学术派 | 用深度学习实现 2D 到 3D 的转换

2020 年 5 月 10 日 DataFunTalk

随着 5G 时代的到来,VR 端应用呈爆发式增长,3D 内容作为构建 VR 生态的主力输出一直深受广大用户的追捧和喜爱。针对目前 3D 内容过少,质量不高、生产昂贵等现状,爱奇艺作为国内领先的互联网视频媒体,自然首当其冲,以真实世界的 3D 内容为基础,研究2D 转 3D 技术,实现更优质的 VR 端的 3D 内容生态的构建,满足更多用户的日常需求。
相对于 2D 内容,优质的 3D 内容有输出符合真实景深关系的能力,让用户在观看时具有更好的观影体验。下面我们从技术的角度,介绍爱奇艺如何赋予2D内容真实的景深关系,实现 2D 内容到 3D 内容的转换。

面临的挑战 

目前 2D 转 3D 技术主要问题是转制成本太高,不能大面积使用,如使用一般的策略很难适用多种场景的真实 3D 视差关系,这很容易让用户感到不适。
综合以上原因,我们考虑采用深度学习方法,通过对大量 3D 电影(side-by-side 的双目介质)真实视差的学习与建模,完成单目视图到双目视图的转换。
以下是 2D 转 3D 技术面临的几个挑战:
  • 数据集质量

3D介质中包含大量不符合真实视差关系的双目视图受相机参数的影响,同类场景的视差在不同的 3D 介质中不统一
  • 帧间抖动

场景多样化,需要保证视差预测的连续性与准确性重构视图的遮挡区域空洞的填补
  • 3D 效果的评价指标难以量化

同类场景具有不同的并且满足真实世界的视差关系3D 效果依靠人工评价,过于主观

模型原型思路 

通过对大量用户的调研发现,除去特效场景刺激眼球外,3D 介质的 3D 感知越符合真实世界越受用户喜爱,因此在模型构建上必须符合真实世界的 3D 观感——双目视觉

图1双目相机成像与视差原理


图 1 所示,两个相机拍摄同一场景生成的图像会存在差异,这种差异叫视差,其产于与真实的三维空间。视差不能通过平移消除,同时离相机近的物体视差偏移较大,反之越小。

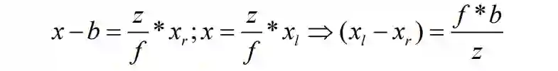
人的左右眼就如同图中的左右相机一样,分别获取对应图像后,通过大脑合成处理这种差异,从而获取真实世界的 3D 感知,通过图 1 可得出视差与相机焦距和轴间距间的关系:

公式(1)
其中 为物体距离相机的深度, 为三维映射到二维的图像平面, 为相机焦距, 为两个相机间的距离轴间距, 分别为物体在左右不同相机中成像的坐标,因此可知左右图对应像素 的视差
同时,考虑到转制的对象为 2D 介质,因此,通过单目深度估计合成新视点的算法原型诞生:通过 公式(1)可知,假设有一个函数 那么就有:

公式(2)

通过公式(2)可知,只需要将 图1左 作为训练输入,图1 作为参考,即可建立深度学习模型,通过大量双目图片对训练估计出函数𝐹。这样就可在已知相机参数 (𝑏,𝑓) 的前提下获取对应的深度值𝑧,完成单目深度估计的任务。

通过公式(1)公式(2)可以发现,深度与视差成反比,因此深度估计和视差估计的方法可以互用。Deep3D[1] 虽然通过视差概率估计实现2D到3D介质的转换,但固定视差的设定,难以适应不同分辨率2D介质输入;

方法[2]没有充分利用双目信息作指导,景深不够细;monodepth[3] 在方法[2]的基础上,充分利用了双目信息进行对抗指导,学习到更多深度细节;

SfmLearner[4] 这类方法引入帧间时序信息,结构较复杂,运行速度慢。因此通过实现及适用性考虑最终我们选择以 monodepth 为 baseline,其框架结构如图2所示:

图2 monodepth 框架图
通过  图2 框架可以看出,该框架在训练过程充分利用双目的有效信息作指导,同时测试过程也只需要单目图片进行输入,所以非常适合用于 2D 转 3D 技术的框架。

模型演变 

解决相机问题

在 Baseline 模型的基础上,如果直接使用混合的 3D 电影数据集进行训练,模型将无法收敛或预测不稳定,一个最主要的问题是不同电影使用不同相机参数的摄像机进行拍摄,即使两个非常相似的电影场景,在不同的两部电影中也会有不同的景深分布,表现在模型训练中即为不同的视差值。

与此同时,不同电影的后处理方式,以及会聚相机的引入,会进一步增加建模的难度。在分析相似案例的处理方法中,我们发现可以通过引入条件变分自编码器(CVAE),在训练过程中,把每一组训练集(左右视图)通过网络提取其相机参数等信息,并作为后验信息通过 AdaIN[5] 的形式引入到单目(左视图)视差图预测中,同时参考[6]中的“双轮训练”,保证了测试时随机采样相机参数分布的正确性。


解决抖动问题

在解决数据集问题后,进行连续帧预测时,发现存在预测不稳定及抖动的问题。在解决视频生成过程(尤其是连续帧深度图预测)的抖动问题中,目前最为常见的方案包含基于帧间 ConvLSTM 的[7]和[8]和基于光流的[9]和[10]。其中,[8]在不同尺度的编码和解码的过程中均加入 ConvLSTM,隐式的利用时间域上特征的相关性来稳定的预测深度图,而[7]则仅在网络输出的最后一层引入 ConvLSTM。

引入 ConvLSTM 的方法思路简单,但在 2D 转 3D 模型中却不适用,[8]使用了较多的 ConvLSTM,使得训练较为复杂,不易收敛,[7]由于电影分镜镜头种类多变,单一 ConvLSTM 预测时易累计误差,使得预测变差。
图3 vid2vid结构图
我们的 2D 转 3D 模型采用了类似于[10]的模型结构,如 图3所示,将左侧上支路改为输入三帧左视图(t,t-1,t-2),左侧下支路改为输入前两帧预测视差图(t-1,t-2),右上支路为输出当前帧所预测的视差图,右下支路改为输出前一帧预测视差图到当前帧预测视差图的光流图(t-1->t)及其 valid mask 图,最终结合右侧上下两支路结果合成当前帧视差图。

其中,在中间高维特征合并处引入上文提及的 CVAE 模块,用以引入后验相机参数信息。最终,在解决相机参数导致数据集问题的同时,模型能够得到稳定且连续的视差图输出。


解决“空洞”填补问题

由于新视角的生成,会使部分原本被遮挡的区域在新视角中显露出来,这些信息仅从左视图中是无法获取的,即使通过前后帧的光流信息也很难还原。在生成新视角的后处理过程中,我们参考[11]的模型框架设计,通过视差图来指导获取产生的“空洞”区域,通过图像修补技术解决新视角的“空洞”问题。

3D 效果测评 由于拍摄条件不同会导致 3D 效果不同,所以在 2D 转 3D 效果测评中,我们用大量人力对预测的视差图和成片在 VR 中的 3D 效果进行综合性的评测。视差图估计如图4:

图4 各种场景下的单目视差估计


应用扩展

不仅如此,视差图的预测也能转化为相对深度值,被应用到其他方面,例如 3D 海报。3D 海报是一张 2D 图片加上其深度关系图,通过一系列的新视点渲染,得到一组动态的,人能感知的立体影像。如图5与图6所示:

图5 复仇者联盟3D海报

图6 剑干将莫邪3D海报


References 

[1]Xie J, Girshick R, Farhadi A. Deep3d: Fully automatic 2d-to-3d video conversionwith deep convolutional neural networks[C]//European Conference on ComputerVision. Springer, Cham, 2016: 842-857.

[2]Garg R, BG V K, Carneiro G, et al. Unsupervised cnn for single view depthestimation: Geometry to the rescue[C]//European Conference on Computer Vision.Springer, Cham, 2016: 740-756.

[3] Godard C, Mac Aodha O, Brostow G J. Unsupervisedmonocular depth estimation with left-right consistency[C]//Proceedings of theIEEE Conference on Computer Vision and Pattern Recognition. 2017: 270-279.

[4] Zhou T, Brown M, Snavely N, et al. Unsupervised learningof depth and ego-motion from video[C]//Proceedings of the IEEE Conference onComputer Vision and Pattern Recognition. 2017: 1851-1858.

[5] Huang X, Belongie S. Arbitrary style transfer inreal-time with adaptive instance normalization[C]//Proceedings of the IEEEInternational Conference on Computer Vision. 2017: 1501-1510.

[6] Zhu J Y, Zhang R, Pathak D, et al. Toward multimodal image-to-imagetranslation[C]//Advances in neural information processing systems. 2017:465-476.

[7] Zhang H, Shen C, Li Y, et al. Exploitingtemporal consistency for real-time video depth estimation[C]//Proceedings ofthe IEEE International Conference on Computer Vision. 2019: 1725-1734.

[8] Tananaev D, Zhou H, Ummenhofer B, et al. TemporallyConsistent Depth Estimation in Videos with RecurrentArchitectures[C]//Proceedings of the European Conference on Computer Vision(ECCV). 2018: 0-0.

[9] Lin J, Gan C, Han S. Tsm: Temporal shift module forefficient video understanding[C]//Proceedings of the IEEE InternationalConference on Computer Vision. 2019: 7083-7093.

[10] Wang T C, Liu M Y, Zhu J Y, et al. Video-to-videosynthesis[J]. arXiv preprint arXiv:1808.06601, 2018.

[11]Yu J, Lin Z, Yang J, et al. Free-form imageinpainting with gated convolution[C]//Proceedings of the IEEE InternationalConference on Computer Vision. 2019: 4471-4480.


社群推荐:

欢迎加入 DataFunTalk 人工智能 技术交流群,跟同行零距离交流。如想进群,请加逃课儿同学的微信(微信号:DataFunTalker),回复:人工智能,逃课儿会自动拉你进群。

文章推荐:
爱奇艺效果广告的个性化探索与实践
爱奇艺语音转换技术的探索与实践

关于我们:

DataFunTalk  专注于大数据、人工智能技术应用的分享与交流。发起于2017年,在北京、上海、深圳、杭州等城市举办超过100场线下沙龙、论坛及峰会,已邀请近500位专家和学者参与分享。其公众号 DataFunTalk 累计生产原创文章400+百万+阅读,5万+精准粉丝。

一个在看,一段时光👇

登录查看更多
0

相关内容

3D是英文“Three Dimensions”的简称,中文是指三维、三个维度、三个坐标,即有长、有宽、有高,换句话说,就是立体的,是相对于只有长和宽的平面(2D)而言。
基于视觉的三维重建关键技术研究综述
专知会员服务
166+阅读 · 2020年5月1日
3D目标检测进展综述
专知会员服务
193+阅读 · 2020年4月24日
Transformer文本分类代码
专知会员服务
118+阅读 · 2020年2月3日
【GitHub实战】Pytorch实现的小样本逼真的视频到视频转换
专知会员服务
36+阅读 · 2019年12月15日
3D重建:硬派几何求解vs深度学习打天下?
机器之心
5+阅读 · 2019年7月8日
SkeletonNet:完整的人体三维位姿重建方法
计算机视觉life
21+阅读 · 2019年1月21日
【泡泡一分钟】点云到网格的回归算法实现
泡泡机器人SLAM
8+阅读 · 2018年11月23日
深度学习之图像超分辨重建技术
机器学习研究会
12+阅读 · 2018年3月24日
干货|全景视频拼接的关键技术分析
全球人工智能
13+阅读 · 2017年7月15日
VIP会员
最新内容
BES:让语言模型通过双向进化搜索自我改进
专知会员服务
2+阅读 · 5月30日
以色列-美国-伊朗战争中的无人机:关键要点
专知会员服务
4+阅读 · 5月30日
《Palantir任务保障性软件安全标准(MA-S2)》
专知会员服务
9+阅读 · 5月30日
基于声学的无人机检测技术综述
专知会员服务
6+阅读 · 5月30日
《当代混合战争分析框架:俄乌战争经验教训》
战略前沿人工智能的再思考(中文)
专知会员服务
8+阅读 · 5月29日
《量化地基防空系统间接效应的博弈论方法》
专知会员服务
6+阅读 · 5月29日
相关VIP内容
相关资讯
3D重建:硬派几何求解vs深度学习打天下?
机器之心
5+阅读 · 2019年7月8日
SkeletonNet:完整的人体三维位姿重建方法
计算机视觉life
21+阅读 · 2019年1月21日
【泡泡一分钟】点云到网格的回归算法实现
泡泡机器人SLAM
8+阅读 · 2018年11月23日
深度学习之图像超分辨重建技术
机器学习研究会
12+阅读 · 2018年3月24日
干货|全景视频拼接的关键技术分析
全球人工智能
13+阅读 · 2017年7月15日
Top
微信扫码咨询专知VIP会员