《十年》歌词怎么重配?-试试SongNet!

2020 年 8 月 15 日 学术头条


论文:Rigid Formats Controlled Text Generation
作者:Piji Li、Haisong Zhang、Xiaojiang Liu、Shuming Shi
机构:Tencent AI Lab
收录会议:ACL 2020
论文地址:https://www.aminer.cn/pub/5e9d72b391e0117173ad2b50
论文代码:https://github.com/lipiji/SongNet

 
摘要


基于神经网络的文本生成在各种任务中取得了巨大的进展。这些文本生成任务如对话生成、故事生成、摘要生成等可以自由生成文本而不受特定格式的限制。然而,对于歌词(假设乐谱已给定)、宋词、十四行诗等这些独特的文体,有着严格的格式、韵律等要求。这类文本有以下 3 个典型特征:(1)必须完全遵循预定义的格式。(2)必须遵循对应的押韵规则。(3)在满足上述要求下还必须确保句子的完整性。对于这类给定固定模板,严格要求按照限制格式进行文本生成任务研究较少。为此,本文提出 SongNet 模型以解决此类遵循固定格式的文本生成问题。SongNet 是一个基于 Transformer 的自回归语言模型,通过定制化设计一系列符号提高模型在格式、押韵和句子完整性方面的性能。另外,SongNet 改进了注意机制,以促使模型能够捕获格式的上下文信息。本文在 SongNet 基础上提出一个预训练和微调框架,以进一步提高生成质量。最后,在两个收集的语料库(中文和英文)上进行实验,实验结果表明 SongNet 在自动评测标准上和人工评估方面优于其他模型。


此外,SongNet 已在“唱作俱佳”的腾讯 AI 数字人艾灵的歌词生成方案中得到应用。例如,给定《十年》这首歌词的格式,可以通过 SongNet 重新进行配词,并保证格式不变,可以根据原来的曲谱进行演唱:
 
原歌词:十年之前/我不认识你/你不属于我/我们还是一样/陪在一个陌生人左右/走过渐渐熟悉的街头
 
新配词:夜深人静/思念你模样/多少次孤单/想伴在你身旁/是什么让我如此幻想/为何会对你那般痴狂


更多关于腾讯 AI 艾灵戳这里->腾讯 AI 艾灵领唱中国新儿歌(https://mp.weixin.qq.com/s?__biz=MzIzOTg4MjEwNw%3D%3D&chksm=e92219cbde5590ddc2a5c4242bdedb14c251555d79cd6945882dd1fcf1aace12dfefe4c47ae1&idx=1&mid=2247484383&scene=21&sn=59257c51daba61da9dfd9f1660babcc6)。顺便安利下 AI 艾灵的 B 站直播间https://live.bilibili.com/21927742。


文归正传,下面介绍 SongNet 的具体实现。


方法

问题定义


输入:一个模板,即一个预定义的格式要求。比如:



输出:将替换成真实的文字,生成符合模板格式的完整句子。比如:


```
Y = love is not love;
bends with the remover to remove:
```
 
模型框架

SongNet 的模型框架如 Figure 2 所示:


为了解决模板、韵律、句子完整性问题,本文定义了几种符号来对这些特殊的信息进行建模。

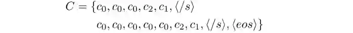
模板和韵律符号:


其中${c_0}$代表普通文本符号,${c_1}$代表标点符号,${c_2}$代表该位置是韵脚,$</s>$表示子句或句子分隔符,$<eos>$表示整个句子的结束标记。

内部位置符号:


$p_i$表示字符在同一子句或句子中的局部位置。需要注意的是,这里的位置符号索引按降序排列。


其目的是通过推动这些符号捕捉句子的动态信息,特别是精确地捕捉句子的结束位置,从而提高句子的完整性。这是学习句子如何渐进结束的,那么当遇到逗号的时候,模型能够意识到句子生成动态到了尾声。例如$p_0$通常表示标点符号,因此$p_1$表示句子的结尾词。此外,句子内部位置信息还能捕捉诸如对联一类文本的前后句对仗位置特征。
 
句子符号:



对句子位置进行建模,其中$s_i$表示该字符属于句子$i$,其目的是通过定义句子索引特征来增强不同位置的句子之间的相互作用。让模型推测出目前在生成的句子位置,捕捉学习到押韵的句对。例如莎士比亚的十四行诗押韵格式为“ABAB CDCD EFEF GG”,有了句子位置特征模型就会比较容易捕捉到 1 句和 3 句押韵,2 和 4 押韵。
 
训练的时候,所有的符号以及文本字符向量后统一输入到基于 Transformer 的语言模型中。与 BERT 和 GPT2.0 不同的是,SongNet 稍微修改了传统的注意力机制以适应本文所提出的问题。具体来说,首先通过对所有输入 token 和符号的 embedding 进行求和来获得输入的表征,如 Figure 2 中的红色实线框所示。
 
为了让模型在自回归的这个动态过程中能够看到模板的后续信息,进而获得序列的全局动态信息。例如,模型可能想知道是否应该通过生成最后一个单词和一个结束句子的标点符号来结束解码过程。为了表示全局动态信息,本文还引入了另一个变量$\mathbf{F}^{0}$,该变量只融合了之前定义的符号信息,没有输入的文本信息从而避免右侧信息泄露,具体如 Figure 2 中蓝色虚线框所示。
 
对输入进行上述处理后,引入两组注意机制进行特征学习。第一个模块是一个带 masking 的多头自注意力,第二个模块是全局多头注意力。

Masking Multi-Head Self-Attention:



Global Multi-Head Attention:



训练过程对整个句子采用最大似然估计作为优化方法。

预训练和微调


虽然可以直接拿 SongNet 在目标语料库的训练数据集上进行训练,但通常语料库的规模有限,例如,在莎士比亚的十四行诗语料库中只有大约 150 个样本。因此,本文还设计了一个预训练和微调框架,以进一步提高生成质量。
 
在生成任务中,会遇到给定部分文本,补全其他文本的需求。例如,在模板中,给定部分句子,要求补全其他句子;在句子中,给定部分词,要求补全其他词。为了使得模型能够应对这类需求,在 SongNet 的预训练阶段,设计了 masking 策略:模板中保留部分词,模型学习预测其他的词。具体来说,在原始文本中随机选取 20% 字符保持不变,而其他字符被遮蔽掉,从而创建一个模板。例子如下:


其中“love”、“bends”和“remove”在模板$C^{\prime}$中保持不变。预训练结束后,可以直接对目标语料库进行微调,而不需要调整任何模型结构。


生成阶段

在生成阶段可以指定任何格式和押韵符号(该模板记为$C$)来控制生成。SongNet 模型从特殊token `<bos>`处开始迭代生成,直到遇到结束token `<eos>`。另外,用了 top-k sampling 的解码方法来生成多样性好的结果,通过调节超参k可以平衡多样性和生成质量。

实验


实验评测过程采用中英数据集各一套。中文以宋词生成作为预测目标;英文则是生成莎士比亚十四行诗(sonnet)。模型分预训练和微调两个阶段。在预训练阶段,中文语料主要是新闻和维基百科,英文语料是维基百科和 BooksCorpus。


评测指标

除了常用的文本生成评测指标 PPL、Distinct 外,本文还专门设计了衡量格式(Format)准确率、韵律(Rhyme)准确率和句子完整性(integrity)的指标。

格式准确率:
主要是看生成结果与模板之间的长度是否相同,标点符号的位置是否一致,分别有对应的 Precision p、Recall r 和 F1 得分。在实验结果中同时给出了 Macro-F1 和 Micro-F1 的得分。
 
韵律准确率:
由于在一首宋词的韵脚只有一个,比如宋词:
```
驿外断桥边,寂寞开无主(zhu)。已是黄昏独自愁,更著风和雨(yu)。
无意苦争春,一任群芳妒(du)。零落成泥碾作尘,只有香如故(gu)
```
其中韵脚“zhu”,“yu”,“du”和“gu”。所以对于生成的宋词,先使用开源的 pinyin 工具包获得词在押韵位置上的拼音,再进行评估。在莎士比亚的十四行诗语料库中,押韵规则是明确的“ABAB CDCD EFEF GG”,共有 7 组押韵。对于生成的示例,先使用 CMU 的发音词典获取单词在押韵位置上的音素,然后将原始单词和提取出来的音素的重叠单位进行分组计数,进行评价。同样也使用 Macro-F1 和 Micro-F1 进行评估。
 
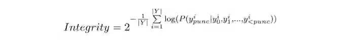
句子完整性:
在模板的限制下,模型必须使用有限的位置来组织语言,因此句子的完整性可能会是一个严重的问题。例如,句子`"love is not love . </s>"`要比`"love is not the . </s>"`在语义的完整性要更好。在对句子完整性进行评价时使用了一种简单明了的方法,即在给定生成前缀下计算 `</s>`之前标点符号的预测概率:


完整性度量值越小,表示句子质量越高。为了实现这一目标,文本分别用大规模中英语料在 GPT2 模型进行预训练,然后用 GPT2 模型对句子完整性进行评估。
 

评测结果

Table 1 和 Table 2 分别是各个模型(baseline 模型是 STS 和 GPT2)在宋词和十四行诗上生成结果的评测:



可以看出 SongNet 在 PPL、多样性、格式准确率、押韵准确率、句子完整性上都取得了不错的得分。相比宋词,十四行诗的效果差一些,主要原因是十四行诗的训练样本太少(只有 100 首),导致模型无法捕捉到足够有用的特征,在韵律的学习上尤甚。至于消融研究和调参上的一些经验具体参考原始论文,于此不进一步说明。

生成实例说明


指定模板生成:
Table 5 分别介绍了 SongCi 和十四行诗生成的几个案例。宋词的格式(CiPai)都是冷启动样本,它们不在训练集中,甚至是新定义的。SongNet 仍然可以在格式、韵律和完整性方面产生高质量的结果。对于语料库只有 100 个样本的十四行诗来说,虽然 SongNet 可以生成 14 行文本,但质量就不如宋词那般好了。


Table 5:宋词和十四行诗的生成结果。其中宋词Format中的数字(例如,3,5,7)表示一个句子中token的数量,韵脚用红色标注。

预先填入词的生成:
实测效果如 Table 6 所示:


Table 6:给定部分预定义内容下的格式生成结果。

总结


本文所提出的 SongNet 是一个预先训练和微调框架,旨在处理严格格式控制的文本生成。在 SongNet 中设计了一系列的符号并提高了在格式、韵律和句子完整性方面的建模性能。在中英两个语料库上进行的实验,表明在给定任意冷启动格式的情况下,SongNet 在自动化的度量指标和人工评估方面都取得了显著更好的结果。

本文作者简介:
刘杰鹏,毕业于华中科技大学,研究方向机器阅读理解、文本生成等。现居深圳,微信号onepieceand,欢迎同道中人进一步交流。


想要了解更多学术进展、前沿科技资讯,参与学术头条每日话题讨论,可以扫描二维码或搜索AMiner308添加学术君微信,对学术君说: “我想进读者群”, 即可进入读者群,不定期发福利~
点击 阅读原文 ,查看更多精彩!
喜欢本篇内容,请 分享、点赞、在看
登录查看更多
0

相关内容

在自然语言处理中,另外一个重要的应用领域,就是文本的自动撰写。关键词、关键短语、自动摘要提取都属于这个领域的一种应用。
【NeurIPS 2020】融入BERT到并行序列模型
专知会员服务
26+阅读 · 2020年10月15日
【视频】几何数据嵌入表示学习,74页ppt
专知会员服务
35+阅读 · 2020年7月24日
【ICML2020-浙江大学】对抗性互信息的文本生成
专知会员服务
44+阅读 · 2020年7月4日
干净的数据:数据清洗入门与实践,204页pdf
专知会员服务
164+阅读 · 2020年5月14日
【IJCAI2020-CMU】结构注意力的神经抽象摘要
专知会员服务
22+阅读 · 2020年4月23日
【哈工大】基于抽取的高考作文生成
专知会员服务
37+阅读 · 2020年3月10日
Transformer文本分类代码
专知会员服务
118+阅读 · 2020年2月3日
偷偷潜入大佬的技术交流群,冒死曝光三千字硬核聊天记录
来,试试百度的深度学习情感分析工具
AINLP
5+阅读 · 2019年7月8日
干货 | kNN 的花式用法
AI科技评论
5+阅读 · 2019年5月8日
TensorFlow 2.0新特性之Ragged Tensor
深度学习每日摘要
18+阅读 · 2019年4月5日
怎么画高大上的神经网络结构?试试这个!
EMNLP 2018 | 从对话生成和文本风格转化看文本生成技术
黑龙江大学自然语言处理实验室
5+阅读 · 2018年12月10日
AI都可以将文字轻松转成图像
计算机视觉战队
5+阅读 · 2018年7月24日
如何使用 RNN 模型实现文本自动生成 | 赠书
人工智能头条
5+阅读 · 2017年12月13日
Arxiv
0+阅读 · 2020年10月14日
Arxiv
0+阅读 · 2020年10月10日
Deformable Style Transfer
Arxiv
14+阅读 · 2020年3月24日
Heterogeneous Graph Transformer
Arxiv
27+阅读 · 2020年3月3日
Question Generation by Transformers
Arxiv
5+阅读 · 2019年9月14日
Arxiv
6+阅读 · 2019年9月4日
Arxiv
11+阅读 · 2019年6月19日
Arxiv
14+阅读 · 2018年4月6日
VIP会员
最新内容
《美陆军条例:陆军指挥政策(2026版)》
专知会员服务
7+阅读 · 今天8:10
《军用自主人工智能系统的治理与安全》
专知会员服务
5+阅读 · 今天8:02
《系统簇式多域作战规划范畴论框架》
专知会员服务
9+阅读 · 4月20日
高效视频扩散模型:进展与挑战
专知会员服务
4+阅读 · 4月20日
乌克兰前线的五项创新
专知会员服务
8+阅读 · 4月20日
 军事通信系统与设备的技术演进综述
专知会员服务
7+阅读 · 4月20日
《北约标准:医疗评估手册》174页
专知会员服务
6+阅读 · 4月20日
相关VIP内容
【NeurIPS 2020】融入BERT到并行序列模型
专知会员服务
26+阅读 · 2020年10月15日
【视频】几何数据嵌入表示学习,74页ppt
专知会员服务
35+阅读 · 2020年7月24日
【ICML2020-浙江大学】对抗性互信息的文本生成
专知会员服务
44+阅读 · 2020年7月4日
干净的数据:数据清洗入门与实践,204页pdf
专知会员服务
164+阅读 · 2020年5月14日
【IJCAI2020-CMU】结构注意力的神经抽象摘要
专知会员服务
22+阅读 · 2020年4月23日
【哈工大】基于抽取的高考作文生成
专知会员服务
37+阅读 · 2020年3月10日
Transformer文本分类代码
专知会员服务
118+阅读 · 2020年2月3日
相关资讯
偷偷潜入大佬的技术交流群,冒死曝光三千字硬核聊天记录
来,试试百度的深度学习情感分析工具
AINLP
5+阅读 · 2019年7月8日
干货 | kNN 的花式用法
AI科技评论
5+阅读 · 2019年5月8日
TensorFlow 2.0新特性之Ragged Tensor
深度学习每日摘要
18+阅读 · 2019年4月5日
怎么画高大上的神经网络结构?试试这个!
EMNLP 2018 | 从对话生成和文本风格转化看文本生成技术
黑龙江大学自然语言处理实验室
5+阅读 · 2018年12月10日
AI都可以将文字轻松转成图像
计算机视觉战队
5+阅读 · 2018年7月24日
如何使用 RNN 模型实现文本自动生成 | 赠书
人工智能头条
5+阅读 · 2017年12月13日
相关论文
Arxiv
0+阅读 · 2020年10月14日
Arxiv
0+阅读 · 2020年10月10日
Deformable Style Transfer
Arxiv
14+阅读 · 2020年3月24日
Heterogeneous Graph Transformer
Arxiv
27+阅读 · 2020年3月3日
Question Generation by Transformers
Arxiv
5+阅读 · 2019年9月14日
Arxiv
6+阅读 · 2019年9月4日
Arxiv
11+阅读 · 2019年6月19日
Arxiv
14+阅读 · 2018年4月6日
Top
微信扫码咨询专知VIP会员