容对象,用纯比例控制时系统始终是稳定的,对于这些系统也是无法用临界比例度法来进行参数整定的。

(4)只适用于二阶以上的高阶对象,或一阶加纯滞后的对象,否则,在纯比例控制情况下,系统不会出现等幅振荡。

1.3  若求出被控对象的静态放大倍数KP=△y/△u ,则增益乘积KpKu可视为系统的最大开环增益。通常认为Ziegler-Nichols闭环试验整定法的适用范围为:


(1) 当KpKu > 20时,应采用更为复杂的控制算法,以求较好的调节效果。

(2)当KpKu < 2时,应使用一些能补偿传输迟延的控制策略。

(3)当1.5 <KpKu< 2时,在对控制精度要求不高的场合仍可使用PID控制器,但需要对表1进行修正。在这种情况下,建议采用SMITH预估控制和IMC控制策略。

(4)当KpKu< 1.5时,在对控制精度要求不高的场合仍可使用PI控制器,在这种情况下,微分作用已意义不大。

2、衰减曲线法


衰减曲线法与临界比例度法不同的是,闭环设定值扰动试验采用衰减振荡(通常为4:1或10:l),然后利用衰减振荡的试验数据,根据经验公式求取控制器的整定参数。整定步骤如下:

(1)在纯比例控制器下,置比例增益K为较小值,并将系统投入运行。

(2)系统稳定后,作设定值阶跃扰动,观察系统的响应,若系统响应衰减太快,则减小比例增益K;反之,应增大比例增益K。直到系统出现如图1(a)所示的4:1衰减振荡过程,记下此时的比例增益Ks及和振荡周期Ts数值。

                      图1

(3)利用Ks和Ts值,按表2给出的经验公式,计算出控制器的参数整定值。     


                     表2

(4)10:1衰减曲线法类似,只是用Tr带入计算。



采用衰减曲线法必须注意几点:

(1)加给定干扰不能太大,要根据生产操作要求来定,一般在5%左右,也有例外的情况。

(2)必须在工艺参数稳定的情况下才能加给定干扰,否则得不到正确得 整定参数。

(3)对于反应快的系统,如流量、管道压力和小容量的液位调节等,要得到严格的4:1衰减曲线较困难,一般以被调参数来回波动两次达到稳定,就近似地认为达到4:1衰减过程了。

(4)投运时,先将K放在较小的数值,把Ti减少到整定值,把Td逐步放大到整定值,然后把K拉到整定值(如果在K=整定值的条件下很快地把Td放到整定值,控制器的输出会剧烈变化)。

3、经验整定法

3.1方法一A:

(1)确定比例增益

使PID为纯比例调节,输入设定为系统允许最大值的60%~70%,由0逐渐加大比例增益至系统出现振荡;再反过来,从此时的比例增益逐渐减小至系统振荡消失,记录此时的比例增益,设定PID的比例增益P为当前值的60%~70%。

(2)确定积分时间常数

比例增益P确定后,设定一个较大的积分时间常数Ti的初值,然后逐渐减小Ti至系统出现振荡,之后在反过来,逐渐加大Ti至系统振荡消失。记录此时的Ti,设定PID的积分时间常数Ti为当前值的150%~180%。

(3)确定积分时间常数Td

积分时间常数Td一般不用设定,为0即可。若要设定,与确定 P和Ti的方法相同,取不振荡时的30%。

(4)系统带载联调,再对PID参数进行微调,直至满足要求。


3.2方法一B:

(1)PI调节

(a)纯比例作用下,把比例度从较大数值逐渐往下降,至开始产生周期振荡(测量值以给定值为中心作有规则得振荡),在产生周期性振荡得情况下,把此比例度逐渐加宽直至系统充分稳定。

(b)接下来把积分时间逐渐缩短至产生振荡,此时表示积分时间过短,应把积分时间稍加延长,直至振荡停止。

(2)PID调节

(a)纯比例作用下寻求起振点。

(b)加大微分时间使振荡停止,接着把比例度调得稍小一些,使振荡又产生,加大微分时间,使振荡再停止,来回这样操作,直至虽加大微分时间,但不能使振荡停止,求得微分时间的最佳值,此时把比例度调得稍大一些直至振荡停止。

(c)把积分时间调成和微分时间相同的数值,如果又产生振荡则加大积分时间直至振荡停止。

3.3方法二:

另一种方法是先从表列范围内取Ti的某个数值,如果需要微分,则取Td=(1/3~1/4)Ti,然后对δ进行试凑,也能较快地达到要求。实践证明,在一定范围内适当地组合δ和Ti的数值,可以得到同样衰减比的曲线,就是说,δ的减少,可以用增加Ti的办法来补偿,而基本上不影响调节过程的质量。所以,这种情况,先确定Ti、Td再确定δ的顺序也是可以的。而且可能更快些。如果曲线仍然不理想,可用Ti、Td再加以适当调整。

3.4方法三:

(1)在实际调试中,也可以先大致设定一个经验值,然后根据调节效果修改。

  流量系统:P(%)40--100,I(分)0.1--1

  压力系统:P(%)30--70,   I(分)0.4--3

       液位系统:P(%)20--80,   I(分)1—5

  温度系统:P(%)20--60,   I(分)3--10,D(分)0.5--3

(2)以下整定的口诀:

阶跃扰动投闭环,参数整定看曲线;先投比例后积分,最后再把微分加;

理想曲线两个波,振幅衰减4比1;比例太强要振荡,积分太强过程长;

动差太大加微分,频率太快微分降;偏离定值回复慢,积分作用再加强。

4、复杂调节系统的参数整定

以串级调节系统为例来说明复杂调节系统的参数整定方法。由于串级调节系统中,有主、副两组参数,各通道及回路间存在着相互联系和影响。改变主、副回路的任一参数,对整个系统都有影响。特别是主、副对象时间常数相差不大时,动态联系密切,整定参数的工作尤其困难。

在整定参数前,先要明确串级调节系统的设计目的。如果主要是保证主参数的调节质量,对副参数要求不高,则整定工作就比较容易;如果主、副参数都要求高,整定工作就比较复杂。下面介绍“先副后主”两步参数整定法。

第一步:在工况稳定情况下,将主回路闭合,把主控制器比例度放在100%,积分时间放在最大,微分时间放在零。用4:1衰减曲线整定副回路,求出副回路得比例增益K2s和振荡周期T2s。


第二步:把副回路看成是主回路的一个环节,使用4:1衰减曲线法整定主回路,求得主控制器K1s和T1s。


根据K1s、K2s、T1s、T2s按表2经验公式算出串级调节系统主、副回路参数。先放上副回路参数,再放上主回路参数,如果得到满意的过渡过程,则整定工作完毕。否则可进行适当调整。

如果主、副对象时间常数相差不大,按4:1衰减曲线法整定,可能出现“共振”危险,这时,可适当减小副回路比例度或积分时间,以达到减少副回路振荡周期的目的。同理,加大主回路比例度或积分时间,以期增大主回路振荡周期,使主、副回路振荡周期之比加大,避免“共振”。这样做的结果会降低调节质量。

如果主、副对象特性太相近,则说明确定的方案欠妥当,就不能完全依靠参数整定来提高调节质量了。

实际应用体会:

一是利用数字PID控制算法调节直流电机的速度,方案是采用光电开关来获得电机的转动产生的脉冲信号,单片机(MSP430G2553)通过测量脉冲信号的频率来计算电机的转速(具体测量频率的算法是采用直接测量法,定时1s测量脉冲有多少个,本身的测量误差可以有0.5转加减),测量的转速同给定的转速进行比较产生误差信号,来产生控制信号,控制信号是通过PWM调整占空比也就是调整输出模拟电压来控制的(相当于1位的DA,如果用10位的DA来进行模拟调整呢?效果会不会好很多?),这个实验控制能力有一定的范围,只能在30转/秒和150转/秒之间进行控制,当给定值(程序中给定的速度)高于150时,实际速度只能保持在150转,这也就是此系统的最大控制能力,当给定值低于30转时,直流电机转轴实际是不转动的,但由于误差值过大,转速会迅速变高,然后又会停止转动,就这样循环往复,不能达到控制效果。

根据实测,转速稳态精度在正负3转以内,控制时间为4到5秒。实验只进行到这种程度,思考和分析也只停留在这种深度。

二是利用数字PID控制算法调节直流减速电机的位置,方案是采用与电机同轴转动的精密电位器来测量电机转动的位置和角度,通过测量得到的角度和位置与给定的位置进行比较产生误差信号,然后位置误差信号通过一定关系(此关系纯属根据想象和实验现象来拟定和改善的)转换成PWM信号,作为控制信号的PWM信号是先产生对直流减速电机的模拟电压U,U来控制直流减速电机的力矩(不太清楚),力矩产生加速度,加速度产生速度,速度改变位置,输出量是位置信号,所以之间应该对直流减速电机进行系统建模分析,仿真出直流减速电机的近似系统传递函数,然后根据此函数便可以对PID的参数进行整定了。

两次体会都不是特别清楚PID参数是如何整定的,没有特别清晰的理论指导和实验步骤,对结果的整理和分析也不够及时,导致实验深度和程度都不能达到理想效果。 




重新解读PID!PID调节到底是什么东西?


 | 电气工程及其自动化技术


1.比例控制

下面介绍操作人员怎样用比例控制的思想来手动控制电加热炉的炉温。假设用热电偶检测炉温,用数字仪表显示温度值。在控制过程中,操作人员用眼睛读取炉温,并与炉温给定值比较,得到温度的误差值。然后用手操作电位器,调节加热的电流,使炉温保持在给定值附近。

闭环中存在着各种各样的延迟作用。例如调节电位器转角后,到温度上升到新的转角对应的稳态值时有较大的时间延迟。由于延迟因素的存在,调节电位器转角后不能马上看到调节的效果,因此闭环控制系统调节困难的主要原因是系统中的延迟作用。

增大比例系数使系统反应灵敏,调节速度加快,并且可以减小稳态误差。但是比例系数过大会使超调量增大,振荡次数增加,调节时间加长,动态性能变坏,比例系数太大甚至会使闭环系统不稳定。

单纯的比例控制很难保证调节得恰到好处,完全消除误差。

2.积分控制

图1  积分运算示意图

每次PID运算时,在原来的积分值的基础上,增加一个与当前的误差值ev(n)成正比的微小部分。误差为负值时,积分的增量为负。

PID控制器输出中的积分部分与误差的积分成正比。因为积分时间TI在积分项的分母中,TI越小,积分项变化的速度越快,积分作用越强。

3.PI控制

4.微分作用

误差的微分就是误差的变化速率,误差变化越快,其微分绝对值越大。误差增大时,其微分为正;误差减小时,其微分为负。控制器输出量的微分部分与误差的微分成正比,反映了被控量变化的趋势。

图2   阶跃响应曲线

闭环控制系统的振荡甚至不稳定的根本原因在于有较大的滞后因素。因为微分项能预测误差变化的趋势,这种“超前”的作用可以抵消滞后因素的影响。适当的微分控制作用可以使超调量减小,增加系统的稳定性。

微分控制的缺点是对干扰噪声敏感,使系统抑制干扰的能力降低。为此可在微分部分增加惯性滤波环节。

5.采样周期

6.PID参数的调整方法

如果阶跃响应的超调量太大,经过多次振荡才能稳定或者根本不稳定,应减小比例系数、增大积分时间。如果阶跃响应没有超调量,但是被控量上升过于缓慢,过渡过程时间太长,应按相反的方向调整参数。

如果消除误差的速度较慢,可以适当减小积分时间,增强积分作用。

反复调节比例系数和积分时间,如果超调量仍然较大,可以加入微分控制,微分时间从0逐渐增大,反复调节控制器的比例、积分和微分部分的参数。

7.PID校正网络分析

如何解决这个矛盾,可以根据控制系统设计要求和实际情况,在控制系统中插入“校正网络”,矛盾就可以得到较好解决。这种“校正网络”,有很多方法完成,其中就有PID方法。简单的讲,PID“校正网络”是由比例积分PI和比例微分PD"元件组"成的。

微分:

积分:

我们再来看图3,脉冲信号出现时,通过电阻R向电容充电,电容两端电压不能突变,电流在t1时刻瞬间达到最大值,电阻两端电压此刻也达到最大值。电容两端电压Usc随着时间t不断升高,充电电流逐渐减小,最后为0,电容两端电压Usc也达到最大值,形成一个对数曲线。这种电路称为积分电路,由于它对阶跃输入信号前沿“反应”迟缓,其性质是“阻尼”缓冲作用。

插入校正网络的情况




为妥善解决系统稳定性与精度之间的矛盾,往往将比例积分PI与比例微分PD组合使用,形成“校正网络”,也称PID调节。PID调节特性曲线PID(3)(图4),是PI、PD特性曲线合成的。适当的调节PI、PD上述各系数,就能保证控制系统即快又稳的工作。

结论:

总之,PID参数的调试是一个综合的、各参数互相影响的过程,实际调试过程中的多次尝试是非常重要的,也是必须的。



PID控制算法精华和参数整定三大招


 | 工控资料窝





在过程控制中,按偏差的比例(P)、积分(I)和微分(D)进行控制的PID控制器是应用最为广泛的一种自动控制器。它具有原理简单,易于实现,适用面广,控制参数相互独立,参数的选定比较简单等优点;而且在理论上可以证明,对于过程控制的典型对象──“一阶滞后+纯滞后”与“二阶滞后+纯滞后”的控制对象,PID控制器是一种最优控制。PID调节规律是连续系统动态品质校正的一种有效方法,它的参数整定方式简便,结构改变灵活(PI、PD、…)。


PID是闭环控制算法



因此要实现PID算法,必须在硬件上具有闭环控制,就是得有反馈。比如控制一个电机的转速,就得有一个测量转速的传感器,并将结果反馈到控制路线上,下面也将以转速控制为例。



PID是比例(P)、积分(I)、微分(D)控制算法



但并不是必须同时具备这三种算法,也可以是PD,PI,甚至只有P算法控制。我以前对于闭环控制的一个最朴素的想法就只有P控制,将当前结果反馈回来,再与目标相减,为正的话,就减速,为负的话就加速。现在知道这只是最简单的闭环控制算法。



PID控制器结构


PID控制系统原理结构框图

 

对偏差信号进行比例、积分和微分运算变换后形成一种控制规律。“利用偏差,纠正偏差”。

 


模拟PID控制器


 

模拟PID控制器结构图

 

PID控制器的输入输出关系为:



 


比例(P)、积分(I)、微分(D)控制算法各有作用



比例,反应系统的基本(当前)偏差e(t),系数大,可以加快调节,减小误差,但过大的比例使系统稳定性下降,甚至造成系统不稳定;

积分,反应系统的累计偏差,使系统消除稳态误差,提高无差度,因为有误差,积分调节就进行,直至无误差;

微分,反映系统偏差信号的变化率e(t)-e(t-1),具有预见性,能预见偏差变化的趋势,产生超前的控制作用,在偏差还没有形成之前,已被微分调节作用消除,因此可以改善系统的动态性能。但是微分对噪声干扰有放大作用,加强微分对系统抗干扰不利。 积分和微分都不能单独起作用,必须与比例控制配合。

 


控制器的P,I,D项选择



下面将常用的各种控制规律的控制特点简单归纳一下:


(1)、比例控制规律P:采用P控制规律能较快地克服扰动的影响,它的作用于输出值较快,但不能很好稳定在一个理想的数值,不良的结果是虽较能有效的克服扰动的影响,但有余差出现。它适用于控制通道滞后较小、负荷变化不大、控制要求不高、被控参数允许在一定范围内有余差的场合。如:金彪公用工程部下设的水泵房冷、热水池水位控制;油泵房中间油罐油位控制等。


(2)、比例积分控制规律(PI):在工程中比例积分控制规律是应用最广泛的一种控制规律。积分能在比例的基础上消除余差,它适用于控制通道滞后较小、负荷变化不大、被控参数不允许有余差的场合。如:在主线窑头重油换向室中F1401到F1419号枪的重油流量控制系统;油泵房供油管流量控制系统;退火窑各区温度调节系统等。


(3)、比例微分控制规律(PD):微分具有超前作用,对于具有容量滞后的控制通道,引入微分参与控制,在微分项设置得当的情况下,对于提高系统的动态性能指标,有着显著效果。因此,对于控制通道的时间常数或容量滞后较大的场合,为了提高系统的稳定性,减小动态偏差等可选用比例微分控制规律。如:加热型温度控制、成分控制。需要说明一点,对于那些纯滞后较大的区域里,微分项是无能为力,而在测量信号有噪声或周期性振动的系统,则也不宜采用微分控制。如:大窑玻璃液位的控制。


(4)、例积分微分控制规律(PID):PID控制规律是一种较理想的控制规律,它在比例的基础上引入积分,可以消除余差,再加入微分作用,又能提高系统的稳定性。它适用于控制通道时间常数或容量滞后较大、控制要求较高的场合。如温度控制、成分控制等。


鉴于D规律的作用,我们还必须了解时间滞后的概念,时间滞后包括容量滞后与纯滞后。其中容量滞后通常又包括:测量滞后和传送滞后。测量滞后是检测元件在检测时需要建立一种平衡,如热电偶、热电阻、压力等响应较慢产生的一种滞后。而传送滞后则是在传感器、变送器、执行机构等设备产生的一种控制滞后。纯滞后是相对与测量滞后的,在工业上,大多的纯滞后是由于物料传输所致,如:大窑玻璃液位,在投料机动作到核子液位仪检测需要很长的一段时间。


总之,控制规律的选用要根据过程特性和工艺要求来选取,决不是说PID控制规律在任何情况下都具有较好的控制性能,不分场合都采用是不明智的。如果这样做,只会给其它工作增加复杂性,并给参数整定带来困难。当采用PID控制器还达不到工艺要求,则需要考虑其它的控制方案。如串级控制、前馈控制、大滞后控制等。


Kp,Ti,Td三个参数的设定是PID控制算法的关键问题。一般说来编程时只能设定他们的大概数值,并在系统运行时通过反复调试来确定最佳值。因此调试阶段程序须得能随时修改和记忆这三个参数。



数字PID控制器 



(1)模拟PID控制规律的离散化  


(2)数字PID控制器的差分方程



参数的自整定



在某些应用场合,比如通用仪表行业,系统的工作对象是不确定的,不同的对象就得采用不同的参数值,没法为用户设定参数,就引入参数自整定的概念。实质就是在首次使用时,通过N次测量为新的工作对象寻找一套参数,并记忆下来作为以后工作的依据。具体的整定方法有三种:临界比例度法、衰减曲线法、经验法。

 

1、临界比例度法(Ziegler-Nichols)


1.1  在纯比例作用下,逐渐增加增益至产生等副震荡,根据临界增益和临界周期参数得出PID控制器参数,步骤如下:


(1)将纯比例控制器接入到闭环控制系统中(设置控制器参数积分时间常数Ti =∞,实际微分时间常数Td =0)。

(2)控制器比例增益K设置为最小,加入阶跃扰动(一般是改变控制器的给定值),观察被调量的阶跃响应曲线。

(3)由小到大改变比例增益K,直到闭环系统出现振荡。

(4)系统出现持续等幅振荡时,此时的增益为临界增益(Ku),振荡周期(波峰间的时间)为临界周期(Tu)。

(5) 由表1得出PID控制器参数。


表1


1.2  采用临界比例度法整定时应注意以下几点:


(1)在采用这种方法获取等幅振荡曲线时,应使控制系统工作在线性区,不要使控制阀出现开、关的极端状态,否则得到的持续振荡曲线可能是“极限循环”,从线性系统概念上说系统早已处于发散振荡了。


(2)由于被控对象特性的不同,按上表求得的控制器参数不一定都能获得满意的结果。对于无自平衡特性的对象,用临界比例度法求得的控制器参数往住使系统响应的衰减率偏大(ψ>0.75 )。而对于有自平衡特性的高阶等容对象,用此法整定控制器参数时系统响应衰减率大多偏小(ψ<0.75 )。为此,上述求得的控制器参数,应针对具体系统在实际运行过程中进行在线校正。


(3) 临界比例度法适用于临界振幅不大、振荡周期较长的过程控制系统,但有些系统从安全性考虑不允许进行稳定边界试验,如锅炉汽包水位控制系统。还有某些时间常数较大的单容对象,用纯比例控制时系统始终是稳定的,对于这些系统也是无法用临界比例度法来进行参数整定的。


(4)只适用于二阶以上的高阶对象,或一阶加纯滞后的对象,否则,在纯比例控制情况下,系统不会出现等幅振荡。


1.3  若求出被控对象的静态放大倍数KP=△y/△u ,则增益乘积KpKu可视为系统的最大开环增益。通常认为Ziegler-Nichols闭环试验整定法的适用范围为: 

(1) 当KpKu > 20时,应采用更为复杂的控制算法,以求较好的调节效果。

(2)当KpKu < 2时,应使用一些能补偿传输迟延的控制策略。

(3)当1.5 <KpKu< 2时,在对控制精度要求不高的场合仍可使用PID控制器,但需要对表1进行修正。在这种情况下,建议采用SMITH预估控制和IMC控制策略。

(4)当KpKu< 1.5时,在对控制精度要求不高的场合仍可使用PI控制器,在这种情况下,微分作用已意义不大。

 

2、衰减曲线法


衰减曲线法与临界比例度法不同的是,闭环设定值扰动试验采用衰减振荡(通常为4:1或10:l),然后利用衰减振荡的试验数据,根据经验公式求取控制器的整定参数。整定步骤如下


(1)在纯比例控制器下,置比例增益K为较小值,并将系统投入运行。

(2)系统稳定后,作设定值阶跃扰动,观察系统的响应,若系统响应衰减太快,则减小比例增益K;反之,应增大比例增益K。直到系统出现如图1(a)所示的4:1衰减振荡过程,记下此时的比例增益Ks及和振荡周期Ts数值。

图1

 

(3)利用Ks和Ts值,按表2给出的经验公式,计算出控制器的参数整定值。      

表2

 

(4)10:1衰减曲线法类似,只是用Tr带入计算。


采用衰减曲线法必须注意几点:

(1)加给定干扰不能太大,要根据生产操作要求来定,一般在5%左右,也有例外的情况。

(2)必须在工艺参数稳定的情况下才能加给定干扰,否则得不到正确得 整定参数。

(3)对于反应快的系统,如流量、管道压力和小容量的液位调节等,要得到严格的4:1衰减曲线较困难,一般以被调参数来回波动两次达到稳定,就近似地认为达到4:1衰减过程了。

(4)投运时,先将K放在较小的数值,把Ti减少到整定值,把Td逐步放大到整定值,然后把K拉到整定值(如果在K=整定值的条件下很快地把Td放到整定值,控制器的输出会剧烈变化)。

 

3、经验整定法


3.1方法一A:


(1)确定比例增益

使PID为纯比例调节,输入设定为系统允许最大值的60%~70%,由0逐渐加大比例增益至系统出现振荡;再反过来,从此时的比例增益逐渐减小至系统振荡消失,记录此时的比例增益,设定PID的比例增益P为当前值的60%~70%。


(2)确定积分时间常数

比例增益P确定后,设定一个较大的积分时间常数Ti的初值,然后逐渐减小Ti至系统出现振荡,之后在反过来,逐渐加大Ti至系统振荡消失。记录此时的Ti,设定PID的积分时间常数Ti为当前值的150%~180%。


(3)确定积分时间常数Td

积分时间常数Td一般不用设定,为0即可。若要设定,与确定 P和Ti的方法相同,取不振荡时的30%。


(4)系统带载联调,再对PID参数进行微调,直至满足要求。


3.2方法一B:


(1)PI调节

(a)纯比例作用下,把比例度从较大数值逐渐往下降,至开始产生周期振荡(测量值以给定值为中心作有规则得振荡),在产生周期性振荡得情况下,把此比例度逐渐加宽直至系统充分稳定。

(b)接下来把积分时间逐渐缩短至产生振荡,此时表示积分时间过短,应把积分时间稍加延长,直至振荡停止。


(2)PID调节

(a)纯比例作用下寻求起振点。

(b)加大微分时间使振荡停止,接着把比例度调得稍小一些,使振荡又产生,加大微分时间,使振荡再停止,来回这样操作,直至虽加大微分时间,但不能使振荡停止,求得微分时间的最佳值,此时把比例度调得稍大一些直至振荡停止。

(c)把积分时间调成和微分时间相同的数值,如果又产生振荡则加大积分时间直至振荡停止。


3.3方法二:


另一种方法是先从表列范围内取Ti的某个数值,如果需要微分,则取Td=(1/3~1/4)Ti,然后对δ进行试凑,也能较快地达到要求。实践证明,在一定范围内适当地组合δ和Ti的数值,可以得到同样衰减比的曲线,就是说,δ的减少,可以用增加Ti的办法来补偿,而基本上不影响调节过程的质量。所以,这种情况,先确定Ti、Td再确定δ的顺序也是可以的。而且可能更快些。如果曲线仍然不理想,可用Ti、Td再加以适当调整。


3.4方法三:


(1)在实际调试中,也可以先大致设定一个经验值,然后根据调节效果修改。

  流量系统:P(%)40--100,I(分)0.1--1

  压力系统:P(%)30--70,   I(分)0.4--3

       液位系统:P(%)20--80,   I(分)1—5

  温度系统:P(%)20--60,   I(分)3--10,D(分)0.5--3


(2)以下整定的口诀:


阶跃扰动投闭环,参数整定看曲线;先投比例后积分,最后再把微分加;

理想曲线两个波,振幅衰减4比1;比例太强要振荡,积分太强过程长;

动差太大加微分,频率太快微分降;偏离定值回复慢,积分作用再加强。

 

4、复杂调节系统的参数整定


以串级调节系统为例来说明复杂调节系统的参数整定方法。由于串级调节系统中,有主、副两组参数,各通道及回路间存在着相互联系和影响。改变主、副回路的任一参数,对整个系统都有影响。特别是主、副对象时间常数相差不大时,动态联系密切,整定参数的工作尤其困难。


在整定参数前,先要明确串级调节系统的设计目的。如果主要是保证主参数的调节质量,对副参数要求不高,则整定工作就比较容易;如果主、副参数都要求高,整定工作就比较复杂。下面介绍“先副后主”两步参数整定法。


第一步:在工况稳定情况下,将主回路闭合,把主控制器比例度放在100%,积分时间放在最大,微分时间放在零。用4:1衰减曲线整定副回路,求出副回路得比例增益K2s和振荡周期T2s。


第二步:把副回路看成是主回路的一个环节,使用4:1衰减曲线法整定主回路,求得主控制器K1s和T1s。


根据K1s、K2s、T1s、T2s按表2经验公式算出串级调节系统主、副回路参数。先放上副回路参数,再放上主回路参数,如果得到满意的过渡过程,则整定工作完毕。否则可进行适当调整。


如果主、副对象时间常数相差不大,按4:1衰减曲线法整定,可能出现“共振”危险,这时,可适当减小副回路比例度或积分时间,以达到减少副回路振荡周期的目的。同理,加大主回路比例度或积分时间,以期增大主回路振荡周期,使主、副回路振荡周期之比加大,避免“共振”。这样做的结果会降低调节质量。


如果主、副对象特性太相近,则说明确定的方案欠妥当,就不能完全依靠参数整定来提高调节质量了。


 

实际应用体会:

一是利用数字PID控制算法调节直流电机的速度,方案是采用光电开关来获得电机的转动产生的脉冲信号,单片机(MSP430G2553)通过测量脉冲信号的频率来计算电机的转速(具体测量频率的算法是采用直接测量法,定时1s测量脉冲有多少个,本身的测量误差可以有0.5转加减),测量的转速同给定的转速进行比较产生误差信号,来产生控制信号,控制信号是通过PWM调整占空比也就是调整输出模拟电压来控制的(相当于1位的DA,如果用10位的DA来进行模拟调整呢?效果会不会好很多?),这个实验控制能力有一定的范围,只能在30转/秒和150转/秒之间进行控制,当给定值(程序中给定的速度)高于150时,实际速度只能保持在150转,这也就是此系统的最大控制能力,当给定值低于30转时,直流电机转轴实际是不转动的,但由于误差值过大,转速会迅速变高,然后又会停止转动,就这样循环往复,不能达到控制效果。


根据实测,转速稳态精度在正负3转以内,控制时间为4到5秒。实验只进行到这种程度,思考和分析也只停留在这种深度。


是利用数字PID控制算法调节直流减速电机的位置,方案是采用与电机同轴转动的精密电位器来测量电机转动的位置和角度,通过测量得到的角度和位置与给定的位置进行比较产生误差信号,然后位置误差信号通过一定关系(此关系纯属根据想象和实验现象来拟定和改善的)转换成PWM信号,作为控制信号的PWM信号是先产生对直流减速电机的模拟电压U,U来控制直流减速电机的力矩(不太清楚),力矩产生加速度,加速度产生速度,速度改变位置,输出量是位置信号,所以之间应该对直流减速电机进行系统建模分析,仿真出直流减速电机的近似系统传递函数,然后根据此函数便可以对PID的参数进行整定了。


两次体会都不是特别清楚PID参数是如何整定的,没有特别清晰的理论指导和实验步骤,对结果的整理和分析也不够及时,导致实验深度和程度都不能达到理想效果。





先进制造业+工业互联网




产业智能官  AI-CPS


加入知识星球“产业智能研究院”:先进制造业OT(自动化+机器人+工艺+精益)和工业互联网IT(云计算+大数据+物联网+区块链+人工智能)产业智能化技术深度融合,在场景中构建“状态感知-实时分析-自主决策-精准执行-学习提升”的产业智能化平台;实现产业转型升级、DT驱动业务、价值创新创造的产业互联生态链。


产业智能化平台作为第四次工业革命的核心驱动力,将进一步释放历次科技革命和产业变革积蓄的巨大能量,并创造新的强大引擎; 重构设计、生产、物流、服务等经济活动各环节,形成从宏观到微观各领域的智能化新需求,催生新技术、新产品、新产业、新业态和新模式;引发经济结构重大变革,深刻改变人类生产生活方式和思维模式,实现社会生产力的整体跃升。

产业智能化技术分支用来的今天,制造业者必须了解如何将“智能技术”全面渗入整个公司、产品、业务等商业场景中, 利用工业互联网形成数字化、网络化和智能化力量,实现行业的重新布局、企业的重新构建和焕然新生。

版权声明产业智能官(ID:AI-CPS推荐的文章,除非确实无法确认,我们都会注明作者和来源,涉权烦请联系协商解决,联系、投稿邮箱:[email protected]




登录查看更多
18

相关内容

【UCLA】基于深度神经网络的工业大模型预测控制,36页ppt
《强化学习》简介小册,24页pdf
专知会员服务
282+阅读 · 2020年4月19日
【Nature论文】深度网络中的梯度下降复杂度控制
专知会员服务
41+阅读 · 2020年3月9日
【综述】自动驾驶领域中的强化学习,附18页论文下载
专知会员服务
176+阅读 · 2020年2月8日
MIT新书《强化学习与最优控制》
专知会员服务
282+阅读 · 2019年10月9日
无人驾驶仿真软件
智能交通技术
22+阅读 · 2019年5月9日
神经网络中的权重初始化一览:从基础到Kaiming
大数据文摘
12+阅读 · 2019年4月18日
【机器人】机器人PID控制
产业智能官
10+阅读 · 2018年11月25日
深度学习必须理解的25个概念
机器学习算法与Python学习
5+阅读 · 2018年6月7日
深度学习入门必须理解这25个概念
AI100
7+阅读 · 2018年6月6日
已删除
将门创投
10+阅读 · 2018年5月2日
神经网络理论基础及 Python 实现
Python开发者
6+阅读 · 2017年7月15日
The Measure of Intelligence
Arxiv
9+阅读 · 2019年11月5日
Knowledge Distillation from Internal Representations
Arxiv
4+阅读 · 2019年10月8日
Bivariate Beta LSTM
Arxiv
6+阅读 · 2019年10月7日
Arxiv
6+阅读 · 2019年2月28日
Foreground-aware Image Inpainting
Arxiv
4+阅读 · 2019年1月17日
VIP会员
最新内容
美国与以色列如何在攻击伊朗中使用人工智能
专知会员服务
4+阅读 · 4月16日
《自动化战略情报管控》
专知会员服务
2+阅读 · 4月16日
得失评估:审视对伊朗战争的轨迹(简报)
专知会员服务
2+阅读 · 4月16日
【CMU博士论文】迈向可解释机器学习的理论基础
基于数据优化的人机协同与机器人僚机
专知会员服务
7+阅读 · 4月16日
相关VIP内容
相关资讯
无人驾驶仿真软件
智能交通技术
22+阅读 · 2019年5月9日
神经网络中的权重初始化一览:从基础到Kaiming
大数据文摘
12+阅读 · 2019年4月18日
【机器人】机器人PID控制
产业智能官
10+阅读 · 2018年11月25日
深度学习必须理解的25个概念
机器学习算法与Python学习
5+阅读 · 2018年6月7日
深度学习入门必须理解这25个概念
AI100
7+阅读 · 2018年6月6日
已删除
将门创投
10+阅读 · 2018年5月2日
神经网络理论基础及 Python 实现
Python开发者
6+阅读 · 2017年7月15日
Top
微信扫码咨询专知VIP会员