【AI超级美发师】深度学习算法打造染发特效(附代码)

2018 年 8 月 2 日 新智元





  新智元推荐  

来源:OpenCV学堂

作者:胡耀武


【新智元导读】如今,在类似天天P图、美图秀秀等手机APP中,给指定照片或视频中的人物更换头发颜色已经是再正常不过的事情了。那么本文便介绍了该功能背后如AI头发分割模块、头发换色、颜色增强与修正模块等技术原理(附代码)。



首先,为照片或视频中人物换发色的算法流程如下图所示:



AI头发分割模块


基于深度学习的目标分割算法已经比较成熟,比较常用的有FCN,SegNet,UNet,PspNet,DenseNet等等。这里我们使用Unet网络来进行头发分割,具体可以参考如下链接:点击打开链接Unet头发分割代码如下:


def get_unet_256(input _shape=(256,256,3),
                 num_classes=1)
:

    inputs=Input(shape=input_shape)
    #256

    down0 = Conv2D(32,(3,3), padding='same')(inputs)
    down0 = BatchNormalization()(down0)
    down0 = Activation('relu')(down0)
    down0 = Conv2D(32,(3,3), padding='same')(down0)
    down0 = BatchNormalization()(down0)
    down0 = Activation('relu')(down0)
    down0_pool = MaxPooling2D((2,2),strides=(2,2))(down0)    
    #128

    down1 = Conv2D(64,(3,3), padding='same')(down0_pool)
    down1 = BatchNormalization()(down1)
    down1 = Activation('relu')(down1)
    down1 = Conv2D(64,(3,3), padding='same')(down1)
    down1 = BatchNormalization()(down1)
    down1 = Activation('relu')(down1)
    down1_pool = MaxPooling2D((2,2),strides=(2,2))(down1)
    #64

    down2 = Conv2D(128,(3,3), padding='same')(down1_pool)
    down2 = BatchNormalization()(down2)
    down2 = Activation('relu')(down2)
    down2 = Conv2D(128,(3,3), padding='same')(down2)
    down2 = BatchNormalization()(down2)
    down2 = Activation('relu')(down2)
    down2_pool = MaxPooling2D((2,2),strides=(2,2))(down2)
    #32

    down3 = Conv2D(256,(3,3), padding='same')(down2_pool)
    down3 = BatchNormalization()(down3)
    down3 = Activation('relu')(down3)
    down3 = Conv2D(256,(3,3), padding='same')(down3)
    down3 = BatchNormalization()(down3)
    down3 = Activation('relu')(down3)
    down3_pool = MaxPooling2D((2,2),strides=(2,2))(down3)
    #16

    down4 = Conv2D(512,(3,3), padding='same')(down3_pool)
    down4 = BatchNormalization()(down4)
    down4 = Activation('relu')(down4)
    down4 = Conv2D(512,(3,3), padding='same')(down4)
    down4 = BatchNormalization()(down4)
    down4 = Activation('relu')(down4)
    down4_pool = MaxPooling2D((2,2),strides=(2,2))(down4)
    #8

    center = Conv2D(1024,(3,3), padding='same')(down4_pool)
    center = BatchNormalization()(center)
    center = Activation('relu')(center)
    center = Conv2D(1024,(3,3), padding='same')(center)
    center = BatchNormalization()(center)
    center = Activation('relu')(center)
    #center

    up4 = UpSamepling2D((2,2))(center)
    up4 = Concatenate([down4,up4],axis=3)
    up4 = Conv2D(512,(3,3),padding='same')(up4)
    up4 = BatchNormalization()(up4)
    up4 = Activation('relu')(up4)
    up4 = Conv2d(512,(3,3),padding='same')(up4)
    up4 = BatchNormalization()(up4)
    up4 = Activation('relu')(up4)
    #16

    up3 = UpSamepling2D((2,2))(up4)
    up3 = Concatenate([down4,up4],axis=3)
    up3 = Conv2D(256,(3,3),padding='same')(up3)
    up3 = BatchNormalization()(up3)
    up3 = Activation('relu')(up3)
    up3 = Conv2d(256,(3,3),padding='same')(up3)
    up3 = BatchNormalization()(up3)
    up3 = Activation('relu')(up3)
    #32

    up2 = UpSamepling2D((2,2))(up3)
    up2 = Concatenate([down4,up4],axis=3)
    up2 = Conv2D(128,(3,3),padding='same')(up2)
    up2 = BatchNormalization()(up2)
    up2 = Activation('relu')(up2)
    up2 = Conv2d(128,(3,3),padding='same')(up2)
    up2 = BatchNormalization()(up2)
    up2 = Activation('relu')(up2)
    #64

    up1 = UpSamepling2D((2,2))(up2)
    up1 = Concatenate([down4,up4],axis=3)
    up1 = Conv2D(64,(3,3),padding='same')(up1)
    up1 = BatchNormalization()(up1)
    up1 = Activation('relu')(up1)
    up1 = Conv2d(64,(3,3),padding='same')(up1)
    up1 = BatchNormalization()(up1)
    up1 = Activation('relu')(up1)
    #128

    up0 = UpSamepling2D((2,2))(up1)
    up0 = Concatenate([down4,up4],axis=3)
    up0 = Conv2D(32,(3,3),padding='same')(up0)
    up0 = BatchNormalization()(up0)
    up0 = Activation('relu')(up0)
    up0 = Conv2d(32,(3,3),padding='same')(up0)
    up0 = BatchNormalization()(up0)
    up0 = Activation('relu')(up0)
    #256

    classify = Con2D(num_classes,(1,1)),activation='sigmoid')(up0)
    model = Model(input=inputs,outputs=classify)
 #model.compile(optimizer=RMSprop(lr=0.0001),loss=bce_dice_loss,metrices=[dice_coeff])

return model


分割效果举例如下:



使用的训练和测试数据集合大家自己准备即可。


发色更换模块


这个模块看起来比较简单,实际上却并非如此。 这个模块要细分为:


 ①头发颜色增强与修正模块;

 ②颜色空间染色模块;

 ③头发细节增强;


发色增强与修正模块


为什么要对头发的颜色进行增强与修正? 先看下面一组图,我们直接使用HSV颜色空间对纯黑色的头发进行染色,目标色是紫色,结果如下:



大家可以看到,针对上面这张原图,头发比较黑,在HSV颜色空间进行头发换色之后,效果图中很不明显,只有轻微的颜色变化。


 为什么会出现这种情况?原因如下: 我们以RGB和HSV颜色空间为例,首先来看下HSV和RGB之间的转换公式:


设 (r, g, b)分别是一个颜色的红、绿和蓝坐标,它们的值是在0到1之间的实数。设max等价于r, g和b中的最大者。设min等于这些值中的最小者。要找到在HSL空间中的 (h, s, l)值,这里的h ∈ [0, 360)度是角度的色相角,而s, l ∈ [0,1]是饱和度和亮度,计算为:



我们假设头发为纯黑色,R=G=B=0,那么按照HSV计算公式可以得到H = S = V = 0;


假设我们要把头发颜色替换为红色(r=255,g=0,b=0);


那么,我们先将红色转换为对应的hsv,然后保留原始黑色头发的V,红色头发的hs,重新组合新的hsV,在转换为RGB颜色空间,即为头发换色之后的效果(hs是颜色属性,v是明度属性,保留原始黑色头发的明度,替换颜色属性以达到换色目的);


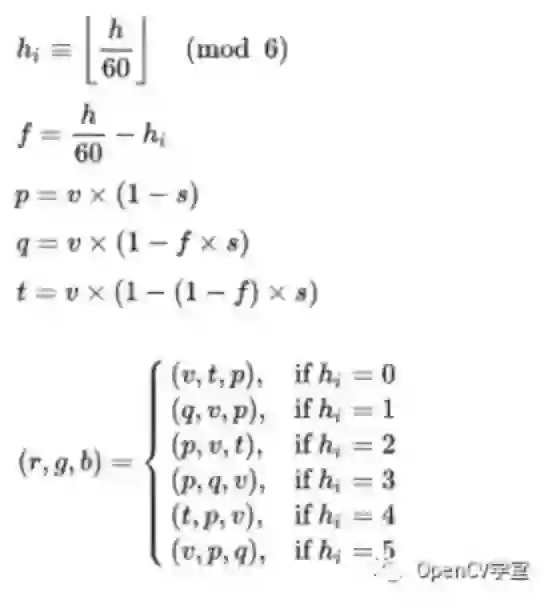
HSV转换为RGB的公式如下:



对于黑色,我们计算的结果是H=S=V=0,由于V=0,因此,p=q=t=0,不管目标颜色的hs值是多少,rgb始终都是0,也就是黑色;


这样,虽然我们使用了红色,来替换黑色头发,但是,结果却依旧是黑色,结论也就是hsv/hsl颜色空间,无法对黑色换色


下面,我们给出天天P图和美妆相机对应紫色的换发色效果:



与之前HSV颜色空间的结果对比,我们明显可以看到,天天P图和美妆相机的效果要更浓,更好看,而且对近乎黑色的头发进行了完美的换色;


由于上述原因,我们这里需要对图像中的头发区域进行一定的增强处理:提亮,轻微改变色调;


这一步通常可以在PS上进行提亮调色,然后使用LUT来处理;


经过提亮之后的上色效果如下图所示:



可以看到,基本与美妆相机和天天P图类似了。


HSV/HSL/YCbCr颜色空间换色


这一步比较简单,保留明度分量不变,将其他颜色、色调分量替换为目标发色就可以了。


这里以HSV颜色空间为例:


假如我们要将头发染发为一半青色,一般粉红色,那么我们构建如下图所示的颜色MAP:



对于头发区域的每一个像素点P,我们将P的RGB转换为HSV颜色空间,得到H/S/V;


根据P在原图头发区域的位置比例关系,我们在颜色MAP中找到对应位置的像素点D,将D的RGB转换为HSV颜色空间,得到目标颜色的h/s/v;


根据目标颜色重组hsV,然后转为RGB即可;


这一模块代码如下:


#h=[0,360],s=[0,1],v=[0,1]
void RGBToHSV(int R, int G, int B, float* h, float* s,float* v)
{
    float min,max;
    float r = R/255.0f;
    float g = G/255.0f;
    float b = B/255.0f;
    min = MIN2(r,MIN2(g,b));
    max = MAX2(r,MAX2(g,b));
    if(max == min)
        *h=0;
    if(max == r && g >= b)
        *h = 60.0f * (g-b) / (max-min);
    if(max == r && g < b)
        *h = 60.0f * (g-b) / (max-min) + 360.0f;
    if(max == g)
        *h = 60.0f * (b-r) / (max-min) + 120.0f;
    if(max == b)
        *h = 60.0f * (r-g) / (max-min) + 240.0f;
    if(max == 0)
        *s = (max-min) / max;
    *v = max;    
};

void HSVToRGB(float h, float s,float v, int* R,int *G,int *B)
{
    float q=0,p=0,t=0,r=0,g=0,b=0;
    int hN=0;
    if(h<0)
        h=260+h;
    hN=(int)(h/60);
    p=v*(1.0f-s);
    q=v*(1.0f-(h/60.0f-hN)*s);
    t=v*(1.0f-(1.0f-(h/60.0f-hN))*s);
    switch(hN)
    {
    case 0:
        r=v;
        q=t;
        b=p;
        break;
    case 1:
        r=q;
        q=v;
        b=p;
        break;
    case 2:
        r=p;
        g=v;
        b=t;
        break;
    case 3:
        r=p;
        g=q;
        b=v;
        break;
    case 4:
        r=t;
        g=p;
        b=v;
        break;
    case 5:
        r=v;
        g=p;
        b=q;
        break;
    default:
        break;
    }
    *R=(int)CLIP3((r*255.0f),0,255);
    *G=(int)CLIP3((g*255.0f),0,255);
    *B=(int)CLIP3((b*255.0f),0,255);
};


效果图如下:



本文算法对比美妆相机效果如下:



头发区域增强


这一步主要是为了突出头发丝的细节,可以使用锐化算法,如Laplace锐化,USM锐化等等。上述过程基本是模拟美妆相机染发算法的过程,给大家参考一下,最后给出本文算法的一些效果举例:



本文效果除了实现正常的单色染发,混合色染发之外,还实现了挑染,如最下方一组效果图所示。


对于挑染的算法原理:


计算头发纹理,根据头发纹理选取需要挑染的头发束,然后对这些头发束与其他头发分开染色即可,具体逻辑这里不再累赘,大家自行研究,这里给出解决思路供大家参考。


最后,本文算法理论上实时处理是没有问题的,头发分割已经可以实时处理,所以后面基本没有什么耗时操作,使用opengl实现实时染发是没有问题的。


(本文经授权转载自OpenCV学堂,点击阅读原文了解更多)



新智元AI WORLD 2018大会【早鸟票】开售!


新智元将于9月20日在北京国家会议中心举办AI WORLD 2018 大会,邀请机器学习教父、CMU教授 Tom Mitchell,迈克思·泰格马克,周志华,陶大程,陈怡然等AI领袖一起关注机器智能与人类命运。


大会官网:

http://www.aiworld2018.com/ 


即日起到8月19日,新智元限量发售若干早鸟票,与全球AI领袖近距离交流,见证全球人工智能产业跨越发展。



  • 活动行购票链接:

    http://www.huodongxing.com/event/6449053775000

  • 活动行购票二维码: 


登录查看更多
1

相关内容

一份简明有趣的Python学习教程,42页pdf
专知会员服务
78+阅读 · 2020年6月22日
【干货书】高级应用深度学习,294页pdf
专知会员服务
154+阅读 · 2020年6月20日
专知会员服务
110+阅读 · 2020年3月12日
【Google AI】开源NoisyStudent:自监督图像分类
专知会员服务
55+阅读 · 2020年2月18日
一网打尽!100+深度学习模型TensorFlow与Pytorch代码实现集合
【干货】大数据入门指南:Hadoop、Hive、Spark、 Storm等
专知会员服务
98+阅读 · 2019年12月4日
开源书:PyTorch深度学习起步
专知会员服务
51+阅读 · 2019年10月11日
[综述]深度学习下的场景文本检测与识别
专知会员服务
78+阅读 · 2019年10月10日
基于深度学习的超分辨率图像技术一览
极市平台
17+阅读 · 2019年8月24日
超强干货!TensorFlow易用代码大集合...
机器学习算法与Python学习
6+阅读 · 2019年2月20日
请快点粘贴复制,这是一份好用的TensorFlow代码集
TorchSeg:基于pytorch的语义分割算法开源了
极市平台
20+阅读 · 2019年1月28日
深度学习之视频图像压缩
论智
13+阅读 · 2018年6月15日
实战 | 基于深度学习模型VGG的图像识别(附代码)
七月在线实验室
13+阅读 · 2018年3月30日
深度学习中的「卷积层」如何深入理解?
深度学习世界
6+阅读 · 2017年11月30日
干货 | 深度学习之卷积神经网络(CNN)的前向传播算法详解
机器学习算法与Python学习
9+阅读 · 2017年11月17日
Arxiv
6+阅读 · 2018年4月3日
Arxiv
3+阅读 · 2018年3月14日
Arxiv
6+阅读 · 2018年2月6日
VIP会员
最新内容
人工智能在战场行动中的演进及伊朗案例
专知会员服务
4+阅读 · 4月18日
美AI公司Anthropic推出网络安全模型“Mythos”
专知会员服务
2+阅读 · 4月18日
【博士论文】面向城市环境的可解释计算机视觉
大语言模型的自改进机制:技术综述与未来展望
《第四代军事特种作战部队选拔与评估》
专知会员服务
1+阅读 · 4月18日
相关VIP内容
一份简明有趣的Python学习教程,42页pdf
专知会员服务
78+阅读 · 2020年6月22日
【干货书】高级应用深度学习,294页pdf
专知会员服务
154+阅读 · 2020年6月20日
专知会员服务
110+阅读 · 2020年3月12日
【Google AI】开源NoisyStudent:自监督图像分类
专知会员服务
55+阅读 · 2020年2月18日
一网打尽!100+深度学习模型TensorFlow与Pytorch代码实现集合
【干货】大数据入门指南:Hadoop、Hive、Spark、 Storm等
专知会员服务
98+阅读 · 2019年12月4日
开源书:PyTorch深度学习起步
专知会员服务
51+阅读 · 2019年10月11日
[综述]深度学习下的场景文本检测与识别
专知会员服务
78+阅读 · 2019年10月10日
相关资讯
基于深度学习的超分辨率图像技术一览
极市平台
17+阅读 · 2019年8月24日
超强干货!TensorFlow易用代码大集合...
机器学习算法与Python学习
6+阅读 · 2019年2月20日
请快点粘贴复制,这是一份好用的TensorFlow代码集
TorchSeg:基于pytorch的语义分割算法开源了
极市平台
20+阅读 · 2019年1月28日
深度学习之视频图像压缩
论智
13+阅读 · 2018年6月15日
实战 | 基于深度学习模型VGG的图像识别(附代码)
七月在线实验室
13+阅读 · 2018年3月30日
深度学习中的「卷积层」如何深入理解?
深度学习世界
6+阅读 · 2017年11月30日
干货 | 深度学习之卷积神经网络(CNN)的前向传播算法详解
机器学习算法与Python学习
9+阅读 · 2017年11月17日
Top
微信扫码咨询专知VIP会员