世界十大最美方程式

2019 年 10 月 7 日 人工智能学家

来源:数学职业家

自从科学诞生后,不可避免地就会用到方程式,这些方程式以其独特的作用服务于人类的生产创造以及各门学科。

而最近几百年的时间,更是方程式数量极大增加的时候,同时也是科学技术突飞猛进的年代。

从侧面看人类科学的进步是离不开方程式的,而你了解哪些方程式吗?又知道有哪些方程式呢?现在给大家介绍一下世界十大最美方程式吧。

1、广义相对论方程式

1915年爱因斯坦提出的宏观物体引力理论,是作为十大最美方程式之首,在狭义相对论和万有引力定律上,将引力看做因物质与能量弯曲的时空,推动了宏观物理学的变革。

2、标准模型方程式

这是一套描述强力、弱力及电磁力三种基本力和组成所有物质的基本粒子的理论,称为规范对称场论,由杨振宁和他的学生一起提出来的。

3、微积分方程式

4、勾股定理方程式

中西方古代都发现了这个定理,但却是西方将此定理提炼为一个方程式。被称为“几何学的基石”,在高等数学和其他学科中也有着广泛的应用。

5、欧拉方程式

首先提出这个方程的是瑞士数学家欧拉,他一七五五年在《流体运动的一般原理》中写到。主要是应用牛顿第二定律对无粘性流体微团进行研究。

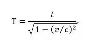
6、狭义相对论方程式

发表于《论运动物体的电动力学》,主要作用是为了修正牛顿的时空理论。此理论认为时间、空间都是一体的,不能分开。

7、1=0.9无限循环方程式

此方程由康奈尔大学的数学家史蒂文提出的,含义是左侧代表了数字的开始,右侧代表了无限循环,意味无限趋近于1.

8、欧拉▪拉格朗日方程和诺特定理

理论物理的中心结果之一,表达了连续对称性和守恒定律的一一对应。对于所有基于作用量原理的物理定律是成立。

9、Callan-Symanzik方程式

美国科学家斯特拉斯提出来的,此方程有着很多应用领域,它能让物理学家估算出质子和中子的质量和大小,而这两者恰恰是构成原子核的组成部分。

10、极小曲面方程

极小曲面是指平均曲率为零的曲面。此方程以某种方法对美丽的肥皂膜进行了编码,事实就是肥皂膜惊人表现的编码数学线索。


未来智能实验室是人工智能学家与科学院相关机构联合成立的人工智能,互联网和脑科学交叉研究机构。


未来智能实验室的主要工作包括:建立AI智能系统智商评测体系,开展世界人工智能智商评测;开展互联网(城市)云脑研究计划,构建互联网(城市)云脑技术和企业图谱,为提升企业,行业与城市的智能水平服务。


  如果您对实验室的研究感兴趣,欢迎加入未来智能实验室线上平台。扫描以下二维码或点击本文左下角“阅读原文”

登录查看更多
0

相关内容

数学是关于数量、结构、变化等主题的探索。
Gartner:2020年十大战略性技术趋势, 47页pdf
专知会员服务
79+阅读 · 2020年3月10日
新时期我国信息技术产业的发展
专知会员服务
71+阅读 · 2020年1月18日
2019必读的十大深度强化学习论文
专知会员服务
59+阅读 · 2020年1月16日
2019中国硬科技发展白皮书 193页
专知会员服务
86+阅读 · 2019年12月13日
【BAAI|2019】用深度学习模拟原子间势,王涵  (附pdf)
专知会员服务
18+阅读 · 2019年11月21日
人工智能应用实践与趋势
人工智能学家
13+阅读 · 2019年9月20日
人工智能的现状与未来(附PPT)
人工智能学家
76+阅读 · 2019年3月27日
数字孪生城市研究报告
智能交通技术
11+阅读 · 2018年12月23日
自然语言处理(NLP)前沿进展报告
人工智能学家
20+阅读 · 2018年9月30日
丘成桐:攻克物理难题的数学大师
科技导报
5+阅读 · 2018年7月23日
【机器学习】机器学习和深度学习概念入门
产业智能官
11+阅读 · 2018年1月3日
一张通往计算机世界的地图
中科院物理所
8+阅读 · 2017年10月12日
Arxiv
13+阅读 · 2019年2月28日
Rapid Customization for Event Extraction
Arxiv
7+阅读 · 2018年9月20日
Arxiv
3+阅读 · 2018年6月1日
Arxiv
3+阅读 · 2018年4月3日
Arxiv
6+阅读 · 2018年2月28日
VIP会员
最新内容
美国当前高超音速导弹发展概述
专知会员服务
1+阅读 · 今天15:03
《高超音速武器:一项再度兴起的技术》120页slides
无人机蜂群建模与仿真方法
专知会员服务
1+阅读 · 今天14:08
澳大利亚发布《国防战略(2026年)》
专知会员服务
0+阅读 · 今天13:42
【CMU博士论文】迈向基于基础先验的 4D 感知研究
专知会员服务
0+阅读 · 今天13:46
全球高超音速武器最新发展趋势
专知会员服务
1+阅读 · 今天13:17
相关资讯
人工智能应用实践与趋势
人工智能学家
13+阅读 · 2019年9月20日
人工智能的现状与未来(附PPT)
人工智能学家
76+阅读 · 2019年3月27日
数字孪生城市研究报告
智能交通技术
11+阅读 · 2018年12月23日
自然语言处理(NLP)前沿进展报告
人工智能学家
20+阅读 · 2018年9月30日
丘成桐:攻克物理难题的数学大师
科技导报
5+阅读 · 2018年7月23日
【机器学习】机器学习和深度学习概念入门
产业智能官
11+阅读 · 2018年1月3日
一张通往计算机世界的地图
中科院物理所
8+阅读 · 2017年10月12日
Top
微信扫码咨询专知VIP会员