无人车的线控转向系统故障诊断 | 厚势

2018 年 2 月 27 日 厚势 熊璐教授/章仁燮


厚势按:论文针对无人车线控转向系统的安全性及可靠性问题,分析了它的结构组成、工作原理以及故障类型,并且利用线控转向系统离散动力学模型和车辆二自由度模型,借助横摆角速度、侧向加速度和转向执行电机电流信号,设计了基于卡尔曼滤波方法的对转向管柱转角传感器进行实时故障诊断的算法,针对电机的突变故障,通过对电机参数的实时估计来进行故障诊断。


实车试验验证表明,所设计的故障诊断算法能够准确、及时诊断出无人车线控转向系统所出现的故障。


本文来自 2017 年 11 月 23 日出版的《 中国机械工程 》,作者是同济大学汽车学院、同济大学中德学院熊璐教授、同济大学中德学院的付志强李增良以及同济大学汽车学院的章仁燮博士




厚势-同济大学汽车学院教授文章列表:




0 引言


线控转向(Steering-by-Wire,SBW)系统作为新一代的转向系统,移除了连接转向盘和转向轮之间的机械传动机构,依靠电气系统实现自主转向功能,成为车辆智能辅助驾驶功能和无人驾驶功能的底盘基础,为实现无人驾驶提供保障 [1]。然而电气系统的可靠性和安全性是令人担忧的一大问题,也成为了限制 SBW 系统实用化的最大障碍。


为了解决这个问题,需要对线控转向系统进行软件冗余。软件冗余在不增加硬件成本的情况下,利用车上已有的资源,对目标部件进行冗余设计。现有的故障诊断解决方案主要有基于解析模型的方法和不依赖于解析模型的方法:


  • 前者通过对残差进行分析和处理来实现故障诊断;

  • 后者可以基于信号处理的方法,通过直接分析从可测信号中提取的方差、幅值、频率等信息,获取故障特征信息,进而进行故障检测与诊断 [2],或者基于知识的方法,通过引入诊断对象的多种信息进行故障检测与诊断,该方法往往具有智能特性 [3]。


文献 [4] 设计了一种针对线控转向系统的自适应阈值故障诊断方法,该算法相对于传统固定阈值诊断算法具有更好的鲁棒性和应用性。文献 [5] 提出了一种联合线控制动和线控驱动系统对失效的线控转向系统进行容错的方法。文献 [6] 提出了一种基于双转向执行电机的线控转向系统容错方法。


本文采用基于解析模型的方法,将系统数学模型和可观测输入输出变量结合起来构造出合适的残差信号,通过对残差进行分析处理来实现故障诊断。



1. 线控转向车辆动力学模型


无人车的线控转向系统组成包括:CAN 通信、蓄电池、控制器、电机控制器、执行电机、电机电流传感器、管柱转角传感器、齿轮齿条转向器、转向横拉杆、转向轮,如图 1 所示。系统的工作原理为:上层控制器通过 CAN 线发送参考转角信号给转角跟踪控制器,将转角信号作差,计算得到力矩,形成对转向系统的转角跟踪闭环控制。


图 1  无人车的线控转向系统结构图



1.1  车辆动力学模型


由于需要对横摆角速度信号和侧向加速度信号进行观测并估计转向盘转角,因此由车辆纵向和横摆运动建立的车辆二自由度模型如下:



其横摆角速度稳态响应增益为:



式中,l 为轴距;K 为稳定性因数。


横摆角速度与侧向加速度 a_y 的关系为:




1.2 线控转向系统动力学模型


本文依据转向执行模块物理结构,首先分别建立了转向系统从转向电机经过齿轮齿条到转向轮的数学模型,然后依据转角传递关系,整合成一个整体系统模型。


首先,将驱动电机到转向器小齿轮的转向管柱系统的动力学方程表示为:



其次,将从转向器小齿轮到车辆转向轮转角的转向梯形系统的动力学方程表示为:



假设齿轮齿条间没有间隙,得到下面的关系:



式中,k 为转向器的传动比。


根据式 (6)~式 (8),转向系统可以表示为:



假设前轮侧偏角在小范围内变化,则回正力矩可以用下式估算:




1.3 永磁无刷直流电机模型


本文选择了 EPS 用的永磁无刷直流电机(BLDC)作为研究对象,由电枢回路中的等效电路得到电机电压平衡构成的电路方程,结合电机轴上的转矩平衡方程,得其简化模型分别为:



选择电流和电压持续单向输入工况作为辨识用工况。采用最小二乘法对电机内阻与电机反电动势系数进行辨识。


在空载情况下,电枢电流为:



在理想情况下,将式 (13) 代入电机电路方程,可以得到电机的二阶微分方程:




2. 线控转向系统故障分析


无人车的线控转向系统的故障可以分为系统级故障和部件级故障。通常都是某一个部件发生了故障,两个或多个部件同时发生故障的概率远远小于单个部件发生故障的概率,在研究中几乎可以忽略多个部件同时发生故障的可能性。


线控转向系统级故障的表现形式有:


  • 系统参数变化,不能准确跟踪参考转角信号,即系统失控;

  • 系统停止工作,即系统彻底丧失转向跟踪功能。


按照故障发生原因进行分类,系统故障可以分为传感器故障、系统控制器故障、执行电机故障、CAN 通信故障、电池故障、线束故障以及机械故障。


传感器的故障形式主要分为 [7]:传感器卡死,传感器恒增益变化,传感器恒偏差失效。电机可能出现如部分线圈断路或短路、电枢与定子磁极卡死、转子转不动,这些故障都会引起电机参数的突变。


本文对传感器故障的定义为:传感器测量值与其正常值发生较大的偏差,传感器的短路、接触不良、漂移等常见故障都表现如此。故障的程度通过传感器测量值与正常值的偏离程度来衡量,较大的传感器故障会导致底层转角响应与上层正常需求不符合,影响上层的执行效果;而转向电机的突变故障更会导致执行力矩误差较大,无法实现期望管柱转角的跟踪控制目标。



3. 线控转向系统故障诊断策略


本文故障诊断算法的基本流程 [8-9] 分为三个步骤:信息提取、故障识别、故障决策,本文重点考虑信息提取与故障识别模块。


基于解析模型的方法通过故障诊断模型生成残差信号,利用残差的变化反映传感器的故障情况。残差最为理想的状态是:当无故障发生时,残差非常小,当发生故障时残差变得很大,即残差对故障具有很高的灵敏度,而对模型的误差及外界干扰不敏感。根据残差的大小确定传感器故障的程度。故障识别模块根据信息特征提取模块提供的故障信息进行处理,用于识别不同类型的故障,并给出最终的诊断信息。



3.1 离散卡尔曼滤波算法


离散卡尔曼滤波(KF)算法采用反馈控制的方法估计过程状态,首先,利用离散后系统的状态方程向前推算当前状态变量和误差协方差估计的值,为下一时间状态构造先验状态估计,即时间更新方程;然后,将先验估计和新的测量变量相结合,构成后验估计进行反馈,即测量更新方程如下。


时间更新方程如下:



状态更新方程如下:




3.2 基于卡尔曼滤波的转角传感器故障诊断算法


基于卡尔曼滤波的传感器故障诊断算法就是借助横摆角速度信号和侧向加速度信号进行状态估计,生成残差信号来得到故障诊断信息。


3.2.1 基于横摆角速度的卡尔曼滤波状态估计


根据系统动力学模型和车辆运动学模型,得到系统离散方程和观测方程分别为:



3.2.2  基于侧向加速度的卡尔曼状态估计


根据线控转向系统动力学模型和二自由度车辆模型计算得知,系统离散方程和观测方程为:



3.2.3 残差生成


根据基于横摆角速度和侧向加速度的卡尔曼状态估计的转向盘转角值 δ^1k、δ^2k 及 k 时刻转向盘转角传感器的测量值 δk,可以得到三组残差:



通过设定三个残差阈值 z1、z2、z3,可以得到故障特征向量(S1, S2, S3):



阈值的设定要求在传感器不发生故障时残差在阈值范围之内,当传感器发生故障时残差要超过阈值:


  • 阈值设定得越小,算法越容易诊断出微小的故障,即诊断的灵敏度越高,但也提高了误报的可能

  • 阈值设定得越大越不容易误报,但会降低诊断的灵敏度。


因此,在设定阈值的时候要协调诊断灵敏度与误报率两方面因素。


3.2.4  故障诊断逻辑


故障特征向量(S1, S2, S3)反映了传感器的故障信息。由于两个传感器同时发生故障的概率非常小,要么转角传感器发生故障,要么另外两个传感器中有一个故障。当转向盘转角传感器故障时,另外两个传感器(横摆角速度传感器和侧向加速度传感器)工作正常,即转角传感器的测量值偏离真实值,另外两个估计值较接近真实值。所以诊断逻辑为:



其中,F 代表转角传感器工作状态,1 表示故障,0 表示正常。



3.3 基于卡尔曼滤波的转向电机故障诊断算法


针对电机的突变故障,设计故障诊断算法,通过电机参数的突变来确定电机处于故障状态。考虑到电机的电压、电流和电机转速是可以直接测量的,所以本设计只选择式 (11) 作为对电机进行参数估计的基础模型。


由于电控转向系统中的电机电感较小,数量级为 1 mH,故可忽略电机突变故障对电感的影响,即假设电枢电感为定值。


由此,系统离散方程和观测方程为:




4 实车试验


本试验平台是基于图 2 所示的轮毂/轮边电驱动汽车平台,测试仪器如图 3 所示。所需要的传感器信号来自于惯导,车辆参数如表 1 所示。该车已经实现无人车的转角控制,在此基础之上对线控转向系统进行故障诊断试验。


图 2  试验平台


图 3  测试仪器


表 1  车辆参数


由于实际传感器几乎不可能在试验过程中发生故障,所以需要模拟传感器故障。将传感器测量信号输入到算法模型之后,用一个加法给传感器信号叠加一个故障信号,以此检验故障状态下诊断算法的诊断效果。


针对无人车线控转向转角的跟踪工况,设计稳态圆周工况和蛇形工况试验。由于估计值和测量值不可能实时一致,故传感器故障诊断就涉及误报率及漏报率,而且这两者相互冲突,本文通过试验调节合适的残差阈值,权衡两者之间的矛盾,分析故障诊断算法的可靠性,分别模拟了传感器在转角为 0°、10°、15° 时故障的三组诊断试验。



4.1 稳态圆周工况


阶跃输入期望转角工况下本文诊断算法估算转角如图 4 所示。


图 4  阶跃信号跟踪工况下管柱转角估计


所设计故障诊断算法能够在线控转向系统跟踪阶跃信号的工况下,及时地对管柱转角进行估计,由于侧向加速度传感器和横摆角速度传感器测量的误差,导致估计的转向盘转角有一定误差,会对诊断的误报率和漏报率产生影响。


通过给传感器信号叠加不同的故障模拟信号,计算转向盘转角故障诊断残差,并且利用故障诊断逻辑来验证控制算法。诊断效果如图 5 所示。


图 5  稳态圆周工况转角传感器故障的诊断结果


稳态圆周工况下,故障诊断算法能够在没有故障和大于 15° 的故障下,给出比较理想的诊断效果。


在故障为 10° 时存在漏报,是因为阶跃输入转角进行跟踪的过程中,由横摆角速度信号噪声引起的跟踪误差,从图 4 中可以看出阶跃信号变化时,由横摆角速度估计的残差较大。


三组残差的阈值较为敏感,因此应适当减小阈值。在故障角度 0°~15° 的区间内,随着角度的减小,诊断效果变差。



4.2 蛇形工况


对于期望转角正弦信号的跟踪情况下,诊断算法估算的转角如图 6 所示。


图 6  正弦信号跟踪工况下管柱转角估计结果


由 6 可以看出,故障诊断算法能够在线控转向系统跟踪正弦信号的工况下,及时对管柱转角进行估计,误差在可以接受的范围内;存在误差的原因是采用的传感器信号有一定的噪声。


通过对传感器信号叠加不同的故障值,调节横摆角速度和侧向加速度信号的残差阈值,权衡误报率和漏报率测试诊断效果,试验结果如图 7 所示。


图 7  蛇形工况转角传感器故障的诊断结果


蛇形工况下,故障诊断算法能够在转角传感器正常工作时,全程诊断结果为 0,即不误报;转角传感器误差大于 10° 时,给出比较理想的诊断效果,基本不会漏报。


对比发现正弦信号输入转角工况,漏报率较小,传感器误差小于 10° 时,诊断效果会递减,从图 7b 中可以看出误报率较小,基本满足诊断需求。



4.3 电机故障诊断算法的验证


由于试验平台仅能提供电流和转速信号,且电机及其控制器已集成好,不容易改装,所以本试验采用了仿真实验来代替。


(1) 电机内阻突变时估计。将正弦信号电压输入给电机,电机模型参数及故障设置如下:电机电感 La = 0.001 H,电机反电动势系数 ke = 0.1 V·s/rad,电机内阻 Ra = 0.036 Ω;故障设置为 t = 3 s 时 Ra 从 0.036 Ω 增至 0.048 Ω。


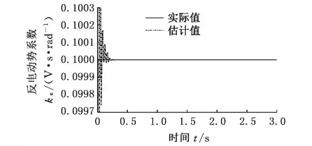
(2) 电机反电动势系数突变时估计。电机模型参数同上,故障设置为 t = 3 s 时电机反电动势系数 ke 从 0.01 V·s/rad 减至  0.005 V·s/rad,t = 3 s 时增至  0.008 V·s/rad。


图 8  电机内阻突变时的电机反电动势系数估计


图 9  电机内阻估计


图 10  电机反电动势系数估计


图 11  电机反电动势系数突变时的电机内阻估计


从图 8 ~ 图 11 中可以看出,所设计的基于卡尔曼滤波的电机故障诊断算法,在模拟电机出现突变故障时,经过控制算法估计得到的电机内阻和电机反电动势常数能够实时反映实际电机参数的变化,与离散辨识得到的电机正常参数进行对比,超出了正常的范围,因此判断为故障,故障发生的时间和幅值可以在曲线中反映。


由此,电机诊断算法可以及时、准确判断出电机出现故障。



5 结论


本文围绕着无人车的线控转向系统的可靠性、安全性目标,对线控转向系统进行了故障诊断研究,分析了线控转向执行系统的结构组成,系统和部件的常见故障类型。


基于解析模型的方法,设计了基于卡尔曼滤波的转角传感器和转向执行电机的故障诊断算法,实时诊断管柱转角传感器和电机的故障,对故障诊断算法进行实车验证。


对执行电机故障诊断算法进行了仿真验证,结果表明,所设计的故障诊断算法能准确、及时地诊断出线控转向系统传感器及电机所出现的故障,保证系统及车辆运行安全,为容错控制提供正确的诊断信息。



参考文献


1. TIAN Chengwei, ZONG Changfu, WANG Xiang,etal. Research on the Sensor Fault Rebuilding Based on Riccati-type Equation for Steer-by-wire System [J]. China Mechanical Engineering, 2009,20 (21):2637-2641

2. HEITZERH D. Development of a Fault-tolerant Steer-by-wire Steering System [J]. Autotechnology, 2003,3 (4) : 56-60

3. PAN Haipeng. Study of the Diagnosis Technology of Electric Power Steering [D]. Changchun: Jilin University, 2005

4. PISUP, SERRANI A, YOU S, et al. Adaptive Threshold Based Diagnostics for Steer-by-wire Systems [J]. Journal of Dynamic Systems, Measurement, and Control, 2006, 128 (2): 428-435

5. HAYAMAR, HIGASHIM, KAWAHARAS, etal. Fault-tolerant Automobile Steering Based on Diversity of Steer-by-wire, Brakingand Acceleration [J]. Reliability Engineering & System Safety, 2010, 95 (1): 10-17

6. TIANC, ZONG C, HE L, et al. FaultTolerant Control Method for Steer-by-wire System [C] // InternationalConferenceon Mechatronicsand Automation. Changchun, 2009: 291-295

7. JIANG Guobin. Research of Diagnostic Method for Vehicle Steer-by-wire System [D]. Changchun: Jilin University, 2009 

8. ZHENGB, ANWARS. Yaw Stability Control of a Steer-by-wire Equipped Vehicle via Active Front Wheel Steering [J]. Mechatronics, 2009, 19 (6): 799-804 

9. TIAN Chengwei, ZONG Changfu, JIANG Guobin,etal. Sensor Fault Diagnosis for Steer-by-wire Car Based on Dual Adaptive Kapman Filter [J]. China Journal of Highway and Transport, 2009, 22 (4):115-121



作者简介


熊璐,男,1978 年生,同济大学汽车学院 & 中德学院教授、博导,主要研究方向为车辆动力学与控制。

付志强,男,1994 年生,同济大学中德学院硕士研究生。

李增良,男,1991 年生。同济大学中德学院硕士研究生。

章仁燮,男,1989 年生。同济大学汽车学院博士研究生。



编辑整理:厚势分析师盖布林

转载请注明来自厚势和厚势公号:iHoushi



-END-


文章精选


企业家

马斯克和贾跃亭 福特CEO下台正道汽车仰融

任正非裁员电池大牛凯尔提离开特斯拉

智能驾驶

BBC自动驾驶纪录片自动驾驶第一案,谷歌讼Uber

高精地图自动驾驶的灾难英特尔收购Mobileye

智能汽车横向控制方法研究综述

基于计算机视觉的自动驾驶算法研究综述

上汽集团:国内智能汽车测试场的运营模式分析

驾驶模拟技术在汽车智能技术研发中的应用综述

自动驾驶如何重构汽车产业价值链

新能源汽车

全国50个新能源汽车项目大盘点

锂电池发展趋势中国汽车产业电动化进程

苹果收购特斯拉?丰田和特斯拉决裂

重庆大学:燃料电池关键材料与进展

干勇院士:中国氢能源体系

项目和评论

以色列最强10家自动驾驶创业公司

 37个汽车分时项目盘点百度投资蔚来汽车

马化腾或为共享单车最大赢家汽车产业3大趋势

Momenta获$4000万B轮

百度系自动驾驶初创公司 Pony.ai 的突围之路

这些大神从Google出走,创办了五家(命运各异的)无人车公司

无需基础知识,理解自动驾驶高精度行车定位技术


为您对接资本和产业

新能源汽车 自动驾驶 车联网




联系邮箱

[email protected]

点击阅读原文,查看文章「同济熊璐教授:无人驾驶车辆的底层动力学控制研究

登录查看更多
2

相关内容

卡尔曼滤波是一种高效率的递归滤波器(自回归滤波器),它能够从一系列的不完全及包含噪声的测量中,估计动态系统的状态。
最新《深度学习自动驾驶》技术综述论文,28页pdf
专知会员服务
156+阅读 · 2020年6月14日
华为发布《自动驾驶网络解决方案白皮书》
专知会员服务
130+阅读 · 2020年5月22日
阿里巴巴达摩院发布「2020十大科技趋势」
专知会员服务
108+阅读 · 2020年1月2日
自动驾驶高精度定位如何在复杂环境进行
智能交通技术
18+阅读 · 2019年9月27日
自动驾驶技术解读——自动驾驶汽车决策控制系统
智能交通技术
30+阅读 · 2019年7月7日
自动驾驶车辆定位技术概述|厚势汽车
厚势
10+阅读 · 2019年5月16日
自动驾驶汽车技术路线简介
智能交通技术
15+阅读 · 2019年4月25日
【工业智能】电网故障诊断的智能技术
产业智能官
34+阅读 · 2018年5月28日
【智能驾驶】史上最全自动驾驶系统解析
产业智能官
25+阅读 · 2017年8月21日
Arxiv
37+阅读 · 2019年11月7日
Self-Driving Cars: A Survey
Arxiv
41+阅读 · 2019年1月14日
Arxiv
3+阅读 · 2018年9月12日
VIP会员
最新内容
基于数据优化的人机协同与机器人僚机
专知会员服务
4+阅读 · 今天2:08
美陆军设想无人系统司令部
专知会员服务
3+阅读 · 4月15日
【博士论文】已对齐人工智能系统的持久脆弱性
扭曲还是编造?视频大语言模型幻觉研究综述
专知会员服务
5+阅读 · 4月15日
相关VIP内容
最新《深度学习自动驾驶》技术综述论文,28页pdf
专知会员服务
156+阅读 · 2020年6月14日
华为发布《自动驾驶网络解决方案白皮书》
专知会员服务
130+阅读 · 2020年5月22日
阿里巴巴达摩院发布「2020十大科技趋势」
专知会员服务
108+阅读 · 2020年1月2日
相关资讯
自动驾驶高精度定位如何在复杂环境进行
智能交通技术
18+阅读 · 2019年9月27日
自动驾驶技术解读——自动驾驶汽车决策控制系统
智能交通技术
30+阅读 · 2019年7月7日
自动驾驶车辆定位技术概述|厚势汽车
厚势
10+阅读 · 2019年5月16日
自动驾驶汽车技术路线简介
智能交通技术
15+阅读 · 2019年4月25日
【工业智能】电网故障诊断的智能技术
产业智能官
34+阅读 · 2018年5月28日
【智能驾驶】史上最全自动驾驶系统解析
产业智能官
25+阅读 · 2017年8月21日
Top
微信扫码咨询专知VIP会员