成为VIP会员查看完整内容
VIP会员码认证
首页
主题
会员
服务
注册
·
登录
0
偷偷潜入大佬的技术交流群,冒死曝光三千字硬核聊天记录
专知AI搜索
2019 年 8 月 13 日
七月在线实验室
七夕
那一
天
,小七偷偷潜入了【金融就业小班】的讲师——梅老师的技术交流群,万万没想到梅老师居然如此敬业,七夕当天还在加班疯狂回答大家的问题,后来一问才知道,原来梅老师和小七一样也是CSCA协会的VIP成员。
至于CSCA协会是什么,大家看图就好了……记得捐赠一点狗粮哦……
下面是小七从梅老师的技术群中精选的
20个问答
。全是干货,一睹为快吧!
1.
问:
什么我们做评分卡的时候要用woe编码,而不是用别的编码方式呢?
比如onehot之类的,仅仅是因为woe可以把特征从非线性变成线性的吗?
答:
因为onehot后高维稀疏,模型学习是有困难的。一般模型会做embedding,但是做了embedding就不可解释了。
这不符合某些风控场景的解释性要求。所以用woe来代替。当然WOE有一点点的过拟合倾向,但是对分类变量来说,依旧是业内最佳实践方案。
2.
问:
分箱后,各箱badrate单调递增从业务上怎么理解呀?
答:
我们有个先验知识,多头越多badrate越大,历史逾期越多badrate越大...等等,如果变量分箱后不符合这个先验,可能就把他剃掉了。
3.
问:
5万负样本,200正样本,B卡,不只是提高额度,会拒绝一部分客户,怎么建模?
答:
5万负样本是没有做下采样的必要的,200正样本无论用什么方法做过采样说实话由于自身携带的信息量比较少,学习的应该也不是完全的。
所以这时候建议先略作改动,评价函数加一项,负样本的召回率,也就是说这时候不是主要关注KS,而是对负样本究竟能抓到多少,然后负样本学习的时候一定要加权,权重就按照sklearn中逻辑回归默认的balanced方法就ok,而且如果是我可能生成一个决策树,把坏账从0.4%下降到0.12%左右我觉得就蛮好的了
4.
问:
leader 给我的任务是对短信打标签,也就是判断出短信属于的标签是哪一类,这样一个任务是提取文本关键词的任务吧?
答:
我建议先确定每个词对每个类别的贡献度。简单来做就是每种类别找几个词,手动划分一下有这个词,就属于这个类别。
复杂一点来做,就训练个模型,确定每个词对每种类别的贡献度,然后对每条记录做个预测,排名前几的标签都给他。
5.
问:
那简单的除了您之前说的那种统计坏的词,然后正则匹配的还有其他的吗?
leader 之前说拿到词的重要度,是在整个语料中的一个重要度的话,tf-idf 是不可行的,现在要出一个版本的话,您有什么建议吗?
答:
是这样的啊,你们首先需要每篇文档的标签,然后去找词的重要度,不然只能拍脑袋呀 。
然后想知道每篇文档的标签,你们可以先用之前的方法挑选一些特别明显的词 。给文档打标签。然后这样迭代着做。
6.
问:
最近面试数据分析师岗位,和算法岗有什么不一样么?会提到数据敏感,究竟应该怎么回答?
答:
区别是分析师是业务+报表+算法,工程师是业务+算法+工程。
数据敏感是玄学,关键要知道数据怎么分析,你告诉他,数据要对比着分析,随便拿出一个值就知道这个值是什么水平还是比较困难的。
比如我们分析模型表现,分析变量稳定性。不是给出一个月份的分布我们就知道模型好不好,而是要两个月作对比才知道。
7.
问:
想问一下,现在公司是不是先准入规则,然后再进入一个pre-A模型,然后再是反欺诈模型,然后是A卡之类的?
答:
可以理解成模型是嵌在规则里面的,规则到处都有
8.
问:
就是你说准入规则,pre-A, 反欺诈规则反欺诈引擎,还有风控模型,一般都不会选用相同的特征?因为客户群体会越来越少,这个我有点不理解。。。
答:
这个问题不只有一个同学问过我。也是不单单我们这个场景才有的。基本上每个机器学习模型或多或少都会遇到我们这种问题。
我们一般是不会用相同的特征做重复筛选的。这样会导致样本偏移更严重。
就是说,被拒绝的人,是由于某些特征表现差,被拒绝的,那随着时间推移,下次建模的样本里面,就没有这些人了...这些这些特征上的样本分布就变了 。
9.
问:
我看之前逻辑评分卡 ,评分转化的部分 ,ln(odds) =X*beta+intercept
但是我看您写的转换没有考虑常数项,行业内都是这么做的么,不考虑常数项?
答:
我记得代码里面有一项应该把他平衡掉了,那个公式的目的其实是,()中的那一项决定等于基础分的概率值,()的系数决定步长,()+决定基础分等于多少
10.
问:
用三种标签学出来的三个模型,从三个维度给一个人的欺诈风险打分,怎么给这三个模型进行融合?
因为单个用户申请线上预测,无法根据客户在各个模型排名取平均。但这三个模型的输出的概率区间又是不同的,比如模型A的输出区间是[0-0.4],模型B输出区间[0-0.9],也不是正态分布,zscore标准化不能用,只能MinMax先进行标准化?再进行分数融合?
答:
对的,一般要minmax,规约到一样的范围内
11.
问:
使用BiLSTM 对用户行为进行建模时,神经网络的输入层是什么?
输出层是什么?怎么把用户行为数据转换成神经网络输入层的向量?
答:
打个比方啊,额度使用率按照月份的时间序列就是,前0-30天的额度使用率,前30-60的额度使用率,前60-90的额度使用率...变成一个列向量。
有多少特征(额度使用率是一个特征)就有多少个列向量
12.
问:
在ks上训练集和测试集相差不大,但在auc上却相差较大,这是为啥?
答:
下图是KS的差距,两者差不多,曲面面积可以理解成是AUC的差距,差的就很多了
13.
问:
在xgboost或者lightgbm建模之前是否进行相关性处理,去掉相关性较高的变量?
答:
要的。lr中我们是为了对向量空间描述的最好。在xgb主要是想去掉相互替代性较强的特征。
比如一个特征给他找相关性特别强的9个特征放在模型里面,存成不同的名字,你会发现他本来重要性是10,每划分一次,一个特征就比另一个好用那么一点,这么弄了之后十个特征的重要性都变成了1,然后被我们用feature_importance>5给筛掉了......这多尴尬
14.
问:
在评分卡上线以后。进行监控的时候,监控的周期是多少,是将新数据下载到本地来计算ks、psi以及变量稳定性等这些指标吗 ?
答:
一般有日报周报月报,看客群量大的话,周期可以短一点,量少的话,计算指标没什么意义
15.
问:
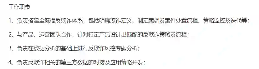
怎么样才能具备招聘中所反欺诈岗位所要求的?
答:
归纳一下就是要,明确欺诈的定义,使用数据分析方法,对接第三方数据 。
16.
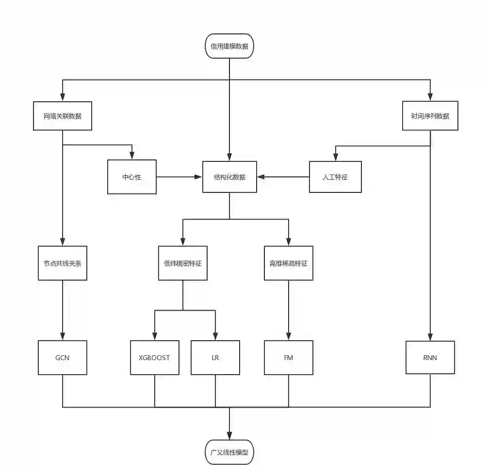
问:
想了解下金融风控的架构知识,能不能发点资料学习下
答:
见思维导图
17.
问:
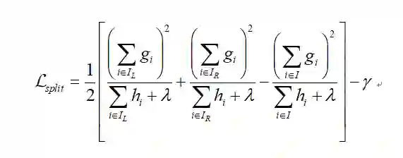
关于xgboost使用泰勒展开式的优点?
泰勒展开取得函数做自变量的二阶导数形式, 可以在不选定损失函数具体形式的情况下, 仅仅依靠输入数据的值就可以进行叶子分裂优化计算, 本质上也就把损失函数的选取和模型算法优化/参数选择分开了.
请问为什么在 可以在不选定损失函数具体形式的情况下, 仅仅依靠输入数据的值就可以进行叶子分裂优化计算?
答:
下图中,g和h都是和损失函数有关的,所以不可能完全不考虑损失函数,这个表述是错误的。
18.
问:
不平衡场景下的过采样(朴素、SMOTE)后训练的模型都需要结果概率校正吧?如何操作?
答:
只有单个模型不需要做校正,如何需要和其他模型做融合或者做比较的时候可以做.
19.
问:
现在市面上在金融风控中用的无监督算法都有哪些?
答:
主要是基于图的离群检测和聚类,还有个体反欺诈中常用的孤立森林,LOF等。
20.
问:
xgb变量重要性用哪一个指标?
答:
①、通常我会直接用weight,他们筛选出的变量略有区别,但是使用下来区别主要在于重要性最低的那几个可以互相替代的特征,具体用谁其实并不重要。经验告诉我们total_gain效果可能会略好。
②、是的,xgb筛选特征,然后用新的特征建模,但是通常不建议筛选后还用xgb建模,这不符合模型融合的策略。
③、xgb其实是没法解释的,如果希望有逻辑回归的可解释度,建议相同数据、相同变量,带入lr建立一个陪跑的模型,寻求解释的时候去lr中找原因。特征相同的前提下,不会有太大出入的。
④、xgb筛选特征可以理解为用均方差最小来做特征筛选,和IV、WOE属于同一种筛选方式,,描述的都是特征对分类任务的贡献度,一般用一个就行了,每个人的方法都不一样,见仁见智。
上面就是梅老师在群内为大家解答的部分内容了,大家如果对金融风控方面感兴趣,
可以了解一下【金融就业小班】。
AI金融风控方向
对算法与业务相结合的能力要求较高
,但相比于CV、NLP等方向
对工程能力要求略低
。
这门课将由两位资深技术专家,带领大家通过各个大厂的风控&反欺诈项目,学习国内外巨头公司的顶级风控技术,并着重培养使用算法解决业务问题的思维,为百万年薪的算法职业生涯奠定基础。
并且老师将手把手协助各位同学做出能给
让面试官惊叹的实战项目
:
两位老师的资历也非常亮眼:
各位同学如果对
课程感兴趣,可扫码查看详情,可以
免费咨询老师
,并且现在报名
还赠送19VIP会员,可
免费使用一年高配G
PU&CPU云平台
(P100哦
)、
免费学习现在100+门以及未来20+门课程
!
↓
扫我查看详情↓
新手必看!55个Python小项目
免费资源 | 3位大佬帮你入门机器学习
你在看吗?
登录查看更多
点赞并收藏
0
暂时没有读者
4
权益说明
本文档仅做收录索引使用,若发现您的权益受到侵害,请立即联系客服(微信: zhuanzhi02,邮箱:
[email protected]
),我们会尽快为您处理
相关内容
负样本
关注
0
【CMU】基于图神经网络的联合检测与多目标跟踪
专知会员服务
59+阅读 · 2020年6月24日
史上机器学习 &深度学习课程大合集,一站搞定,Deep Learning Drizzle
专知会员服务
176+阅读 · 2020年5月10日
深度学习自然语言处理概述,216页ppt,Jindřich Helcl
专知会员服务
216+阅读 · 2020年4月26日
【预训练论文】预训练Transformer校准,Calibration of Pre-trained Transformers
专知会员服务
26+阅读 · 2020年3月19日
【WWW2020-UIUC】为新闻故事生成具有代表性的标题
专知会员服务
27+阅读 · 2020年3月18日
【经典书】精通机器学习特征工程,中文版,178页pdf
专知会员服务
360+阅读 · 2020年2月15日
2019必读的十大深度强化学习论文
专知会员服务
59+阅读 · 2020年1月16日
【阿里技术干货】知识结构化在阿里小蜜中的应用
专知会员服务
98+阅读 · 2019年12月14日
【干货】大数据入门指南:Hadoop、Hive、Spark、 Storm等
专知会员服务
98+阅读 · 2019年12月4日
【CCF优秀博士学位论文奖-2019提名】大规模图数据查询处理关键技术研究,东北大学成雨蓉
专知会员服务
32+阅读 · 2019年11月8日
“住过一晚两万的ICU后,我还是建议你不要轻易买保险”
私募工场
7+阅读 · 2019年10月15日
一套PPT卖到35万,他的这些PPT技巧你也可以学会
i黑马
4+阅读 · 2019年5月5日
金融风控面试十二问
七月在线实验室
20+阅读 · 2019年4月9日
【OCR技术】大批量生成文字训练集
七月在线实验室
9+阅读 · 2019年3月11日
13款vlog剪辑App真实测评!原来当网红这么费钱
新榜
4+阅读 · 2019年3月11日
既然文字表你心,如何用深度学习读懂你的情?
AI前线
3+阅读 · 2018年3月21日
手把手教你搞定90%的NLP问题
AI前线
3+阅读 · 2018年3月18日
传说中的马尔科夫链到底是个什么鬼?
R语言中文社区
6+阅读 · 2018年2月27日
从Face ID说起,浅析人脸识别之刷脸技术
互联网架构师
6+阅读 · 2017年9月25日
干货|用机器学习检测异常点击流
全球人工智能
6+阅读 · 2017年7月30日
Graph Neural Tangent Kernel: Fusing Graph Neural Networks with Graph Kernels
Arxiv
8+阅读 · 2019年11月4日
Do NLP Models Know Numbers? Probing Numeracy in Embeddings
Arxiv
5+阅读 · 2019年9月17日
Reversible Recurrent Neural Networks
Arxiv
3+阅读 · 2018年10月25日
MSc Dissertation: Exclusive Row Biclustering for Gene Expression Using a Combinatorial Auction Approach
Arxiv
6+阅读 · 2018年9月13日
Feasibility Based Large Margin Nearest Neighbor Metric Learning
Arxiv
3+阅读 · 2018年5月2日
Polya Urn Latent Dirichlet Allocation: a doubly sparse massively parallel sampler
Arxiv
3+阅读 · 2018年4月23日
Piecewise Flat Embedding for Image Segmentation
Arxiv
3+阅读 · 2018年2月12日
An Iterative Spanning Forest Framework for Superpixel Segmentation
Arxiv
9+阅读 · 2018年1月30日
Long-Term Visual Object Tracking Benchmark
Arxiv
7+阅读 · 2017年12月28日
Tracking in Aerial Hyperspectral Videos using Deep Kernelized Correlation Filters
Arxiv
6+阅读 · 2017年12月27日
VIP会员
自助开通(推荐)
客服开通
详情
相关主题
负样本
样本
分类变量
过采样
类别
先验知识
最新内容
以色列-美国-伊朗战争中的无人机:关键要点
专知会员服务
1+阅读 · 55分钟前
美以伊战争:首次人工智能战争——军事自主性困境
专知会员服务
1+阅读 · 今天13:54
《Palantir任务保障性软件安全标准(MA-S2)》
专知会员服务
4+阅读 · 今天13:49
《美海军利用扩展现实增强知识流动研究》300页报告
专知会员服务
3+阅读 · 今天13:38
基于声学的无人机检测技术综述
专知会员服务
3+阅读 · 今天13:37
《当代混合战争分析框架:俄乌战争经验教训》
专知会员服务
4+阅读 · 今天13:11
生成式AI基础小册子绪论解读:一条数学地基路线,178页pdf
专知会员服务
10+阅读 · 5月29日
AutoScientists:自组织智能体团队驱动长期科学实验
专知会员服务
5+阅读 · 5月29日
《阿利·伯克级驱逐舰的战损修理:桌面推演结果》报告
专知会员服务
5+阅读 · 5月29日
战略前沿人工智能的再思考(中文)
专知会员服务
7+阅读 · 5月29日
《量化地基防空系统间接效应的博弈论方法》
专知会员服务
5+阅读 · 5月29日
传感器网络:美国如何探测来自伊朗的导弹与无人机
专知会员服务
6+阅读 · 5月29日
《无人机战争中的经济不对称:伊朗“沙赫德-136”对抗以色列“铁穹”防御系统的案例研究》
专知会员服务
8+阅读 · 5月29日
“史诗怒火行动”中美军损失的作战飞机
专知会员服务
6+阅读 · 5月29日
ICML 2026 | 理解上下文持续学习中的泛化与遗忘
专知会员服务
5+阅读 · 5月28日
相关VIP内容
【CMU】基于图神经网络的联合检测与多目标跟踪
专知会员服务
59+阅读 · 2020年6月24日
史上机器学习 &深度学习课程大合集,一站搞定,Deep Learning Drizzle
专知会员服务
176+阅读 · 2020年5月10日
深度学习自然语言处理概述,216页ppt,Jindřich Helcl
专知会员服务
216+阅读 · 2020年4月26日
【预训练论文】预训练Transformer校准,Calibration of Pre-trained Transformers
专知会员服务
26+阅读 · 2020年3月19日
【WWW2020-UIUC】为新闻故事生成具有代表性的标题
专知会员服务
27+阅读 · 2020年3月18日
【经典书】精通机器学习特征工程,中文版,178页pdf
专知会员服务
360+阅读 · 2020年2月15日
2019必读的十大深度强化学习论文
专知会员服务
59+阅读 · 2020年1月16日
【阿里技术干货】知识结构化在阿里小蜜中的应用
专知会员服务
98+阅读 · 2019年12月14日
【干货】大数据入门指南:Hadoop、Hive、Spark、 Storm等
专知会员服务
98+阅读 · 2019年12月4日
【CCF优秀博士学位论文奖-2019提名】大规模图数据查询处理关键技术研究,东北大学成雨蓉
专知会员服务
32+阅读 · 2019年11月8日
热门VIP内容
开通专知VIP会员 享更多权益服务
美以伊战争:首次人工智能战争——军事自主性困境
《美海军利用扩展现实增强知识流动研究》300页报告
以色列-美国-伊朗战争中的无人机:关键要点
《Palantir任务保障性软件安全标准(MA-S2)》
相关资讯
“住过一晚两万的ICU后,我还是建议你不要轻易买保险”
私募工场
7+阅读 · 2019年10月15日
一套PPT卖到35万,他的这些PPT技巧你也可以学会
i黑马
4+阅读 · 2019年5月5日
金融风控面试十二问
七月在线实验室
20+阅读 · 2019年4月9日
【OCR技术】大批量生成文字训练集
七月在线实验室
9+阅读 · 2019年3月11日
13款vlog剪辑App真实测评!原来当网红这么费钱
新榜
4+阅读 · 2019年3月11日
既然文字表你心,如何用深度学习读懂你的情?
AI前线
3+阅读 · 2018年3月21日
手把手教你搞定90%的NLP问题
AI前线
3+阅读 · 2018年3月18日
传说中的马尔科夫链到底是个什么鬼?
R语言中文社区
6+阅读 · 2018年2月27日
从Face ID说起,浅析人脸识别之刷脸技术
互联网架构师
6+阅读 · 2017年9月25日
干货|用机器学习检测异常点击流
全球人工智能
6+阅读 · 2017年7月30日
相关论文
Graph Neural Tangent Kernel: Fusing Graph Neural Networks with Graph Kernels
Arxiv
8+阅读 · 2019年11月4日
Do NLP Models Know Numbers? Probing Numeracy in Embeddings
Arxiv
5+阅读 · 2019年9月17日
Reversible Recurrent Neural Networks
Arxiv
3+阅读 · 2018年10月25日
MSc Dissertation: Exclusive Row Biclustering for Gene Expression Using a Combinatorial Auction Approach
Arxiv
6+阅读 · 2018年9月13日
Feasibility Based Large Margin Nearest Neighbor Metric Learning
Arxiv
3+阅读 · 2018年5月2日
Polya Urn Latent Dirichlet Allocation: a doubly sparse massively parallel sampler
Arxiv
3+阅读 · 2018年4月23日
Piecewise Flat Embedding for Image Segmentation
Arxiv
3+阅读 · 2018年2月12日
An Iterative Spanning Forest Framework for Superpixel Segmentation
Arxiv
9+阅读 · 2018年1月30日
Long-Term Visual Object Tracking Benchmark
Arxiv
7+阅读 · 2017年12月28日
Tracking in Aerial Hyperspectral Videos using Deep Kernelized Correlation Filters
Arxiv
6+阅读 · 2017年12月27日
大家都在搜
maven
palantir
空军条令出版物
PDF下载
人工智能战争
分布式事务
SWOT分析套路
篮球制作
助贷模式
6 个打造你自己的 VPN 的开源工具
Top
提示
微信扫码
咨询专知VIP会员与技术项目合作
(加微信请备注: "专知")
微信扫码咨询专知VIP会员
Top