腾讯(优图)新技术的人脸检测

2019 年 7 月 19 日 计算机视觉战队

导读分享的文章,其提出了一种新的人脸检测网络,解决了人脸检测的三个关键方面,包括更好的特征学习、渐进的损失设计和基于锚的数据增强。首先,提出了一种增强原始特征映射的特征增强模块(FEM),将单个镜头探测器扩展到双镜头探测器。其次,采用由两组不同的锚计算的渐进锚损失(PAL)来有效地促进特征。第三,通过将新的锚分配策略集成到数据增强中,使用了改进的锚匹配(IAM),以提供对REGRESOR的更好的初始化。由于这些技术都与双流设计有关,所以将提出的网络命名为双镜头人脸检测器(DSFD)。对流行的基准,WIDER FACE和FDDB进行了广泛实验,证明了DSFD优于现有技术的人脸检测器的优越性。

引言

作为人脸检测的先驱工作,Viola-Jones采用Adaboost算法,具有手工制作的特征,现在已被卷积神经网络(CNN)的深度学习的特征所取代,取得了很大的进步。尽管基于CNN的人脸检测器已经被广泛地研究,但是在真实世界场景中检测具有高度可变性的面部、姿势、遮挡、表情、外观和照明仍然是一个挑战。

现有技术的人脸检测器可以粗略地分成两类,第一个主要是基于Faster RCNN中采用的区域建议网络(RPN),并且采用两级检测方案。RPN是经过训练的端到端,并产生高质量的区域候选,这些候选通过Faster R-CNN探测器进一步完善。另一个是基于单镜头探测器(SSD)的单级方法,该方法摆脱了RPN,直接预测了边界框。

最近,由于较高的推理效率和直接的系统部署,One shot的人脸检测框架引起了更多的关注。具体分析见“计算机视觉协会”知识星球。

Dual Shot Face Detector

DSFD的框架如下图所示。体系结构使用了与Pyramid Box和S3FD相同的扩展VGG16框架,在分类层之前被截断,并添加了一些辅助结构。注意,训练图像的输入尺寸为640,这意味着从最低层到最高层的特征图大小为160到5。不同于S3FD和Pyramid Box,在利用有限元法中的感受野放大和新的锚设计策略后,对于步长、锚和感受野三种尺寸满足等比例间隔原则的情况,都是不必要的。因此,DSFD具有更大的灵活性和鲁棒性。此外,原有的和增强的镜头有两个不同的损失,分别是第一次发射渐进锚损失(FSL)和第二次发射渐进锚损失(SSL)。

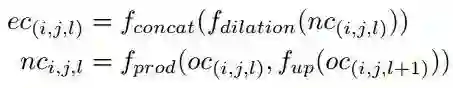
特征增强模块

特征增强模块能够对原始特征进行增强,使其具有更强的鉴别性和鲁棒性,简称FEM。

下图就阐述了FPN和RFB提出的有限元思想。在这里,首先使用1×1卷积核来规范特征映射。然后对上面的特征图进行抽样,用当前的特征映射来制作元素级的产品。最后将特征映射分为三个部分,然后是包含不同数目的膨胀卷积层的三个子网络。

实验

特征增强模块的有效性

Progressive Anchor Loss 的有效性

Progressive Anchor Loss在知识星球有详细讲解。

不同尺度人脸的数目分布

新技术的可视化结果

*注:具体实施和源码实践的过程会在知识星球分享。

如果想加入我们“计算机视觉战队”,请扫二维码加入学习群。计算机视觉战队主要涉及机器学习、深度学习等领域,由来自于各校的硕博研究生组成的团队,主要致力于人脸检测、人脸识别,多目标检测、目标跟踪、图像分割等研究方向。

我们开创一段时间的“计算机视觉协会”知识星球,也得到很多同学的认可,我们定时会推送实践型内容与大家分享,在星球里的同学可以随时提问,随时提需求,我们都会及时给予回复及给出对应的答复。

微信学习讨论群也可以加入,我们会第一时间在该些群里预告!

登录查看更多
0

相关内容

人脸检测(Face Detection)是一种在任意数字图像中找到人脸的位置和大小的计算机技术。它可以检测出面部特征,并忽略诸如建筑物、树木和身体等其他任何东西。有时候,人脸检测也负责找到面部的细微特征,如眼睛、鼻子、嘴巴等的精细位置。
【CMU】基于图神经网络的联合检测与多目标跟踪
专知会员服务
59+阅读 · 2020年6月24日
CVPR 2020 最佳论文与最佳学生论文!
专知会员服务
36+阅读 · 2020年6月17日
【CVPR2020-北京大学】自适应间隔损失的提升小样本学习
专知会员服务
85+阅读 · 2020年6月9日
【北航】面向自然语言处理的预训练技术研究综述
专知会员服务
114+阅读 · 2020年4月23日
专知会员服务
164+阅读 · 2020年4月21日
【CVPR2020-旷视】DPGN:分布传播图网络的小样本学习
专知会员服务
28+阅读 · 2020年4月1日
专知会员服务
42+阅读 · 2020年2月20日
姿势服装随心换-CVPR2019
专知会员服务
36+阅读 · 2020年1月26日
目前最强性能的人脸检测算法(Wider Face Dataset)
计算机视觉战队
5+阅读 · 2019年9月4日
人脸专集4 | 遮挡、光照等因素的人脸关键点检测
计算机视觉战队
29+阅读 · 2019年4月11日
从人脸检测到语义分割,OpenCV预训练模型库
极市平台
5+阅读 · 2018年10月26日
一文综述人脸检测算法(附资源)
数据派THU
7+阅读 · 2018年5月8日
从传统方法到深度学习,人脸关键点检测方法综述
机器之心
14+阅读 · 2017年12月17日
人脸检测与识别总结
计算机视觉战队
21+阅读 · 2017年11月29日
Arxiv
6+阅读 · 2019年2月28日
Arxiv
4+阅读 · 2018年12月20日
Zero-Shot Object Detection
Arxiv
9+阅读 · 2018年7月27日
Arxiv
5+阅读 · 2018年5月16日
Arxiv
7+阅读 · 2018年3月19日
Arxiv
11+阅读 · 2018年1月18日
Arxiv
6+阅读 · 2018年1月14日
Arxiv
5+阅读 · 2016年12月29日
VIP会员
最新内容
《第四代军事特种作战部队选拔与评估》
专知会员服务
1+阅读 · 今天6:23
不对称优势上升:自主系统如何强化海上拒止
专知会员服务
1+阅读 · 今天5:51
《人工智能赋能电磁战》(报告)
专知会员服务
2+阅读 · 4月17日
【CMU博士论文】迈向可扩展的开放世界三维感知
相关VIP内容
【CMU】基于图神经网络的联合检测与多目标跟踪
专知会员服务
59+阅读 · 2020年6月24日
CVPR 2020 最佳论文与最佳学生论文!
专知会员服务
36+阅读 · 2020年6月17日
【CVPR2020-北京大学】自适应间隔损失的提升小样本学习
专知会员服务
85+阅读 · 2020年6月9日
【北航】面向自然语言处理的预训练技术研究综述
专知会员服务
114+阅读 · 2020年4月23日
专知会员服务
164+阅读 · 2020年4月21日
【CVPR2020-旷视】DPGN:分布传播图网络的小样本学习
专知会员服务
28+阅读 · 2020年4月1日
专知会员服务
42+阅读 · 2020年2月20日
姿势服装随心换-CVPR2019
专知会员服务
36+阅读 · 2020年1月26日
相关资讯
目前最强性能的人脸检测算法(Wider Face Dataset)
计算机视觉战队
5+阅读 · 2019年9月4日
人脸专集4 | 遮挡、光照等因素的人脸关键点检测
计算机视觉战队
29+阅读 · 2019年4月11日
从人脸检测到语义分割,OpenCV预训练模型库
极市平台
5+阅读 · 2018年10月26日
一文综述人脸检测算法(附资源)
数据派THU
7+阅读 · 2018年5月8日
从传统方法到深度学习,人脸关键点检测方法综述
机器之心
14+阅读 · 2017年12月17日
人脸检测与识别总结
计算机视觉战队
21+阅读 · 2017年11月29日
相关论文
Arxiv
6+阅读 · 2019年2月28日
Arxiv
4+阅读 · 2018年12月20日
Zero-Shot Object Detection
Arxiv
9+阅读 · 2018年7月27日
Arxiv
5+阅读 · 2018年5月16日
Arxiv
7+阅读 · 2018年3月19日
Arxiv
11+阅读 · 2018年1月18日
Arxiv
6+阅读 · 2018年1月14日
Arxiv
5+阅读 · 2016年12月29日
Top
微信扫码咨询专知VIP会员