实例对比 Julia, R, Python,谁是狼语言?

2018 年 8 月 29 日 人工智能头条


目标受众:对Julia感兴趣的人

阅读时长:本文大约800字。全文读完可能需要这首歌的时间


,就是比,更一点!

比京香还火?Julia到底是个什么来头

最近突然火了一门语言叫Julia。有多火呢?


我们知道,百度首页的结果一定是广大人民群众最关注、最为熟知的内容。

而如此一门小众的语言,居然能盖过著名女影星,登上搜索结果第一条,可见它的火爆程度。

就此事件,记者询问了身边的程序员。程序员纷纷表示可以给记者分享珍藏在硬盘里,Julia 历年来出演的所有影片


所以记者认为有必要解释一下 Julia 到底是什么:


这门语言很年轻,诞生至今也不到10年,前段时间才正式进入1.0版本。

所以大家下次看到招聘要求10年Julia开发经验的,绝对不要去。

Julia,R 和 Python 谁的势力大

因为 R 语言设计的初衷就是应用在科研领域。所以这次的三方势力比拼,我们限制在数据研究领域:


根据上图 KDnugget 的调查显示,2016年的时候,R 占据了 42% 的份额成为 dalao,Python 紧随其后成为 dalao 的小老弟,Julia 根本就默默无闻。

没想到短短一年时间,双方的位置就互换了。然后 Julia 还是保持了默默无闻。

可见即使在特别垂直的领域,Python 这种粘合剂语言配合强大的第三方库,也是拥有恐怖的战力。

Julia,R 和 Python 谁更狠一点?

背景介绍

就此问题,人工智能头条记者找到了戴卓嘉。他是一名拥有10年金融开发经验的数据科学家、全栈开发者、信用风险模型团队leader。并获得授权,翻译他的文章《Julia vs R vs Python: simple optimization》。

戴卓嘉对三种语言的熟悉程度分别是:

有人做过测试,不依赖第三方装备的情况下,在计算比10⁵更小数的时候 Python 还是要比Julia快的。从10⁵开始,Julia 的速度就比 Python 比更快还快了。

这也是为什么 Julia 的布道者 Chris Rackauckas 说,在处理10秒内就能解决的小问题时,并不能体现出 Julia 的优势。而一旦问题复杂到一定程度,Julia 的优势就体现出来了。

本次实例,尝试使用三种语言,分别去优化一个似然函数。属于比较小的优化问题,可能在性能上的差距不是很明显。但在解决问题的过程中,还是很好的体现了三者之间的优劣势。

接下来,我们就开始这段优化吧。

问题描述

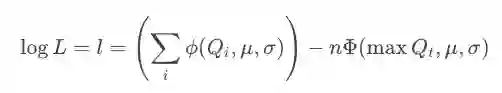
指定一个观察序列 Q₁, Q₂, Q₃...Q៷,我们的目标是找出可以优化下面这个似然函数的参数μ和σ


通常我们是去优化对数似然

在统计学上,这是截断正态分布的最大似然估计(MLE)。

使用 Julia

利用Optim.jl对符号的支持,可以直接使用希腊字母μσ作为变量名。


在下面硬编码了准备在MLE估计中使用的 Q_t 的值

最终输出效果,看起来非常舒服,格式经过精心的排版,描述也经过了精心的处理。完美的支持数学公式显示。


评分:

使用 R

使用 truncnorm包来处理截断正态


输出结果显示


只能用一个词形容:简单粗暴!

评分:

使用 Python

代码


输出结果显示


虽然比 R 是强了不少,但跟 Julia 还是没法比。而且不支持数学公式

评分




最终用一个表格来总结一下此次对比结果:




点击“阅读原文”学英语

👇👇👇


登录查看更多
0

相关内容

Python是一种面向对象的解释型计算机程序设计语言,在设计中注重代码的可读性,同时也是一种功能强大的通用型语言。
【2020新书】实战R语言4,323页pdf
专知会员服务
103+阅读 · 2020年7月1日
专知会员服务
175+阅读 · 2020年6月4日
【实用书】Python技术手册,第三版767页pdf
专知会员服务
240+阅读 · 2020年5月21日
Python导论,476页pdf,现代Python计算
专知会员服务
266+阅读 · 2020年5月17日
【干货书】流畅Python,766页pdf,中英文版
专知会员服务
229+阅读 · 2020年3月22日
算法与数据结构Python,369页pdf
专知会员服务
166+阅读 · 2020年3月4日
Julia 对决Python:谁能在2019年称霸机器学习编程?
七月在线实验室
3+阅读 · 2019年1月13日
Python用法速查网站
Python程序员
17+阅读 · 2018年12月16日
Python 杠上 Java、C/C++,赢面有几成?
CSDN
6+阅读 · 2018年4月12日
Python为啥这么牛?
Python程序员
3+阅读 · 2018年3月30日
教你用Python来玩跳一跳
七月在线实验室
7+阅读 · 2018年1月2日
Augmentation for small object detection
Arxiv
13+阅读 · 2019年2月19日
Arxiv
18+阅读 · 2019年1月16日
Arxiv
8+阅读 · 2018年11月21日
Arxiv
7+阅读 · 2018年11月6日
Arxiv
3+阅读 · 2018年10月11日
Arxiv
22+阅读 · 2018年8月30日
Arxiv
8+阅读 · 2018年4月8日
VIP会员
最新内容
《第四代军事特种作战部队选拔与评估》
专知会员服务
1+阅读 · 今天6:23
不对称优势上升:自主系统如何强化海上拒止
专知会员服务
1+阅读 · 今天5:51
《人工智能赋能电磁战》(报告)
专知会员服务
2+阅读 · 4月17日
【CMU博士论文】迈向可扩展的开放世界三维感知
相关VIP内容
相关资讯
Julia 对决Python:谁能在2019年称霸机器学习编程?
七月在线实验室
3+阅读 · 2019年1月13日
Python用法速查网站
Python程序员
17+阅读 · 2018年12月16日
Python 杠上 Java、C/C++,赢面有几成?
CSDN
6+阅读 · 2018年4月12日
Python为啥这么牛?
Python程序员
3+阅读 · 2018年3月30日
教你用Python来玩跳一跳
七月在线实验室
7+阅读 · 2018年1月2日
相关论文
Augmentation for small object detection
Arxiv
13+阅读 · 2019年2月19日
Arxiv
18+阅读 · 2019年1月16日
Arxiv
8+阅读 · 2018年11月21日
Arxiv
7+阅读 · 2018年11月6日
Arxiv
3+阅读 · 2018年10月11日
Arxiv
22+阅读 · 2018年8月30日
Arxiv
8+阅读 · 2018年4月8日
Top
微信扫码咨询专知VIP会员