强化学习基础-对偶梯度上升

2019 年 1 月 26 日 AI研习社

本文为 AI 研习社编译的技术博客,原标题 :

The base of deep reinforcement-learning-Dual Gradient Descent

作者 | Jonathan Hui

翻译 | 斯蒂芬•二狗子

校对 | 斯蒂芬•二狗子       审核| 莫青悠      整理 | 菠萝妹

原文链接:

https://medium.com/@jonathan_hui/rl-dual-gradient-descent-fac524c1f049

注:本文的相关链接请点击文末【阅读原文】进行访问


强化学习基础-对偶梯度上升

对偶梯度下降是一个优化带约束目标函数的常用方法。在强化学习中,该方法可以帮助我们做出更好的决策。

该方法的核心思想是把目标函数转换为可以迭代优化拉格朗日对偶函数。其中拉格朗日函数 𝓛 和拉格朗日对偶函数 g 定义为:

其中标量 λ 被称为拉格朗日乘子。

对偶函数 g 是原始优化问题的下限,实际上,若 f 是凸函数,g和f保持强对偶关系,即g函数的最大值等价于优化问题的最小。只要找到使得g最大的 λ ,我们就解决了原始优化问题。

所以,我们随机指定 λ 为初始值,使用优化方法解决这个无约束的g(λ)。

接下来,我们将应用梯度上升来更新 λ 以便最大化g。 g的梯度是:

即为

在下面的步骤1中,我们根据当前的 λ 值找到最小x,然后我们对g进行梯度上升(步骤2和3)。

先最小化带有原始x变量的拉格朗日𝓛,再用梯度法更新拉格朗日乘子 λ ,不断交替着进行这两种计算。通过这样重复迭代,λ、x将收敛。


  可视化

让我们想象一下这个算法是如何工作的。

Modified from source

设 y = g(x), z = f(x)。y 和 z 在来自于空间 G ,我们画出了与y对应的z。我们的解是上面的橙色的点: 空间 G上的最小f同时满足g(x)= 0。下面的橙色线是拉格朗日函数。它的斜率等于λ,它接触G的边界 。


然后我们使用梯度上升来调整 λ(斜率),以获得与 g(x)= 0 接触G的最大值 f(x) 。

Modified from source

这就是对偶梯度上升法的工作原理。(PPT)


  示例

让我们通过一个示例来分析如何求解的。


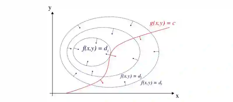
  拉格朗日乘子

那么,拉格朗日乘子是什么?我们可以使用不同d值的等高线图可视化f函数。g是约束函数。

其中 λ 是拉格朗日乘子


  思考

对偶梯度下降可以使用任何优化方法来最小化具有λ值的拉格朗日函数。在轨迹优化问题中,我们一般使用的优化方法为iLQR。然后我们应用梯度上升来调整λ。通过重复迭代可以找到最优解。



想要继续查看该篇文章相关链接和参考文献?

长按链接点击打开或点击底部【阅读原文】:

https://ai.yanxishe.com/page/TextTranslation/1427


AI研习社每日更新精彩内容,观看更多精彩内容:

盘点图像分类的窍门

动态编程:二项式序列

如何用Keras来构建LSTM模型,并且调参

一文教你如何用PyTorch构建 Faster RCNN


等你来译:

如何在神经NLP处理中引用语义结构 

你睡着了吗?不如起来给你的睡眠分个类吧! 

高级DQNs:利用深度强化学习玩吃豆人游戏

深度强化学习新趋势:谷歌如何把好奇心引入强化学习智能体 

点击 阅读原文 查看本文更多内容

登录查看更多
6

相关内容

【Nature论文】深度网络中的梯度下降复杂度控制
专知会员服务
41+阅读 · 2020年3月9日
深度强化学习策略梯度教程,53页ppt
专知会员服务
184+阅读 · 2020年2月1日
【强化学习】深度强化学习初学者指南
专知会员服务
184+阅读 · 2019年12月14日
强化学习最新教程,17页pdf
专知会员服务
182+阅读 · 2019年10月11日
一文读懂线性回归、岭回归和Lasso回归
CSDN
34+阅读 · 2019年10月13日
强化学习扫盲贴:从Q-learning到DQN
夕小瑶的卖萌屋
52+阅读 · 2019年10月13日
解读 | 得见的高斯过程
机器学习算法与Python学习
14+阅读 · 2019年2月13日
腊月廿八 | 强化学习-TRPO和PPO背后的数学
AI研习社
18+阅读 · 2019年2月2日
强化学习的未来——第一部分
AI研习社
9+阅读 · 2019年1月2日
强化学习的入门之旅
机器学习研究会
7+阅读 · 2018年2月12日
算法优化|梯度下降和随机梯度下降 — 从0开始
全球人工智能
8+阅读 · 2017年12月25日
BAT机器学习面试1000题系列(第51~55题)
七月在线实验室
10+阅读 · 2017年10月8日
BAT机器学习面试1000题系列(第36~40题)
七月在线实验室
8+阅读 · 2017年10月3日
【强化学习】强化学习+深度学习=人工智能
产业智能官
55+阅读 · 2017年8月11日
A Survey on Bayesian Deep Learning
Arxiv
64+阅读 · 2020年7月2日
Accelerated Methods for Deep Reinforcement Learning
Arxiv
6+阅读 · 2019年1月10日
Risk-Aware Active Inverse Reinforcement Learning
Arxiv
8+阅读 · 2019年1月8日
A Multi-Objective Deep Reinforcement Learning Framework
Arxiv
6+阅读 · 2018年4月24日
Arxiv
4+阅读 · 2018年3月19日
VIP会员
最新内容
内省扩散语言模型
专知会员服务
1+阅读 · 今天14:42
国外反无人机系统与技术动态
专知会员服务
2+阅读 · 今天12:48
大规模作战行动中的战术作战评估(研究论文)
专知会员服务
3+阅读 · 今天12:21
未来的海战无人自主系统
专知会员服务
2+阅读 · 今天12:05
美军多域作战现状分析:战略、概念还是幻想?
专知会员服务
4+阅读 · 今天11:52
无人机与反无人机系统(书籍)
专知会员服务
16+阅读 · 今天6:45
美陆军2026条令:安全与机动支援
专知会员服务
6+阅读 · 今天5:49
相关VIP内容
【Nature论文】深度网络中的梯度下降复杂度控制
专知会员服务
41+阅读 · 2020年3月9日
深度强化学习策略梯度教程,53页ppt
专知会员服务
184+阅读 · 2020年2月1日
【强化学习】深度强化学习初学者指南
专知会员服务
184+阅读 · 2019年12月14日
强化学习最新教程,17页pdf
专知会员服务
182+阅读 · 2019年10月11日
相关资讯
一文读懂线性回归、岭回归和Lasso回归
CSDN
34+阅读 · 2019年10月13日
强化学习扫盲贴:从Q-learning到DQN
夕小瑶的卖萌屋
52+阅读 · 2019年10月13日
解读 | 得见的高斯过程
机器学习算法与Python学习
14+阅读 · 2019年2月13日
腊月廿八 | 强化学习-TRPO和PPO背后的数学
AI研习社
18+阅读 · 2019年2月2日
强化学习的未来——第一部分
AI研习社
9+阅读 · 2019年1月2日
强化学习的入门之旅
机器学习研究会
7+阅读 · 2018年2月12日
算法优化|梯度下降和随机梯度下降 — 从0开始
全球人工智能
8+阅读 · 2017年12月25日
BAT机器学习面试1000题系列(第51~55题)
七月在线实验室
10+阅读 · 2017年10月8日
BAT机器学习面试1000题系列(第36~40题)
七月在线实验室
8+阅读 · 2017年10月3日
【强化学习】强化学习+深度学习=人工智能
产业智能官
55+阅读 · 2017年8月11日
Top
微信扫码咨询专知VIP会员