PyTorch的自动求导机制详细解析,PyTorch的核心魔法

2019 年 8 月 19 日 极市平台

加入极市专业CV交流群,与6000+来自腾讯,华为,百度,北大,清华,中科院等名企名校视觉开发者互动交流!更有机会与李开复老师等大牛群内互动!

同时提供每月大咖直播分享、真实项目需求对接、干货资讯汇总,行业技术交流。关注 极市平台 公众号 ,回复 加群,立刻申请入群~


作者:Vaibhav Kumar

编译:ronghuaiyang


这篇文章详细解析了PyTorch的自动求导机制,让你了解PyTorch的核心魔法。



在这个过程中,它从不显式地构造整个雅可比矩阵。直接计算JVP通常更简单、更有效。


我们都同意,当涉及到大型神经网络时,我们都不擅长微积分。通过显式求解数学方程来计算这样大的复合函数的梯度是不现实的,特别是这些曲线存在于大量的维数中,是无法理解的。

要处理14维空间中的超平面,想象一个三维空间,大声地对自己说“14”。每个人都这么做——Geoffrey Hinton

这就是PyTorch的autograd发挥作用的地方。它抽象了复杂的数学,帮助我们“神奇地”计算高维曲线的梯度,只需要几行代码。这篇文章试图描述autograd的魔力。


PyTorch基础


在进一步讨论之前,我们需要了解一些基本的PyTorch概念。


张量:简单地说,它只是PyTorch中的一个n维数组。张量支持一些额外的增强,这使它们独一无二:除了CPU,它们可以加载或GPU更快的计算。在设置.requires_grad = True的时候,他们开始形成一个反向图,跟踪应用于他们的每个操作,使用所谓的动态计算图(DCG)计算梯度(后面会进一步解释)。


在早期版本的PyTorch中,使用torch.autograd.Variable类用于创建支持梯度计算和操作跟踪的张量,但截至PyTorch v0.4.0,Variable类已被禁用。torch.Tensor和torch.autograd.Variable现在是同一个类。更准确地说, torch.Tensor能够跟踪历史并表现得像旧的Variable。

 import torch
 import numpy as np
 
 x = torch.randn(2, 2, requires_grad = True)
 
 # From numpy
 x = np.array([1., 2., 3.]) #Only Tensors of floating point dtype can require gradients
 x = torch.from_numpy(x)
 # Now enable gradient
 x.requires_grad_(True)
 # _ above makes the change in-place (its a common pytorch thing)

建启用梯度的张量的各种方法的代码


注意:根据PyTorch的设计,梯度只能计算浮点张量,这就是为什么我创建了一个浮点类型的numpy数组,然后将它设置为启用梯度的PyTorch张量。

Autograd:这个类是一个计算导数的引擎(更精确地说是雅克比向量积)。它记录了梯度张量上所有操作的一个图,并创建了一个称为动态计算图的非循环图。这个图的叶节点是输入张量,根节点是输出张量。梯度是通过跟踪从根到叶的图形,并使用链式法则将每个梯度相乘来计算的。


神经网络和反向传播


神经网络只不过是经过精心调整(训练)以输出所需结果的复合数学函数。调整或训练是通过一种称为反向传播的出色算法完成的。反向传播用来计算相对于输入权值的损失梯度,以便以后更新权值,最终减少损失。

在某种程度上,反向传播只是链式法则的一个花哨的名字—— Jeremy Howard

创建和训练神经网络包括以下基本步骤:


  1. 定义体系结构

  2. 使用输入数据在体系结构上向前传播

  3. 计算损失

  4. 反向传播,计算每个权重的梯度

  5. 使用学习率更新权重


损失变化引起的输入权值的微小变化称为该权值的梯度,并使用反向传播计算。然后使用梯度来更新权值,使用学习率来整体减少损失并训练神经网络。


这是以迭代的方式完成的。对于每个迭代,都要计算几个梯度,并为存储这些梯度函数构建一个称为计算图的东西。PyTorch通过构建一个动态计算图(DCG)来实现这一点。此图在每次迭代中从头构建,为梯度计算提供了最大的灵活性。例如,对于前向操作(函数)Mul ,向后操作函数MulBackward被动态集成到后向图中以计算梯度。


动态计算图


支持梯度的张量(变量)和函数(操作)结合起来创建动态计算图。数据流和应用于数据的操作在运行时定义,从而动态地构造计算图。这个图是由底层的autograd类动态生成的。你不必在启动训练之前对所有可能的路径进行编码——你运行的是你所区分的。


一个简单的DCG用于两个张量的乘法会是这样的:

带有requires_grad = False的DCG


图中的每个点轮廓框是一个变量,紫色矩形框是一个操作。

每个变量对象都有几个成员,其中一些成员是:

Data:它是一个变量持有的数据。x持有一个1x1张量,其值等于1.0,而y持有2.0。z持有两个的乘积,即2.0。


requires_grad:这个成员(如果为true)开始跟踪所有的操作历史,并形成一个用于梯度计算的向后图。对于任意张量a,可以按如下方式对其进行原地处理:a.requires_grad_(True)。


grad: grad保存梯度值。如果requires_grad 为False,它将持有一个None值。即使requires_grad 为真,它也将持有一个None值,除非从其他节点调用.backward()函数。例如,如果你对out关于x计算梯度,调用out.backward(),则x.grad的值为∂out/∂x。


grad_fn:这是用来计算梯度的向后函数。


is_leaf:如果:


  1. 它被一些函数显式地初始化,比如x = torch.tensor(1.0)或x = torch.randn(1, 1)(基本上是本文开头讨论的所有张量初始化方法)。

  2. 它是在张量的操作之后创建的,所有张量都有requires_grad = False。

  3. 它是通过对某个张量调用.detach()方法创建的。


在调用backward()时,只计算requires_grad和is_leaf同时为真的节点的梯度。

当打开 requires_grad = True时,PyTorch将开始跟踪操作,并在每个步骤中存储梯度函数,如下所示:

requires_grad = True的DCG


在PyTorch下生成上图的代码是:


Backward()函数


Backward函数实际上是通过传递参数(默认情况下是1x1单位张量)来计算梯度的,它通过Backward图一直到每个叶节点,每个叶节点都可以从调用的根张量追溯到叶节点。然后将计算出的梯度存储在每个叶节点的.grad中。请记住,在正向传递过程中已经动态生成了后向图。backward函数仅使用已生成的图形计算梯度,并将其存储在叶节点中。

让我们分析以下代码

 import torch
 # Creating the graph
 x = torch.tensor(1.0, requires_grad = True)
 z = x ** 3
 z.backward() #Computes the gradient
 print(x.grad.data) #Prints '3' which is dz/dx

要注意的一件重要事情是,当调用z.backward()时,一个张量会自动传递为z.backward(torch.tensor(1.0))。torch.tensor(1.0)是用来终止链式法则梯度乘法的外部梯度。这个外部梯度作为输入传递给MulBackward函数,以进一步计算x的梯度。传递到.backward()中的张量的维数必须与正在计算梯度的张量的维数相同。例如,如果梯度支持张量x和y如下

 x = torch.tensor([0.0, 2.0, 8.0], requires_grad = True)
 y = torch.tensor([5.0 , 1.0 , 7.0], requires_grad = True)
 z = x * y

后,要计算z关于x或者y的梯度,需要将一个外部梯度传递给z.backward()函数,如下所示

 z.backward(torch.FloatTensor([1.0, 1.0, 1.0])

z.backward() 会给出 RuntimeError: grad can be implicitly created only for scalar outputs

反向函数传递的张量就像梯度加权输出的权值。从数学上讲,这是一个向量乘以非标量张量的雅可比矩阵(本文将进一步讨论),因此它几乎总是一个维度的单位张量,与 backward张量相同,除非需要计算加权输出。

tldr :向后图是由autograd类在向前传递过程中自动动态创建的。Backward()只是通过将其参数传递给已经生成的反向图来计算梯度。


数学—雅克比矩阵和向量


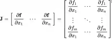
从数学上讲,autograd类只是一个雅可比向量积计算引擎。雅可比矩阵是一个非常简单的单词,它表示两个向量所有可能的偏导数。它是一个向量相对于另一个向量的梯度。

注意:在这个过程中,PyTorch从不显式地构造整个雅可比矩阵。直接计算JVP (Jacobian vector product)通常更简单、更有效。

如果一个向量X = [x1, x2,…xn]通过f(X) = [f1, f2,…fn]来计算其他向量,则雅可比矩阵(J)包含以下所有偏导组合:

雅克比矩阵


上面的矩阵表示f(X)相对于X的梯度。

假设一个启用PyTorch梯度的张量X:

X = [x1,x2,…,xn](假设这是某个机器学习模型的权值)

X经过一些运算形成一个向量Y

Y = f(X) = [y1, y2,…,ym]

然后使用Y计算标量损失l。假设向量v恰好是标量损失l关于向量Y的梯度,如下:

向量v称为grad_tensor,并作为参数传递给backward() 函数。

为了得到损失的梯度l关于权重X的梯度,雅可比矩阵J是向量乘以向量v

这种计算雅可比矩阵并将其与向量v相乘的方法使PyTorch能够轻松地为非标量输出提供外部梯度。


英文原文:

https://towardsdatascience.com/pytorch-autograd-understanding-the-heart-of-pytorchs-magic-2686cd94ec95


-完-



*延伸阅读




添加极市小助手微信(ID : cv-mart),备注:研究方向-姓名-学校/公司-城市(如:目标检测-小极-北大-深圳),即可申请加入目标检测、目标跟踪、人脸、工业检测、医学影像、三维&SLAM、图像分割等极市技术交流群,更有每月大咖直播分享、真实项目需求对接、干货资讯汇总,行业技术交流一起来让思想之光照的更远吧~


△长按添加极市小助手


△长按关注极市平台


觉得有用麻烦给个在看啦~  


登录查看更多
8

相关内容

梯度的本意是一个向量(矢量),表示某一函数在该点处的方向导数沿着该方向取得最大值,即函数在该点处沿着该方向(此梯度的方向)变化最快,变化率最大(为该梯度的模)。
还在修改博士论文?这份《博士论文写作技巧》为你指南
【图神经网络(GNN)结构化数据分析】
专知会员服务
117+阅读 · 2020年3月22日
《深度学习》圣经花书的数学推导、原理与Python代码实现
【GitHub实战】Pytorch实现的小样本逼真的视频到视频转换
专知会员服务
36+阅读 · 2019年12月15日
【干货】大数据入门指南:Hadoop、Hive、Spark、 Storm等
专知会员服务
98+阅读 · 2019年12月4日
【开源书】PyTorch深度学习起步,零基础入门(附pdf下载)
专知会员服务
115+阅读 · 2019年10月26日
如何给你PyTorch里的Dataloader打鸡血
极市平台
15+阅读 · 2019年5月21日
PyTorch中在反向传播前为什么要手动将梯度清零?
极市平台
39+阅读 · 2019年1月23日
教程 | PyTorch经验指南:技巧与陷阱
机器之心
16+阅读 · 2018年7月30日
一文读懂PyTorch张量基础(附代码)
数据派THU
6+阅读 · 2018年6月12日
教程 | 从头开始了解PyTorch的简单实现
机器之心
20+阅读 · 2018年4月11日
教程 | 如何通过PyTorch上手Tensor Comprehensions?
机器之心
5+阅读 · 2018年3月12日
学习|使用autograd来自动求导
全球人工智能
4+阅读 · 2017年11月27日
干货| PyTorch相比TensorFlow,存在哪些自身优势?
全球人工智能
15+阅读 · 2017年10月4日
手把手教你由TensorFlow上手PyTorch(附代码)
数据派THU
5+阅读 · 2017年10月1日
教程 | 如何从TensorFlow转入PyTorch
机器之心
7+阅读 · 2017年9月30日
Arxiv
5+阅读 · 2020年3月26日
Bivariate Beta LSTM
Arxiv
6+阅读 · 2019年10月7日
Arxiv
4+阅读 · 2018年10月5日
Efficient and Effective $L_0$ Feature Selection
Arxiv
5+阅读 · 2018年8月7日
Doubly Attentive Transformer Machine Translation
Arxiv
4+阅读 · 2018年7月30日
Arxiv
4+阅读 · 2018年4月26日
Arxiv
4+阅读 · 2017年7月25日
Arxiv
3+阅读 · 2017年7月6日
VIP会员
最新内容
《第四代军事特种作战部队选拔与评估》
专知会员服务
1+阅读 · 今天6:23
不对称优势上升:自主系统如何强化海上拒止
专知会员服务
1+阅读 · 今天5:51
《人工智能赋能电磁战》(报告)
专知会员服务
2+阅读 · 4月17日
【CMU博士论文】迈向可扩展的开放世界三维感知
相关资讯
如何给你PyTorch里的Dataloader打鸡血
极市平台
15+阅读 · 2019年5月21日
PyTorch中在反向传播前为什么要手动将梯度清零?
极市平台
39+阅读 · 2019年1月23日
教程 | PyTorch经验指南:技巧与陷阱
机器之心
16+阅读 · 2018年7月30日
一文读懂PyTorch张量基础(附代码)
数据派THU
6+阅读 · 2018年6月12日
教程 | 从头开始了解PyTorch的简单实现
机器之心
20+阅读 · 2018年4月11日
教程 | 如何通过PyTorch上手Tensor Comprehensions?
机器之心
5+阅读 · 2018年3月12日
学习|使用autograd来自动求导
全球人工智能
4+阅读 · 2017年11月27日
干货| PyTorch相比TensorFlow,存在哪些自身优势?
全球人工智能
15+阅读 · 2017年10月4日
手把手教你由TensorFlow上手PyTorch(附代码)
数据派THU
5+阅读 · 2017年10月1日
教程 | 如何从TensorFlow转入PyTorch
机器之心
7+阅读 · 2017年9月30日
相关论文
Arxiv
5+阅读 · 2020年3月26日
Bivariate Beta LSTM
Arxiv
6+阅读 · 2019年10月7日
Arxiv
4+阅读 · 2018年10月5日
Efficient and Effective $L_0$ Feature Selection
Arxiv
5+阅读 · 2018年8月7日
Doubly Attentive Transformer Machine Translation
Arxiv
4+阅读 · 2018年7月30日
Arxiv
4+阅读 · 2018年4月26日
Arxiv
4+阅读 · 2017年7月25日
Arxiv
3+阅读 · 2017年7月6日
Top
微信扫码咨询专知VIP会员